Номер 17.26, страница 78 - гдз по алгебре 7-9 класс сборник задач Арефьева, Пирютко

Алгебра, 7-9 класс Сборник задач, авторы: Арефьева Ирина Глебовна, Пирютко Ольга Николаевна, издательство Народная асвета, Минск, 2020

Авторы: Арефьева И. Г., Пирютко О. Н.

Тип: Сборник задач

Издательство: Народная асвета

Год издания: 2020 - 2025

Цвет обложки: синий с графиками

Допущено Министерством образования Республики Беларусь

Популярные ГДЗ в 7 классе

7 класс. Параграф 17. Функция. Линейная функция - номер 17.26, страница 78.

№17.26 (с. 78)
Условие. №17.26 (с. 78)
скриншот условия
Алгебра, 7-9 класс Сборник задач, авторы: Арефьева Ирина Глебовна, Пирютко Ольга Николаевна, издательство Народная асвета, Минск, 2020, страница 78, номер 17.26, Условие

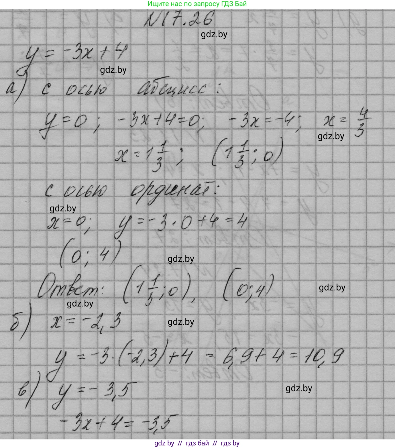
17.26. Не выполняя построения графика функции $y = -3x + 4$, определите:

а) координаты его точек пересечения с осями координат;

б) значение функции при $x = -2,3$;

в) значение аргумента, при котором $y = -3,5$.

Решение. №17.26 (с. 78)
Алгебра, 7-9 класс Сборник задач, авторы: Арефьева Ирина Глебовна, Пирютко Ольга Николаевна, издательство Народная асвета, Минск, 2020, страница 78, номер 17.26, Решение Алгебра, 7-9 класс Сборник задач, авторы: Арефьева Ирина Глебовна, Пирютко Ольга Николаевна, издательство Народная асвета, Минск, 2020, страница 78, номер 17.26, Решение (продолжение 2)
Решение 2. №17.26 (с. 78)

а) Чтобы найти координаты точек пересечения графика функции с осями координат, необходимо поочередно приравнять к нулю каждую из координат.

1. Найдём точку пересечения с осью ординат (осью OY). Для любой точки на этой оси координата $x$ равна нулю. Подставим $x=0$ в уравнение функции:
$y = -3 \cdot 0 + 4 = 4$.
Следовательно, точка пересечения с осью OY имеет координаты $(0; 4)$.

2. Найдём точку пересечения с осью абсцисс (осью OX). Для любой точки на этой оси координата $y$ равна нулю. Подставим $y=0$ в уравнение функции и решим его относительно $x$:
$0 = -3x + 4$
$3x = 4$
$x = \frac{4}{3}$.
Следовательно, точка пересечения с осью OX имеет координаты $(\frac{4}{3}; 0)$.
Ответ: с осью OY в точке $(0; 4)$, с осью OX в точке $(\frac{4}{3}; 0)$.

б) Чтобы найти значение функции при $x = -2,3$, нужно подставить это значение аргумента в уравнение функции:
$y = -3 \cdot (-2,3) + 4$
$y = 6,9 + 4$
$y = 10,9$.
Ответ: $10,9$.

в) Чтобы найти значение аргумента $x$, при котором значение функции равно $y = -3,5$, нужно подставить это значение $y$ в уравнение функции и решить его относительно $x$:
$-3,5 = -3x + 4$
Перенесем слагаемые, чтобы выразить $x$:
$3x = 4 + 3,5$
$3x = 7,5$
$x = \frac{7,5}{3}$
$x = 2,5$.
Ответ: $2,5$.

Помогло решение? Оставьте отзыв в комментариях ниже.

Присоединяйтесь к Телеграм-группе @gdz_by_belarus

Присоединиться

Мы подготовили для вас ответ c подробным объяснением домашего задания по алгебре за 7-9 класс, для упражнения номер 17.26 расположенного на странице 78 к сборнику задач 2020 года издания для учащихся школ и гимназий.

Теперь на нашем сайте ГДЗ.ТОП вы всегда легко и бесплатно найдёте условие с правильным ответом на вопрос «Как решить ДЗ» и «Как сделать» задание по алгебре к упражнению №17.26 (с. 78), авторов: Арефьева (Ирина Глебовна), Пирютко (Ольга Николаевна), учебного пособия издательства Народная асвета.