Номер 20.6, страница 89 - гдз по алгебре 7-9 класс сборник задач Арефьева, Пирютко

Алгебра, 7-9 класс Сборник задач, авторы: Арефьева Ирина Глебовна, Пирютко Ольга Николаевна, издательство Народная асвета, Минск, 2020

Авторы: Арефьева И. Г., Пирютко О. Н.

Тип: Сборник задач

Издательство: Народная асвета

Год издания: 2020 - 2025

Цвет обложки: синий с графиками

Допущено Министерством образования Республики Беларусь

Популярные ГДЗ в 7 классе

7 класс. Параграф 20. Способы решения системы линейных уравнений с двумя переменными. Решение текстовых задач с помощью системы линейных уравнений - номер 20.6, страница 89.

№20.6 (с. 89)
Условие. №20.6 (с. 89)
скриншот условия
Алгебра, 7-9 класс Сборник задач, авторы: Арефьева Ирина Глебовна, Пирютко Ольга Николаевна, издательство Народная асвета, Минск, 2020, страница 89, номер 20.6, Условие

20.6. Решите систему уравнений:

а) $\begin{cases} 2 + 3(x + 5y) = -(2x + 3y), \\ 3x + 4y = -8; \end{cases}$

б) $\begin{cases} 6(x + y) = 5 - (2x + y), \\ 3x - 5y = -6y - 3; \end{cases}$

в) $\begin{cases} 3(x + y) = 6, \\ 6 - 5(x - y) = 8x - 2y; \end{cases}$

г) $\begin{cases} 2x - 3(2y + 1) = 15, \\ 3(x + y) + 3y = 2y - 2. \end{cases}$

Решение. №20.6 (с. 89)
Алгебра, 7-9 класс Сборник задач, авторы: Арефьева Ирина Глебовна, Пирютко Ольга Николаевна, издательство Народная асвета, Минск, 2020, страница 89, номер 20.6, Решение Алгебра, 7-9 класс Сборник задач, авторы: Арефьева Ирина Глебовна, Пирютко Ольга Николаевна, издательство Народная асвета, Минск, 2020, страница 89, номер 20.6, Решение (продолжение 2)
Решение 2. №20.6 (с. 89)

а)Исходная система уравнений:$$ \begin{cases} 2 + 3(x + 5y) = -(2x + 3y) \\ 3x + 4y = -8 \end{cases} $$

Сначала упростим первое уравнение. Раскроем скобки:$2 + 3x + 15y = -2x - 3y$

Перенесем все слагаемые с переменными в левую часть, а постоянные — в правую:$3x + 2x + 15y + 3y = -2$$5x + 18y = -2$

Теперь система имеет вид:$$ \begin{cases} 5x + 18y = -2 \\ 3x + 4y = -8 \end{cases} $$

Решим систему методом сложения. Умножим первое уравнение на 3, а второе на -5, чтобы коэффициенты при $x$ стали противоположными:$$ \begin{cases} 3(5x + 18y) = 3(-2) \\ -5(3x + 4y) = -5(-8) \end{cases} \Rightarrow \begin{cases} 15x + 54y = -6 \\ -15x - 20y = 40 \end{cases} $$

Сложим два уравнения:$(15x + 54y) + (-15x - 20y) = -6 + 40$$34y = 34$$y = 1$

Подставим найденное значение $y = 1$ во второе исходное уравнение $3x + 4y = -8$:$3x + 4(1) = -8$$3x + 4 = -8$$3x = -12$$x = -4$

Решение системы: $x = -4$, $y = 1$.
Ответ: $(-4; 1)$.

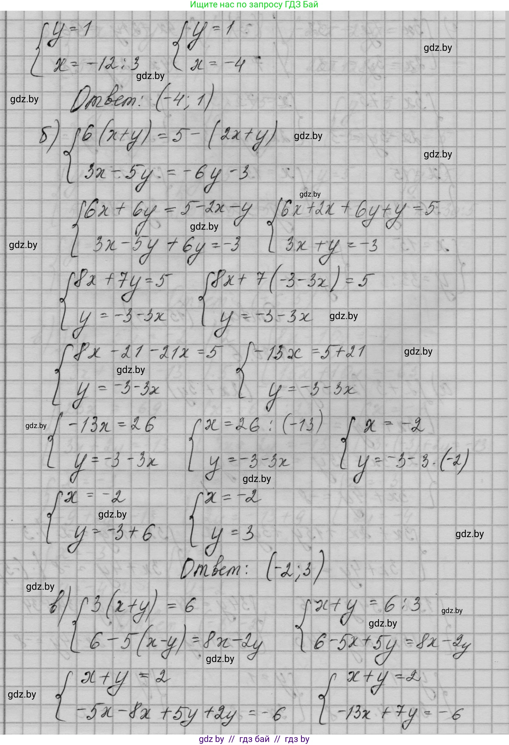
б)Исходная система уравнений:$$ \begin{cases} 6(x + y) = 5 - (2x + y) \\ 3x - 5y = -6y - 3 \end{cases} $$

Упростим оба уравнения. Первое уравнение:$6x + 6y = 5 - 2x - y$$6x + 2x + 6y + y = 5$$8x + 7y = 5$

Второе уравнение:$3x - 5y = -6y - 3$$3x - 5y + 6y = -3$$3x + y = -3$

Получаем упрощенную систему:$$ \begin{cases} 8x + 7y = 5 \\ 3x + y = -3 \end{cases} $$

Решим систему методом подстановки. Из второго уравнения выразим $y$:$y = -3 - 3x$

Подставим это выражение в первое уравнение:$8x + 7(-3 - 3x) = 5$$8x - 21 - 21x = 5$$-13x = 5 + 21$$-13x = 26$$x = -2$

Теперь найдем $y$, подставив значение $x$ в выражение для $y$:$y = -3 - 3(-2)$$y = -3 + 6$$y = 3$

Решение системы: $x = -2$, $y = 3$.
Ответ: $(-2; 3)$.

в)Исходная система уравнений:$$ \begin{cases} 3(x + y) = 6 \\ 6 - 5(x - y) = 8x - 2y \end{cases} $$

Упростим уравнения. Первое уравнение:$3(x+y) = 6$Разделим обе части на 3:$x + y = 2$

Второе уравнение:$6 - 5(x - y) = 8x - 2y$$6 - 5x + 5y = 8x - 2y$Перенесем переменные в левую часть, а числа — в правую:$-5x - 8x + 5y + 2y = -6$$-13x + 7y = -6$Умножим на -1 для удобства:$13x - 7y = 6$

Система принимает вид:$$ \begin{cases} x + y = 2 \\ 13x - 7y = 6 \end{cases} $$

Решим методом подстановки. Из первого уравнения выразим $x$:$x = 2 - y$

Подставим это выражение во второе уравнение:$13(2 - y) - 7y = 6$$26 - 13y - 7y = 6$$-20y = 6 - 26$$-20y = -20$$y = 1$

Теперь найдем $x$:$x = 2 - y = 2 - 1 = 1$

Решение системы: $x = 1$, $y = 1$.
Ответ: $(1; 1)$.

г)Исходная система уравнений:$$ \begin{cases} 2x - 3(2y + 1) = 15 \\ 3(x + y) + 3y = 2y - 2 \end{cases} $$

Упростим оба уравнения. Первое уравнение:$2x - 6y - 3 = 15$$2x - 6y = 18$Разделим обе части на 2:$x - 3y = 9$

Второе уравнение:$3x + 3y + 3y = 2y - 2$$3x + 6y = 2y - 2$$3x + 6y - 2y = -2$$3x + 4y = -2$

Получаем систему:$$ \begin{cases} x - 3y = 9 \\ 3x + 4y = -2 \end{cases} $$

Решим методом подстановки. Из первого уравнения выразим $x$:$x = 9 + 3y$

Подставим это выражение во второе уравнение:$3(9 + 3y) + 4y = -2$$27 + 9y + 4y = -2$$13y = -2 - 27$$13y = -29$$y = -\frac{29}{13}$

Теперь найдем $x$:$x = 9 + 3y = 9 + 3\left(-\frac{29}{13}\right) = 9 - \frac{87}{13}$Приведем к общему знаменателю:$x = \frac{9 \cdot 13}{13} - \frac{87}{13} = \frac{117 - 87}{13} = \frac{30}{13}$

Решение системы: $x = \frac{30}{13}$, $y = -\frac{29}{13}$.
Ответ: $\left(\frac{30}{13}; -\frac{29}{13}\right)$.

Помогло решение? Оставьте отзыв в комментариях ниже.

Присоединяйтесь к Телеграм-группе @gdz_by_belarus

Присоединиться

Мы подготовили для вас ответ c подробным объяснением домашего задания по алгебре за 7-9 класс, для упражнения номер 20.6 расположенного на странице 89 к сборнику задач 2020 года издания для учащихся школ и гимназий.

Теперь на нашем сайте ГДЗ.ТОП вы всегда легко и бесплатно найдёте условие с правильным ответом на вопрос «Как решить ДЗ» и «Как сделать» задание по алгебре к упражнению №20.6 (с. 89), авторов: Арефьева (Ирина Глебовна), Пирютко (Ольга Николаевна), учебного пособия издательства Народная асвета.