Номер 22.18, страница 101 - гдз по алгебре 7-9 класс сборник задач Арефьева, Пирютко
Авторы: Арефьева И. Г., Пирютко О. Н.
Тип: Сборник задач
Издательство: Народная асвета
Год издания: 2020 - 2025
Цвет обложки: синий с графиками
Допущено Министерством образования Республики Беларусь
Популярные ГДЗ в 7 классе
8 класс. Параграф 22. Свойства квадратных корней - номер 22.18, страница 101.
№22.18 (с. 101)
Условие. №22.18 (с. 101)
скриншот условия
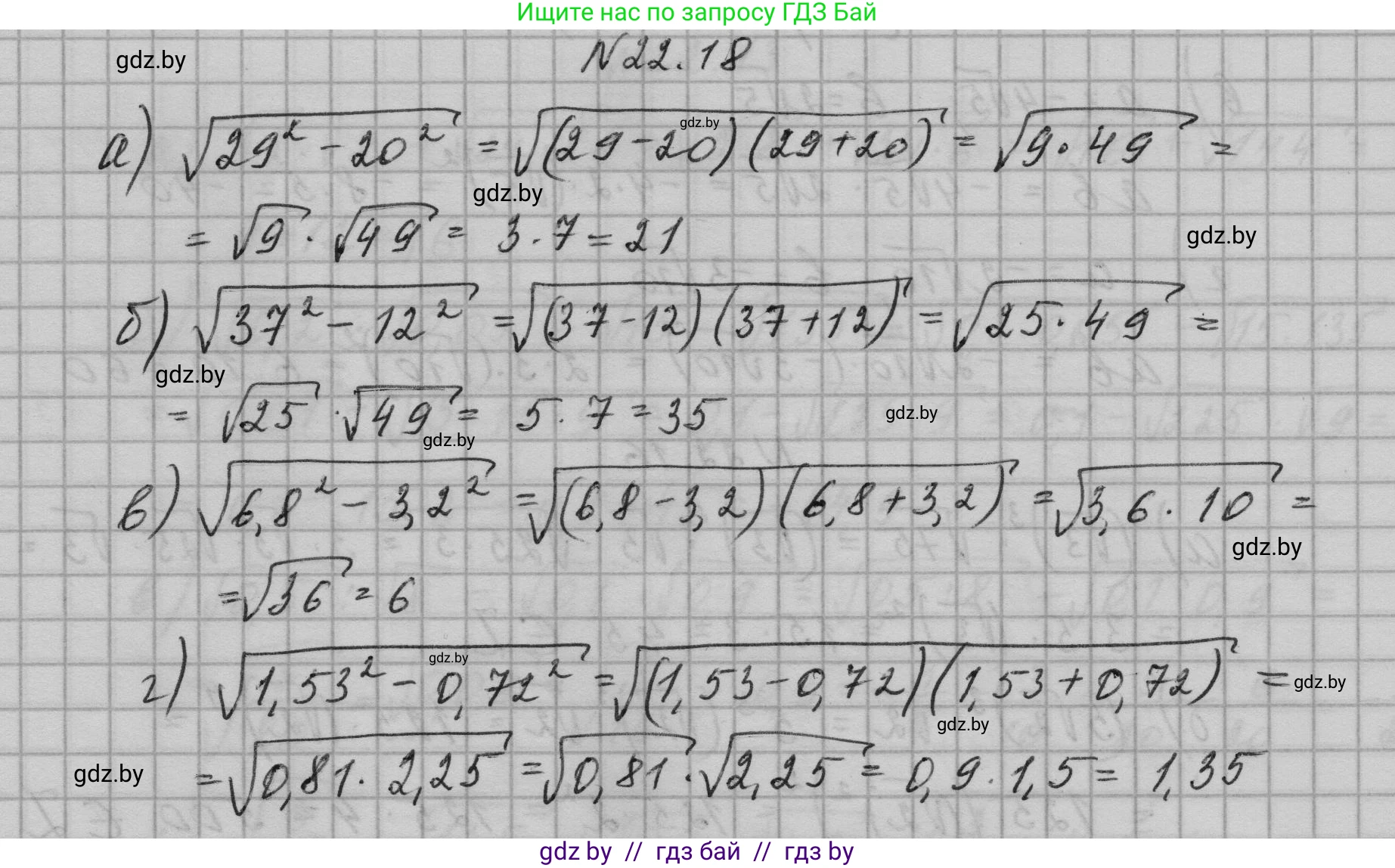
22.18. Найдите значение выражения, используя рациональный способ решения:
а) $\sqrt{29^2 - 20^2}$;
б) $\sqrt{37^2 - 12^2}$;
в) $\sqrt{6,8^2 - 3,2^2}$;
г) $\sqrt{1,53^2 - 0,72^2}$.
Решение. №22.18 (с. 101)
Решение 2. №22.18 (с. 101)
Для решения всех выражений используется рациональный способ, основанный на формуле разности квадратов: $a^2 - b^2 = (a - b)(a + b)$. Это позволяет избежать возведения чисел в квадрат и упростить вычисления под корнем.
а) Применим формулу разности квадратов для выражения под корнем, где $a = 29$ и $b = 20$.
$\sqrt{29^2 - 20^2} = \sqrt{(29 - 20)(29 + 20)} = \sqrt{9 \cdot 49}$.
Далее используем свойство корня из произведения $\sqrt{x \cdot y} = \sqrt{x} \cdot \sqrt{y}$:
$\sqrt{9} \cdot \sqrt{49} = 3 \cdot 7 = 21$.
Ответ: 21
б) Аналогично предыдущему пункту, применим формулу разности квадратов, где $a = 37$ и $b = 12$.
$\sqrt{37^2 - 12^2} = \sqrt{(37 - 12)(37 + 12)} = \sqrt{25 \cdot 49}$.
Извлечем корни из множителей:
$\sqrt{25} \cdot \sqrt{49} = 5 \cdot 7 = 35$.
Ответ: 35
в) Используем ту же формулу для десятичных дробей, где $a = 6,8$ и $b = 3,2$.
$\sqrt{6,8^2 - 3,2^2} = \sqrt{(6,8 - 3,2)(6,8 + 3,2)} = \sqrt{3,6 \cdot 10}$.
Выполним умножение под корнем:
$\sqrt{36} = 6$.
Ответ: 6
г) Снова применяем формулу разности квадратов. Здесь $a = 1,53$ и $b = 0,72$.
$\sqrt{1,53^2 - 0,72^2} = \sqrt{(1,53 - 0,72)(1,53 + 0,72)} = \sqrt{0,81 \cdot 2,25}$.
Извлечем корень из каждого множителя:
$\sqrt{0,81} \cdot \sqrt{2,25} = 0,9 \cdot 1,5 = 1,35$.
Ответ: 1,35
Другие задания:
Помогло решение? Оставьте отзыв в комментариях ниже.
Присоединяйтесь к Телеграм-группе @gdz_by_belarus
ПрисоединитьсяМы подготовили для вас ответ c подробным объяснением домашего задания по алгебре за 7-9 класс, для упражнения номер 22.18 расположенного на странице 101 к сборнику задач 2020 года издания для учащихся школ и гимназий.
Теперь на нашем сайте ГДЗ.ТОП вы всегда легко и бесплатно найдёте условие с правильным ответом на вопрос «Как решить ДЗ» и «Как сделать» задание по алгебре к упражнению №22.18 (с. 101), авторов: Арефьева (Ирина Глебовна), Пирютко (Ольга Николаевна), учебного пособия издательства Народная асвета.