Номер 19.2, страница 85 - гдз по алгебре 7-9 класс сборник задач Арефьева, Пирютко

Алгебра, 7-9 класс Сборник задач, авторы: Арефьева Ирина Глебовна, Пирютко Ольга Николаевна, издательство Народная асвета, Минск, 2020

Авторы: Арефьева И. Г., Пирютко О. Н.

Тип: Сборник задач

Издательство: Народная асвета

Год издания: 2020 - 2025

Цвет обложки: синий с графиками

Допущено Министерством образования Республики Беларусь

Популярные ГДЗ в 7 классе

7 класс. Параграф 19. Система линейных уравнений с двумя переменными - номер 19.2, страница 85.

№19.2 (с. 85)
Условие. №19.2 (с. 85)
скриншот условия
Алгебра, 7-9 класс Сборник задач, авторы: Арефьева Ирина Глебовна, Пирютко Ольга Николаевна, издательство Народная асвета, Минск, 2020, страница 85, номер 19.2, Условие

19.2. Является ли пара чисел $(-2; 5)$ решением системы уравнений:

а) $\begin{cases} 2x + 5y = 21, \\ 7x + 4y = 4; \end{cases}$

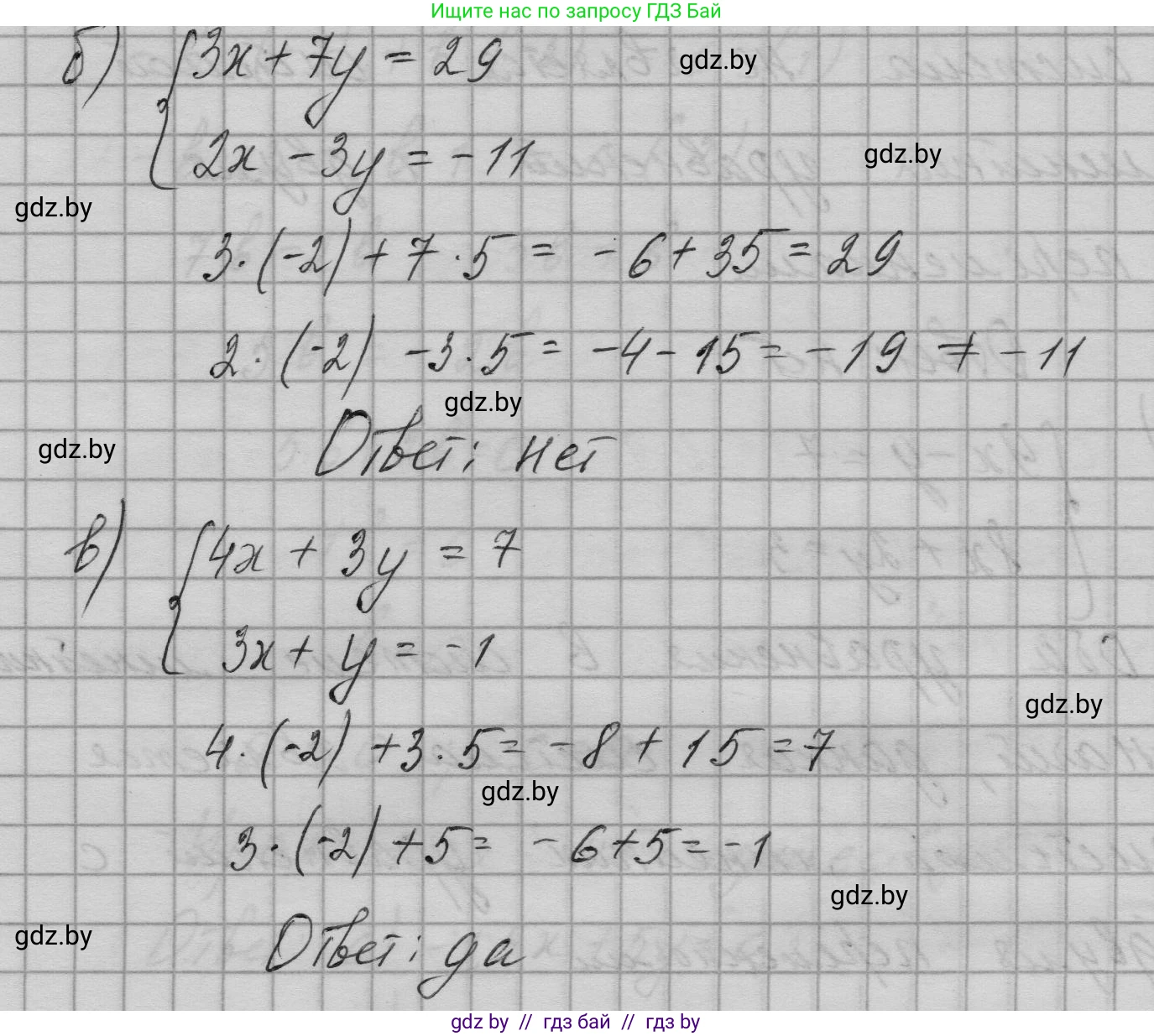
б) $\begin{cases} 3x + 7y = 29, \\ 2x - 3y = -11; \end{cases}$

в) $\begin{cases} 4x + 3y = 7, \\ 3x + y = -1? \end{cases}$

Решение. №19.2 (с. 85)
Алгебра, 7-9 класс Сборник задач, авторы: Арефьева Ирина Глебовна, Пирютко Ольга Николаевна, издательство Народная асвета, Минск, 2020, страница 85, номер 19.2, Решение Алгебра, 7-9 класс Сборник задач, авторы: Арефьева Ирина Глебовна, Пирютко Ольга Николаевна, издательство Народная асвета, Минск, 2020, страница 85, номер 19.2, Решение (продолжение 2)
Решение 2. №19.2 (с. 85)

Чтобы проверить, является ли пара чисел $(-2; 5)$ решением системы уравнений, необходимо подставить значения $x = -2$ и $y = 5$ в каждое из уравнений системы. Если оба уравнения обратятся в верные числовые равенства, то пара является решением.

а)

Рассмотрим систему уравнений: $ \begin{cases} 2x + 5y = 21, \\ 7x + 4y = 4; \end{cases} $

Подставим $x = -2$ и $y = 5$ в первое уравнение:
$2 \cdot (-2) + 5 \cdot 5 = -4 + 25 = 21$
Получаем $21 = 21$. Равенство верное.

Подставим $x = -2$ и $y = 5$ во второе уравнение:
$7 \cdot (-2) + 4 \cdot 5 = -14 + 20 = 6$
Получаем $6 = 4$. Равенство неверное.

Так как второе уравнение не обратилось в верное равенство, пара чисел $(-2; 5)$ не является решением данной системы.

Ответ: нет.

б)

Рассмотрим систему уравнений: $ \begin{cases} 3x + 7y = 29, \\ 2x - 3y = -11; \end{cases} $

Подставим $x = -2$ и $y = 5$ в первое уравнение:
$3 \cdot (-2) + 7 \cdot 5 = -6 + 35 = 29$
Получаем $29 = 29$. Равенство верное.

Подставим $x = -2$ и $y = 5$ во второе уравнение:
$2 \cdot (-2) - 3 \cdot 5 = -4 - 15 = -19$
Получаем $-19 = -11$. Равенство неверное.

Так как второе уравнение не обратилось в верное равенство, пара чисел $(-2; 5)$ не является решением данной системы.

Ответ: нет.

в)

Рассмотрим систему уравнений: $ \begin{cases} 4x + 3y = 7, \\ 3x + y = -1; \end{cases} $

Подставим $x = -2$ и $y = 5$ в первое уравнение:
$4 \cdot (-2) + 3 \cdot 5 = -8 + 15 = 7$
Получаем $7 = 7$. Равенство верное.

Подставим $x = -2$ и $y = 5$ во второе уравнение:
$3 \cdot (-2) + 5 = -6 + 5 = -1$
Получаем $-1 = -1$. Равенство верное.

Так как оба уравнения обратились в верные равенства, пара чисел $(-2; 5)$ является решением данной системы.

Ответ: да.

Помогло решение? Оставьте отзыв в комментариях ниже.

Присоединяйтесь к Телеграм-группе @gdz_by_belarus

Присоединиться

Мы подготовили для вас ответ c подробным объяснением домашего задания по алгебре за 7-9 класс, для упражнения номер 19.2 расположенного на странице 85 к сборнику задач 2020 года издания для учащихся школ и гимназий.

Теперь на нашем сайте ГДЗ.ТОП вы всегда легко и бесплатно найдёте условие с правильным ответом на вопрос «Как решить ДЗ» и «Как сделать» задание по алгебре к упражнению №19.2 (с. 85), авторов: Арефьева (Ирина Глебовна), Пирютко (Ольга Николаевна), учебного пособия издательства Народная асвета.