Номер 20.15, страница 90 - гдз по алгебре 7-9 класс сборник задач Арефьева, Пирютко
Авторы: Арефьева И. Г., Пирютко О. Н.
Тип: Сборник задач
Издательство: Народная асвета
Год издания: 2020 - 2025
Цвет обложки: синий с графиками
Допущено Министерством образования Республики Беларусь
Популярные ГДЗ в 7 классе
7 класс. Параграф 20. Способы решения системы линейных уравнений с двумя переменными. Решение текстовых задач с помощью системы линейных уравнений - номер 20.15, страница 90.
№20.15 (с. 90)
Условие. №20.15 (с. 90)
скриншот условия
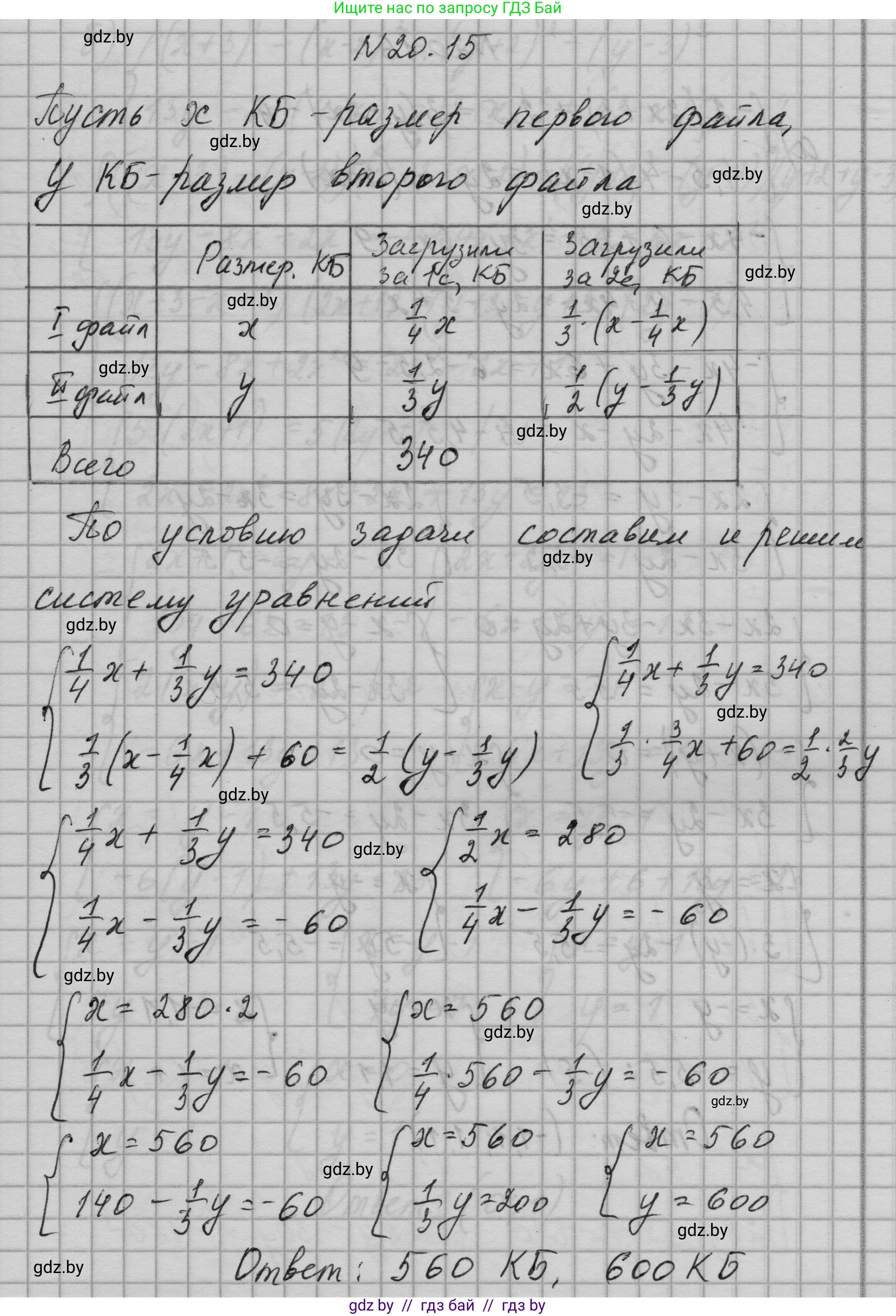
20.15. Ученик из Интернета загружает на компьютер два текстовых файла. За первую секунду загрузилась $\frac{1}{4}$ первого файла и $\frac{1}{3}$ второго файла, что составило 340 КБ. За вторую секунду загрузилась $\frac{1}{3}$ оставшейся части первого файла, что на 60 КБ меньше половины оставшейся части второго файла. Найдите размер каждого файла.
Решение. №20.15 (с. 90)
Решение 2. №20.15 (с. 90)
Пусть $x$ КБ — размер первого файла, а $y$ КБ — размер второго файла.
Исходя из условия, что за первую секунду загрузилась $\frac{1}{4}$ первого файла и $\frac{1}{3}$ второго файла, что в сумме составило 340 КБ, мы можем составить первое уравнение:
$\frac{1}{4}x + \frac{1}{3}y = 340$
Далее, определим оставшиеся части файлов после первой секунды загрузки.
Оставшаяся часть первого файла: $x - \frac{1}{4}x = \frac{3}{4}x$.
Оставшаяся часть второго файла: $y - \frac{1}{3}y = \frac{2}{3}y$.
За вторую секунду загрузилась $\frac{1}{3}$ от оставшейся части первого файла. Вычислим этот объем:
$\frac{1}{3} \cdot \frac{3}{4}x = \frac{1}{4}x$ КБ.
Этот объем ($\frac{1}{4}x$) на 60 КБ меньше половины оставшейся части второго файла. Половина оставшейся части второго файла равна:
$\frac{1}{2} \cdot \frac{2}{3}y = \frac{1}{3}y$ КБ.
Отсюда получаем второе уравнение:
$\frac{1}{4}x = \frac{1}{3}y - 60$
Теперь у нас есть система из двух линейных уравнений с двумя переменными:
$ \begin{cases} \frac{1}{4}x + \frac{1}{3}y = 340 \\ \frac{1}{4}x = \frac{1}{3}y - 60 \end{cases} $
Для решения системы подставим выражение для $\frac{1}{4}x$ из второго уравнения в первое:
$(\frac{1}{3}y - 60) + \frac{1}{3}y = 340$
$\frac{2}{3}y - 60 = 340$
$\frac{2}{3}y = 340 + 60$
$\frac{2}{3}y = 400$
$y = 400 \cdot \frac{3}{2}$
$y = 600$
Таким образом, размер второго файла равен 600 КБ.
Теперь найдем размер первого файла, подставив найденное значение $y$ во второе уравнение:
$\frac{1}{4}x = \frac{1}{3}(600) - 60$
$\frac{1}{4}x = 200 - 60$
$\frac{1}{4}x = 140$
$x = 140 \cdot 4$
$x = 560$
Следовательно, размер первого файла равен 560 КБ.
Ответ: размер первого файла — 560 КБ, размер второго файла — 600 КБ.
Другие задания:
Помогло решение? Оставьте отзыв в комментариях ниже.
Присоединяйтесь к Телеграм-группе @gdz_by_belarus
ПрисоединитьсяМы подготовили для вас ответ c подробным объяснением домашего задания по алгебре за 7-9 класс, для упражнения номер 20.15 расположенного на странице 90 к сборнику задач 2020 года издания для учащихся школ и гимназий.
Теперь на нашем сайте ГДЗ.ТОП вы всегда легко и бесплатно найдёте условие с правильным ответом на вопрос «Как решить ДЗ» и «Как сделать» задание по алгебре к упражнению №20.15 (с. 90), авторов: Арефьева (Ирина Глебовна), Пирютко (Ольга Николаевна), учебного пособия издательства Народная асвета.