Номер 1.49, страница 12 - гдз по алгебре 7-9 класс сборник задач Арефьева, Пирютко

Алгебра, 7-9 класс Сборник задач, авторы: Арефьева Ирина Глебовна, Пирютко Ольга Николаевна, издательство Народная асвета, Минск, 2020

Авторы: Арефьева И. Г., Пирютко О. Н.

Тип: Сборник задач

Издательство: Народная асвета

Год издания: 2020 - 2025

Цвет обложки: синий с графиками

Допущено Министерством образования Республики Беларусь

Популярные ГДЗ в 7 классе

7 класс. Параграф 1. Степень с натуральным показателем и ее свойства - номер 1.49, страница 12.

№1.49 (с. 12)
Условие. №1.49 (с. 12)
скриншот условия
Алгебра, 7-9 класс Сборник задач, авторы: Арефьева Ирина Глебовна, Пирютко Ольга Николаевна, издательство Народная асвета, Минск, 2020, страница 12, номер 1.49, Условие

1.49. Найдите значение выражения:

а) $ \frac{8 \cdot (2^3)^2}{16^2}; $

б) $ \frac{9^6}{(3^3)^3 \cdot 27}; $

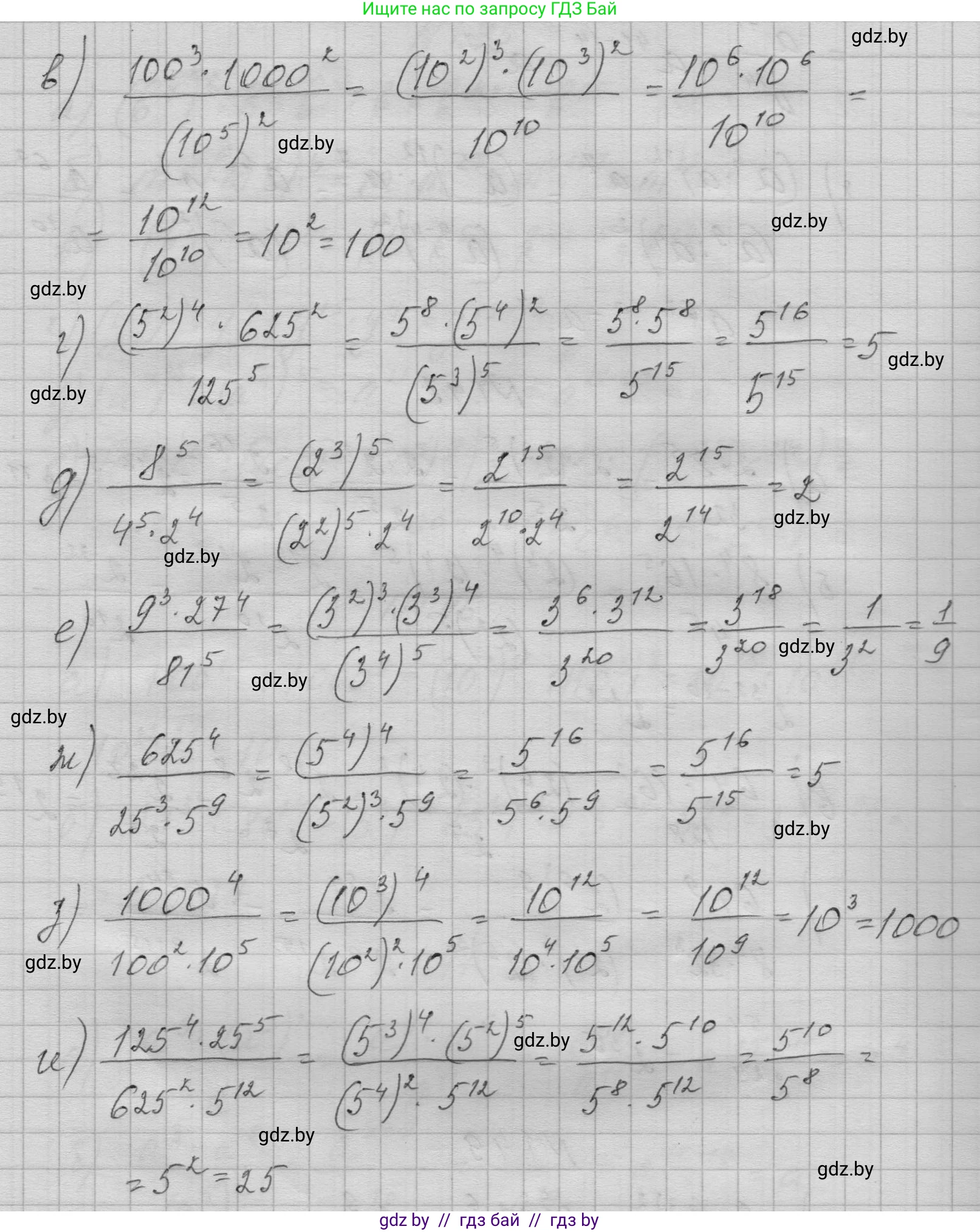
в) $ \frac{100^3 \cdot 1000^2}{(10^5)^2}; $

г) $ \frac{(5^2)^4 \cdot 625^2}{125^5}; $

д) $ \frac{8^5}{4^5 \cdot 2^4}; $

е) $ \frac{9^3 \cdot 27^4}{81^5}; $

ж) $ \frac{625^4}{25^3 \cdot 5^9}; $

з) $ \frac{1000^4}{100^2 \cdot 10^5}; $

и) $ \frac{125^4 \cdot 25^5}{625^2 \cdot 5^{12}}. $

Решение. №1.49 (с. 12)
Алгебра, 7-9 класс Сборник задач, авторы: Арефьева Ирина Глебовна, Пирютко Ольга Николаевна, издательство Народная асвета, Минск, 2020, страница 12, номер 1.49, Решение Алгебра, 7-9 класс Сборник задач, авторы: Арефьева Ирина Глебовна, Пирютко Ольга Николаевна, издательство Народная асвета, Минск, 2020, страница 12, номер 1.49, Решение (продолжение 2)
Решение 2. №1.49 (с. 12)

а)Чтобы найти значение выражения, представим все числа в виде степеней с основанием 2 и воспользуемся свойствами степеней: $8 = 2^3$, $16 = 2^4$.
$\frac{8 \cdot (2^3)^2}{16^2} = \frac{2^3 \cdot (2^3)^2}{(2^4)^2}$
Применяем свойство возведения степени в степень $(a^m)^n = a^{mn}$:
$\frac{2^3 \cdot 2^{3 \cdot 2}}{2^{4 \cdot 2}} = \frac{2^3 \cdot 2^6}{2^8}$
Применяем свойство умножения степеней с одинаковым основанием $a^m \cdot a^n = a^{m+n}$ в числителе:
$\frac{2^{3+6}}{2^8} = \frac{2^9}{2^8}$
Применяем свойство деления степеней с одинаковым основанием $\frac{a^m}{a^n} = a^{m-n}$:
$2^{9-8} = 2^1 = 2$
Ответ: 2

б)Представим все числа в виде степеней с основанием 3: $9 = 3^2$, $27 = 3^3$.
$\frac{9^6}{(3^3)^3 \cdot 27} = \frac{(3^2)^6}{(3^3)^3 \cdot 3^3}$
Применяем свойство $(a^m)^n = a^{mn}$:
$\frac{3^{2 \cdot 6}}{3^{3 \cdot 3} \cdot 3^3} = \frac{3^{12}}{3^9 \cdot 3^3}$
Применяем свойство $a^m \cdot a^n = a^{m+n}$ в знаменателе:
$\frac{3^{12}}{3^{9+3}} = \frac{3^{12}}{3^{12}}$
Любое число (кроме нуля), деленное само на себя, равно 1.
$3^{12-12} = 3^0 = 1$
Ответ: 1

в)Представим все числа в виде степеней с основанием 10: $100 = 10^2$, $1000 = 10^3$.
$\frac{100^3 \cdot 1000^2}{(10^5)^2} = \frac{(10^2)^3 \cdot (10^3)^2}{(10^5)^2}$
Применяем свойство $(a^m)^n = a^{mn}$:
$\frac{10^{2 \cdot 3} \cdot 10^{3 \cdot 2}}{10^{5 \cdot 2}} = \frac{10^6 \cdot 10^6}{10^{10}}$
Применяем свойство $a^m \cdot a^n = a^{m+n}$ в числителе:
$\frac{10^{6+6}}{10^{10}} = \frac{10^{12}}{10^{10}}$
Применяем свойство $\frac{a^m}{a^n} = a^{m-n}$:
$10^{12-10} = 10^2 = 100$
Ответ: 100

г)Представим все числа в виде степеней с основанием 5: $625 = 5^4$, $125 = 5^3$.
$\frac{(5^2)^4 \cdot 625^2}{125^5} = \frac{(5^2)^4 \cdot (5^4)^2}{(5^3)^5}$
Применяем свойство $(a^m)^n = a^{mn}$:
$\frac{5^{2 \cdot 4} \cdot 5^{4 \cdot 2}}{5^{3 \cdot 5}} = \frac{5^8 \cdot 5^8}{5^{15}}$
Применяем свойство $a^m \cdot a^n = a^{m+n}$ в числителе:
$\frac{5^{8+8}}{5^{15}} = \frac{5^{16}}{5^{15}}$
Применяем свойство $\frac{a^m}{a^n} = a^{m-n}$:
$5^{16-15} = 5^1 = 5$
Ответ: 5

д)Представим все числа в виде степеней с основанием 2: $8 = 2^3$, $4 = 2^2$.
$\frac{8^5}{4^5 \cdot 2^4} = \frac{(2^3)^5}{(2^2)^5 \cdot 2^4}$
Применяем свойство $(a^m)^n = a^{mn}$:
$\frac{2^{3 \cdot 5}}{2^{2 \cdot 5} \cdot 2^4} = \frac{2^{15}}{2^{10} \cdot 2^4}$
Применяем свойство $a^m \cdot a^n = a^{m+n}$ в знаменателе:
$\frac{2^{15}}{2^{10+4}} = \frac{2^{15}}{2^{14}}$
Применяем свойство $\frac{a^m}{a^n} = a^{m-n}$:
$2^{15-14} = 2^1 = 2$
Ответ: 2

е)Представим все числа в виде степеней с основанием 3: $9 = 3^2$, $27 = 3^3$, $81 = 3^4$.
$\frac{9^3 \cdot 27^4}{81^5} = \frac{(3^2)^3 \cdot (3^3)^4}{(3^4)^5}$
Применяем свойство $(a^m)^n = a^{mn}$:
$\frac{3^{2 \cdot 3} \cdot 3^{3 \cdot 4}}{3^{4 \cdot 5}} = \frac{3^6 \cdot 3^{12}}{3^{20}}$
Применяем свойство $a^m \cdot a^n = a^{m+n}$ в числителе:
$\frac{3^{6+12}}{3^{20}} = \frac{3^{18}}{3^{20}}$
Применяем свойство $\frac{a^m}{a^n} = a^{m-n}$:
$3^{18-20} = 3^{-2}$
Применяем свойство $a^{-n} = \frac{1}{a^n}$:
$\frac{1}{3^2} = \frac{1}{9}$
Ответ: $\frac{1}{9}$

ж)Представим все числа в виде степеней с основанием 5: $625 = 5^4$, $25 = 5^2$.
$\frac{625^4}{25^3 \cdot 5^9} = \frac{(5^4)^4}{(5^2)^3 \cdot 5^9}$
Применяем свойство $(a^m)^n = a^{mn}$:
$\frac{5^{4 \cdot 4}}{5^{2 \cdot 3} \cdot 5^9} = \frac{5^{16}}{5^6 \cdot 5^9}$
Применяем свойство $a^m \cdot a^n = a^{m+n}$ в знаменателе:
$\frac{5^{16}}{5^{6+9}} = \frac{5^{16}}{5^{15}}$
Применяем свойство $\frac{a^m}{a^n} = a^{m-n}$:
$5^{16-15} = 5^1 = 5$
Ответ: 5

з)Представим все числа в виде степеней с основанием 10: $1000 = 10^3$, $100 = 10^2$.
$\frac{1000^4}{100^2 \cdot 10^5} = \frac{(10^3)^4}{(10^2)^2 \cdot 10^5}$
Применяем свойство $(a^m)^n = a^{mn}$:
$\frac{10^{3 \cdot 4}}{10^{2 \cdot 2} \cdot 10^5} = \frac{10^{12}}{10^4 \cdot 10^5}$
Применяем свойство $a^m \cdot a^n = a^{m+n}$ в знаменателе:
$\frac{10^{12}}{10^{4+5}} = \frac{10^{12}}{10^9}$
Применяем свойство $\frac{a^m}{a^n} = a^{m-n}$:
$10^{12-9} = 10^3 = 1000$
Ответ: 1000

и)Представим все числа в виде степеней с основанием 5: $125 = 5^3$, $25 = 5^2$, $625 = 5^4$.
$\frac{125^4 \cdot 25^5}{625^2 \cdot 5^{12}} = \frac{(5^3)^4 \cdot (5^2)^5}{(5^4)^2 \cdot 5^{12}}$
Применяем свойство $(a^m)^n = a^{mn}$:
$\frac{5^{3 \cdot 4} \cdot 5^{2 \cdot 5}}{5^{4 \cdot 2} \cdot 5^{12}} = \frac{5^{12} \cdot 5^{10}}{5^8 \cdot 5^{12}}$
Применяем свойство $a^m \cdot a^n = a^{m+n}$ в числителе и знаменателе:
$\frac{5^{12+10}}{5^{8+12}} = \frac{5^{22}}{5^{20}}$
Применяем свойство $\frac{a^m}{a^n} = a^{m-n}$:
$5^{22-20} = 5^2 = 25$
Ответ: 25

Помогло решение? Оставьте отзыв в комментариях ниже.

Присоединяйтесь к Телеграм-группе @gdz_by_belarus

Присоединиться

Мы подготовили для вас ответ c подробным объяснением домашего задания по алгебре за 7-9 класс, для упражнения номер 1.49 расположенного на странице 12 к сборнику задач 2020 года издания для учащихся школ и гимназий.

Теперь на нашем сайте ГДЗ.ТОП вы всегда легко и бесплатно найдёте условие с правильным ответом на вопрос «Как решить ДЗ» и «Как сделать» задание по алгебре к упражнению №1.49 (с. 12), авторов: Арефьева (Ирина Глебовна), Пирютко (Ольга Николаевна), учебного пособия издательства Народная асвета.