Номер 24.8, страница 113 - гдз по алгебре 7-9 класс сборник задач Арефьева, Пирютко

Алгебра, 7-9 класс Сборник задач, авторы: Арефьева Ирина Глебовна, Пирютко Ольга Николаевна, издательство Народная асвета, Минск, 2020

Авторы: Арефьева И. Г., Пирютко О. Н.

Тип: Сборник задач

Издательство: Народная асвета

Год издания: 2020 - 2025

Цвет обложки: синий с графиками

Допущено Министерством образования Республики Беларусь

Популярные ГДЗ в 7 классе

8 класс. Параграф 24. Системы и совокупности линейных неравенств с одной переменной. Решение двойных неравенств. Числовые промежутки - номер 24.8, страница 113.

№24.8 (с. 113)
Условие. №24.8 (с. 113)
скриншот условия
Алгебра, 7-9 класс Сборник задач, авторы: Арефьева Ирина Глебовна, Пирютко Ольга Николаевна, издательство Народная асвета, Минск, 2020, страница 113, номер 24.8, Условие

24.8. Решите систему неравенств:

а) $ \begin{cases} x \le 7, \\ x < 7; \end{cases} $

б) $ \begin{cases} 5x \ge 15, \\ -3x \le -6; \end{cases} $

в) $ \begin{cases} 0.3x > -3, \\ x \le -10; \end{cases} $

г) $ \begin{cases} \frac{1}{7}x \ge 2, \\ -2x \ge -28; \end{cases} $

д) $ \begin{cases} 1.2x > -24, \\ -x > -20; \end{cases} $

е) $ \begin{cases} \frac{3x}{7} \le -9, \\ -x > -21. \end{cases} $

Решение. №24.8 (с. 113)
Алгебра, 7-9 класс Сборник задач, авторы: Арефьева Ирина Глебовна, Пирютко Ольга Николаевна, издательство Народная асвета, Минск, 2020, страница 113, номер 24.8, Решение Алгебра, 7-9 класс Сборник задач, авторы: Арефьева Ирина Глебовна, Пирютко Ольга Николаевна, издательство Народная асвета, Минск, 2020, страница 113, номер 24.8, Решение (продолжение 2)
Решение 2. №24.8 (с. 113)

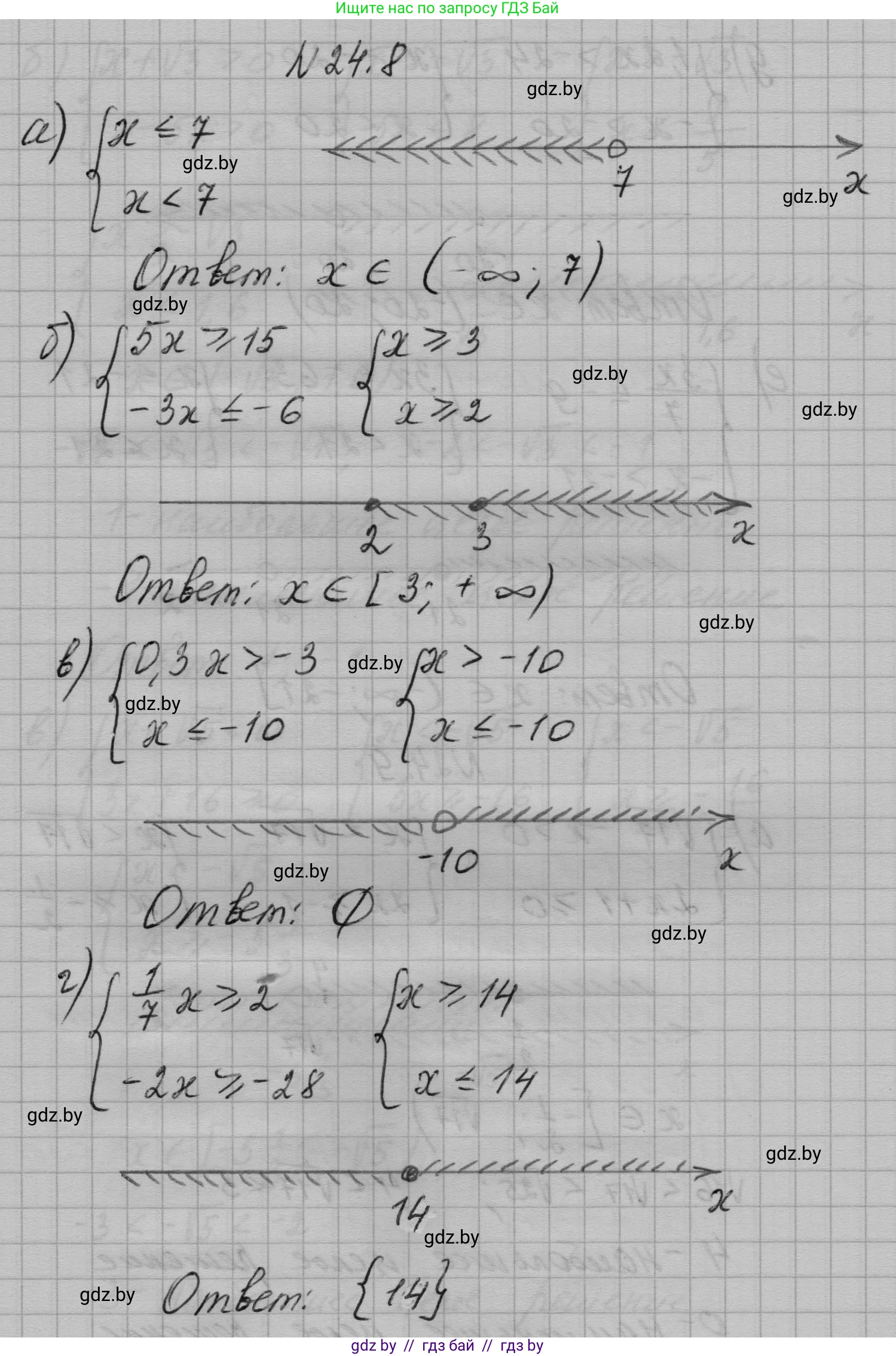
а) Рассмотрим систему неравенств: $ \begin{cases} x \le 7, \\ x < 7; \end{cases} $ Решением первого неравенства является промежуток $x \in (-\infty; 7]$. Решением второго неравенства является промежуток $x \in (-\infty; 7)$. Решением системы является пересечение этих двух промежутков, то есть множество значений $x$, удовлетворяющих обоим неравенствам одновременно. Так как второе неравенство $x < 7$ является более строгим, чем первое $x \le 7$, то пересечением будет промежуток $(-\infty; 7)$.
Ответ: $(-\infty; 7)$.

б) Рассмотрим систему неравенств: $ \begin{cases} 5x \ge 15, \\ -3x \le -6; \end{cases} $ Решим каждое неравенство отдельно:
1) $5x \ge 15$. Разделим обе части на 5: $x \ge \frac{15}{5}$, то есть $x \ge 3$.
2) $-3x \le -6$. Разделим обе части на -3, изменив знак неравенства на противоположный: $x \ge \frac{-6}{-3}$, то есть $x \ge 2$.
Решением системы является пересечение промежутков $[3; +\infty)$ и $[2; +\infty)$. Это промежуток $[3; +\infty)$.
Ответ: $[3; +\infty)$.

в) Рассмотрим систему неравенств: $ \begin{cases} 0,3x > -3, \\ x \le -10; \end{cases} $ Решим каждое неравенство отдельно:
1) $0,3x > -3$. Разделим обе части на 0,3: $x > \frac{-3}{0,3}$, то есть $x > -10$.
2) $x \le -10$. Это неравенство уже решено.
Нужно найти пересечение промежутков $(-10; +\infty)$ и $(-\infty; -10]$. Эти промежутки не имеют общих точек.
Ответ: нет решений.

г) Рассмотрим систему неравенств: $ \begin{cases} \frac{1}{7}x \ge 2, \\ -2x \ge -28; \end{cases} $ Решим каждое неравенство отдельно:
1) $\frac{1}{7}x \ge 2$. Умножим обе части на 7: $x \ge 14$.
2) $-2x \ge -28$. Разделим обе части на -2, изменив знак неравенства на противоположный: $x \le \frac{-28}{-2}$, то есть $x \le 14$.
Нужно найти пересечение промежутков $[14; +\infty)$ и $(-\infty; 14]$. Единственным числом, которое удовлетворяет обоим условиям, является $x=14$.
Ответ: $14$.

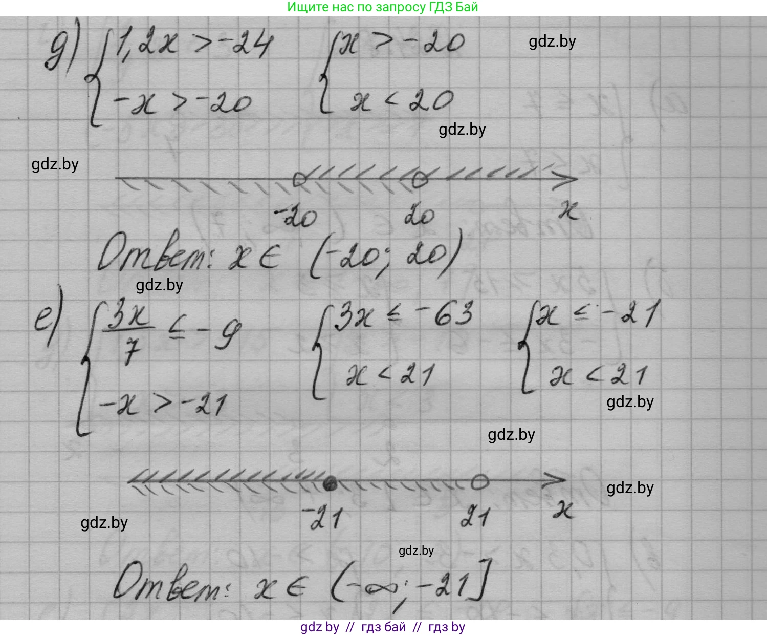
д) Рассмотрим систему неравенств: $ \begin{cases} 1,2x > -24, \\ -x > -20; \end{cases} $ Решим каждое неравенство отдельно:
1) $1,2x > -24$. Разделим обе части на 1,2: $x > \frac{-24}{1,2}$, то есть $x > -20$.
2) $-x > -20$. Умножим обе части на -1, изменив знак неравенства на противоположный: $x < 20$.
Решением системы является пересечение промежутков $(-20; +\infty)$ и $(-\infty; 20)$. Это промежуток $(-20; 20)$.
Ответ: $(-20; 20)$.

е) Рассмотрим систему неравенств: $ \begin{cases} \frac{3x}{7} \le -9, \\ -x > -21. \end{cases} $ Решим каждое неравенство отдельно:
1) $\frac{3x}{7} \le -9$. Умножим обе части на 7: $3x \le -63$. Разделим обе части на 3: $x \le -21$.
2) $-x > -21$. Умножим обе части на -1, изменив знак неравенства на противоположный: $x < 21$.
Решением системы является пересечение промежутков $(-\infty; -21]$ и $(-\infty; 21)$. Это промежуток $(-\infty; -21]$.
Ответ: $(-\infty; -21]$.

Помогло решение? Оставьте отзыв в комментариях ниже.

Присоединяйтесь к Телеграм-группе @gdz_by_belarus

Присоединиться

Мы подготовили для вас ответ c подробным объяснением домашего задания по алгебре за 7-9 класс, для упражнения номер 24.8 расположенного на странице 113 к сборнику задач 2020 года издания для учащихся школ и гимназий.

Теперь на нашем сайте ГДЗ.ТОП вы всегда легко и бесплатно найдёте условие с правильным ответом на вопрос «Как решить ДЗ» и «Как сделать» задание по алгебре к упражнению №24.8 (с. 113), авторов: Арефьева (Ирина Глебовна), Пирютко (Ольга Николаевна), учебного пособия издательства Народная асвета.