Номер 17.37, страница 80 - гдз по алгебре 7-9 класс сборник задач Арефьева, Пирютко

Алгебра, 7-9 класс Сборник задач, авторы: Арефьева Ирина Глебовна, Пирютко Ольга Николаевна, издательство Народная асвета, Минск, 2020

Авторы: Арефьева И. Г., Пирютко О. Н.

Тип: Сборник задач

Издательство: Народная асвета

Год издания: 2020 - 2025

Цвет обложки: синий с графиками

Допущено Министерством образования Республики Беларусь

Популярные ГДЗ в 7 классе

7 класс. Параграф 17. Функция. Линейная функция - номер 17.37, страница 80.

№17.37 (с. 80)
Условие. №17.37 (с. 80)
скриншот условия
Алгебра, 7-9 класс Сборник задач, авторы: Арефьева Ирина Глебовна, Пирютко Ольга Николаевна, издательство Народная асвета, Минск, 2020, страница 80, номер 17.37, Условие

17.37. Найдите координаты точек пересечения графика функции с осями координат:

a) $y=(x-1)^2+2-(x+2)^2$

б) $y=2-(x-1)^2+(x+2)^2$

Решение. №17.37 (с. 80)
Алгебра, 7-9 класс Сборник задач, авторы: Арефьева Ирина Глебовна, Пирютко Ольга Николаевна, издательство Народная асвета, Минск, 2020, страница 80, номер 17.37, Решение Алгебра, 7-9 класс Сборник задач, авторы: Арефьева Ирина Глебовна, Пирютко Ольга Николаевна, издательство Народная асвета, Минск, 2020, страница 80, номер 17.37, Решение (продолжение 2)
Решение 2. №17.37 (с. 80)

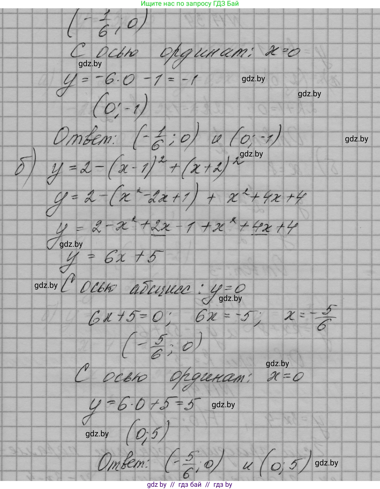
а) $y = (x-1)^2 + 2 - (x+2)^2$

Для нахождения координат точек пересечения графика с осями координат, необходимо найти точки, в которых либо $x=0$ (пересечение с осью Oy), либо $y=0$ (пересечение с осью Ox).

1. Пересечение с осью ординат (осью Oy)

Для этого подставим $x=0$ в уравнение функции:

$y = (0-1)^2 + 2 - (0+2)^2 = (-1)^2 + 2 - 2^2 = 1 + 2 - 4 = -1$.

Таким образом, точка пересечения с осью Oy имеет координаты $(0, -1)$.

2. Пересечение с осью абсцисс (осью Ox)

Для этого приравняем $y$ к нулю: $y=0$. Удобнее сначала упростить исходное выражение:

$y = (x^2 - 2x + 1) + 2 - (x^2 + 4x + 4) = x^2 - 2x + 3 - x^2 - 4x - 4 = -6x - 1$.

Теперь решим уравнение:

$-6x - 1 = 0$

$6x = -1$

$x = -\frac{1}{6}$

Таким образом, точка пересечения с осью Ox имеет координаты $(-\frac{1}{6}, 0)$.

Ответ: $(0, -1)$ и $(-\frac{1}{6}, 0)$.

б) $y = 2 - (x-1)^2 + (x+2)^2$

Аналогично пункту а), найдем точки пересечения с осями координат.

1. Пересечение с осью ординат (осью Oy)

Подставим $x=0$ в уравнение функции:

$y = 2 - (0-1)^2 + (0+2)^2 = 2 - (-1)^2 + 2^2 = 2 - 1 + 4 = 5$.

Таким образом, точка пересечения с осью Oy имеет координаты $(0, 5)$.

2. Пересечение с осью абсцисс (осью Ox)

Приравняем $y$ к нулю. Сначала упростим выражение:

$y = 2 - (x^2 - 2x + 1) + (x^2 + 4x + 4) = 2 - x^2 + 2x - 1 + x^2 + 4x + 4 = 6x + 5$.

Решим уравнение:

$6x + 5 = 0$

$6x = -5$

$x = -\frac{5}{6}$

Таким образом, точка пересечения с осью Ox имеет координаты $(-\frac{5}{6}, 0)$.

Ответ: $(0, 5)$ и $(-\frac{5}{6}, 0)$.

Помогло решение? Оставьте отзыв в комментариях ниже.

Присоединяйтесь к Телеграм-группе @gdz_by_belarus

Присоединиться

Мы подготовили для вас ответ c подробным объяснением домашего задания по алгебре за 7-9 класс, для упражнения номер 17.37 расположенного на странице 80 к сборнику задач 2020 года издания для учащихся школ и гимназий.

Теперь на нашем сайте ГДЗ.ТОП вы всегда легко и бесплатно найдёте условие с правильным ответом на вопрос «Как решить ДЗ» и «Как сделать» задание по алгебре к упражнению №17.37 (с. 80), авторов: Арефьева (Ирина Глебовна), Пирютко (Ольга Николаевна), учебного пособия издательства Народная асвета.