Номер 22.29, страница 103 - гдз по алгебре 7-9 класс сборник задач Арефьева, Пирютко

Алгебра, 7-9 класс Сборник задач, авторы: Арефьева Ирина Глебовна, Пирютко Ольга Николаевна, издательство Народная асвета, Минск, 2020

Авторы: Арефьева И. Г., Пирютко О. Н.

Тип: Сборник задач

Издательство: Народная асвета

Год издания: 2020 - 2025

Цвет обложки: синий с графиками

Допущено Министерством образования Республики Беларусь

Популярные ГДЗ в 7 классе

8 класс. Параграф 22. Свойства квадратных корней - номер 22.29, страница 103.

№22.29 (с. 103)
Условие. №22.29 (с. 103)
скриншот условия
Алгебра, 7-9 класс Сборник задач, авторы: Арефьева Ирина Глебовна, Пирютко Ольга Николаевна, издательство Народная асвета, Минск, 2020, страница 103, номер 22.29, Условие

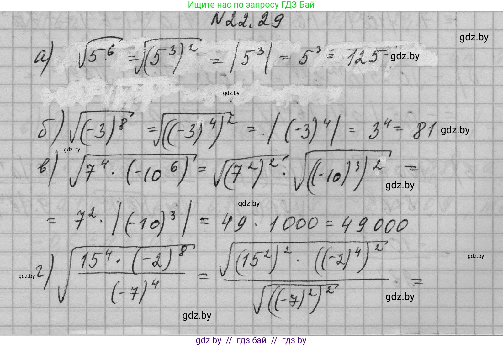
22.29. Вычислите:

a) $\sqrt{5^6}$;

б) $\sqrt{(-3)^8}$;

в) $\sqrt{7^4 \cdot (-10)^6}$;

г) $\sqrt{\frac{15^4 \cdot (-2)^8}{(-7)^4}}$.

Решение. №22.29 (с. 103)
Алгебра, 7-9 класс Сборник задач, авторы: Арефьева Ирина Глебовна, Пирютко Ольга Николаевна, издательство Народная асвета, Минск, 2020, страница 103, номер 22.29, Решение Алгебра, 7-9 класс Сборник задач, авторы: Арефьева Ирина Глебовна, Пирютко Ольга Николаевна, издательство Народная асвета, Минск, 2020, страница 103, номер 22.29, Решение (продолжение 2)
Решение 2. №22.29 (с. 103)

а) Для вычисления корня из числа в степени воспользуемся свойством $\sqrt{a^{2k}} = |a^k|$. В данном выражении $\sqrt{5^6}$ имеем $a=5$ и показатель степени $6 = 2 \cdot 3$, то есть $k=3$.

$\sqrt{5^6} = \sqrt{(5^3)^2} = |5^3|$.

Так как $5^3$ — положительное число, то модуль можно опустить.

$5^3 = 5 \cdot 5 \cdot 5 = 125$.

Ответ: $125$.

б) Сначала обратим внимание на подкоренное выражение $\sqrt{(-3)^8}$. Так как число возводится в четную степень ($8$), результат будет положительным. То есть, $(-3)^8 = 3^8$.

Таким образом, выражение можно переписать как $\sqrt{3^8}$.

Теперь воспользуемся свойством $\sqrt{a^{2k}} = a^k$ для $a \ge 0$. Здесь $a=3$, а показатель степени $8 = 2 \cdot 4$, то есть $k=4$.

$\sqrt{3^8} = \sqrt{(3^4)^2} = 3^4 = 81$.

Ответ: $81$.

в) Для вычисления $\sqrt{7^4 \cdot (-10)^6}$ воспользуемся свойством корня из произведения $\sqrt{x \cdot y} = \sqrt{x} \cdot \sqrt{y}$ (применимо для $x \ge 0$ и $y \ge 0$).

Так как $7^4 > 0$ и $(-10)^6 > 0$ (поскольку степень 6 четная), мы можем применить это свойство.

$\sqrt{7^4 \cdot (-10)^6} = \sqrt{7^4} \cdot \sqrt{(-10)^6}$.

Вычислим каждый множитель отдельно, используя свойство $\sqrt{a^{2k}} = |a^k|$.

$\sqrt{7^4} = \sqrt{(7^2)^2} = |7^2| = 7^2 = 49$.

$\sqrt{(-10)^6} = \sqrt{((-10)^3)^2} = |(-10)^3| = |-1000| = 1000$.

Теперь перемножим полученные значения:

$49 \cdot 1000 = 49000$.

Ответ: $49000$.

г) Для вычисления $\sqrt{\frac{15^4 \cdot (-2)^8}{(-7)^4}}$ сначала упростим подкоренное выражение. Так как показатели степеней 8 и 4 четные, то $(-2)^8 = 2^8$ и $(-7)^4 = 7^4$.

Выражение принимает вид: $\sqrt{\frac{15^4 \cdot 2^8}{7^4}}$.

Воспользуемся свойствами корня из дроби $\sqrt{\frac{x}{y}} = \frac{\sqrt{x}}{\sqrt{y}}$ и корня из произведения $\sqrt{x \cdot y} = \sqrt{x} \cdot \sqrt{y}$ для неотрицательных $x$ и $y$.

$\sqrt{\frac{15^4 \cdot 2^8}{7^4}} = \frac{\sqrt{15^4 \cdot 2^8}}{\sqrt{7^4}} = \frac{\sqrt{15^4} \cdot \sqrt{2^8}}{\sqrt{7^4}}$.

Вычислим каждый корень по формуле $\sqrt{a^{2k}} = a^k$ для $a \ge 0$:

$\sqrt{15^4} = \sqrt{(15^2)^2} = 15^2 = 225$.

$\sqrt{2^8} = \sqrt{(2^4)^2} = 2^4 = 16$.

$\sqrt{7^4} = \sqrt{(7^2)^2} = 7^2 = 49$.

Подставим значения обратно в дробь и вычислим результат:

$\frac{225 \cdot 16}{49} = \frac{3600}{49}$.

Ответ: $\frac{3600}{49}$.

Помогло решение? Оставьте отзыв в комментариях ниже.

Присоединяйтесь к Телеграм-группе @gdz_by_belarus

Присоединиться

Мы подготовили для вас ответ c подробным объяснением домашего задания по алгебре за 7-9 класс, для упражнения номер 22.29 расположенного на странице 103 к сборнику задач 2020 года издания для учащихся школ и гимназий.

Теперь на нашем сайте ГДЗ.ТОП вы всегда легко и бесплатно найдёте условие с правильным ответом на вопрос «Как решить ДЗ» и «Как сделать» задание по алгебре к упражнению №22.29 (с. 103), авторов: Арефьева (Ирина Глебовна), Пирютко (Ольга Николаевна), учебного пособия издательства Народная асвета.