Номер 29.33, страница 136 - гдз по алгебре 7-9 класс сборник задач Арефьева, Пирютко
Авторы: Арефьева И. Г., Пирютко О. Н.
Тип: Сборник задач
Издательство: Народная асвета
Год издания: 2020 - 2025
Цвет обложки: синий с графиками
Допущено Министерством образования Республики Беларусь
Популярные ГДЗ в 7 классе
8 класс. Параграф 29. Квадратичная функция и ее свойства - номер 29.33, страница 136.
№29.33 (с. 136)
Условие. №29.33 (с. 136)
скриншот условия
29.33. Постройте график квадратичной функции и найдите ее промежутки монотонности:
а) $y=(x+3)^2-4;$
б) $y=x^2-2x-8;$
в) $y=(3-x)(x+5).$
Решение. №29.33 (с. 136)
Решение 2. №29.33 (с. 136)
а) $y = (x+3)^2 - 4$
Это квадратичная функция, график которой — парабола. Уравнение представлено в вершинной форме $y = a(x - x_v)^2 + y_v$, где $(x_v; y_v)$ — координаты вершины.
1. Координаты вершины. Из уравнения видно, что вершина параболы находится в точке с координатами $(-3; -4)$.
2. Направление ветвей. Коэффициент при $x^2$ равен 1 (т.к. $y = x^2+6x+9-4 = x^2+6x+5$), что больше нуля ($a=1>0$), следовательно, ветви параболы направлены вверх.
3. Точки пересечения с осями координат. Для построения графика найдем точки пересечения с осями.
- С осью ординат (Oy): подставим $x=0$ в уравнение функции.
$y(0) = (0+3)^2 - 4 = 9 - 4 = 5$. Точка пересечения с осью Oy: $(0; 5)$.
- С осью абсцисс (Ox): подставим $y=0$ в уравнение функции.
$(x+3)^2 - 4 = 0$
$(x+3)^2 = 4$
$x+3 = 2$ или $x+3 = -2$
$x_1 = -1$, $x_2 = -5$. Точки пересечения с осью Ox: $(-1; 0)$ и $(-5; 0)$.
Используя эти точки (вершина $(-3; -4)$, точки пересечения с осями $(-1; 0)$, $(-5; 0)$ и $(0; 5)$), можно построить график.
4. Промежутки монотонности. Так как ветви параболы направлены вверх, а абсцисса вершины $x_v = -3$, функция убывает на промежутке до вершины и возрастает после.
Функция убывает при $x \in (-\infty; -3]$.
Функция возрастает при $x \in [-3; +\infty)$.
Ответ: функция убывает на промежутке $(-\infty; -3]$ и возрастает на промежутке $[-3; +\infty)$.
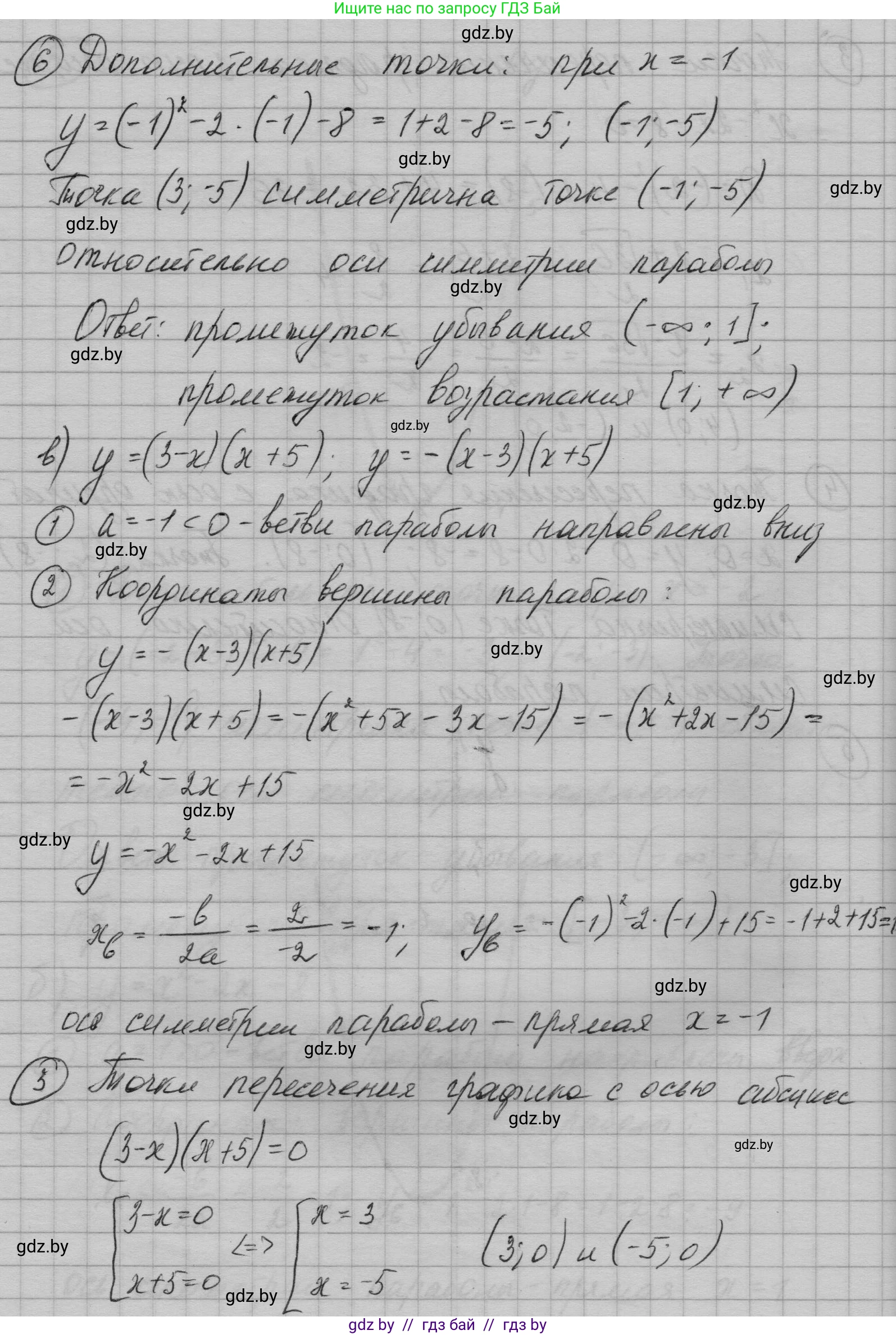
б) $y = x^2 - 2x - 8$
Это квадратичная функция вида $y = ax^2 + bx + c$, график которой — парабола. В данном случае $a=1, b=-2, c=-8$.
1. Координаты вершины. Найдем координаты вершины параболы по формуле $x_v = -b/(2a)$.
$x_v = -(-2) / (2 \cdot 1) = 2/2 = 1$.
$y_v = (1)^2 - 2(1) - 8 = 1 - 2 - 8 = -9$.
Координаты вершины: $(1; -9)$.
2. Направление ветвей. Коэффициент $a=1 > 0$, значит, ветви параболы направлены вверх.
3. Точки пересечения с осями координат.
- С осью Oy ($x=0$): $y = 0^2 - 2(0) - 8 = -8$. Точка $(0; -8)$.
- С осью Ox ($y=0$): $x^2 - 2x - 8 = 0$.
По теореме Виета (или через дискриминант) находим корни: $x_1 = 4$ и $x_2 = -2$. Точки пересечения: $(4; 0)$ и $(-2; 0)$.
На основе этих ключевых точек (вершина $(1; -9)$, точки пересечения $(4; 0)$, $(-2; 0)$, $(0; -8)$) строится график параболы.
4. Промежутки монотонности. Так как ветви параболы направлены вверх, а абсцисса вершины $x_v = 1$, то функция убывает на промежутке $(-\infty; 1]$ и возрастает на промежутке $[1; +\infty)$.
Ответ: функция убывает на промежутке $(-\infty; 1]$ и возрастает на промежутке $[1; +\infty)$.
в) $y = (3-x)(x+5)$
Это квадратичная функция. Для анализа приведем ее к стандартному виду $y = ax^2 + bx + c$, раскрыв скобки.
$y = 3x + 15 - x^2 - 5x = -x^2 - 2x + 15$.
Здесь $a=-1, b=-2, c=15$.
1. Координаты вершины.
$x_v = -b/(2a) = -(-2) / (2 \cdot (-1)) = 2/(-2) = -1$.
$y_v = -(-1)^2 - 2(-1) + 15 = -1 + 2 + 15 = 16$.
Координаты вершины: $(-1; 16)$.
2. Направление ветвей. Коэффициент $a=-1 < 0$, значит, ветви параболы направлены вниз.
3. Точки пересечения с осями координат.
- С осью Oy ($x=0$): $y = (3-0)(0+5) = 15$. Точка $(0; 15)$.
- С осью Ox ($y=0$): $(3-x)(x+5) = 0$.
Корни $x_1 = 3$ и $x_2 = -5$. Точки пересечения: $(3; 0)$ и $(-5; 0)$.
На основе этих ключевых точек (вершина $(-1; 16)$, точки пересечения $(3; 0)$, $(-5; 0)$, $(0; 15)$) строится график параболы.
4. Промежутки монотонности. Поскольку ветви параболы направлены вниз, функция возрастает до своей вершины и убывает после нее. Абсцисса вершины $x_v = -1$.
Промежуток возрастания: $(-\infty; -1]$.
Промежуток убывания: $[-1; +\infty)$.
Ответ: функция возрастает на промежутке $(-\infty; -1]$ и убывает на промежутке $[-1; +\infty)$.
Другие задания:
Помогло решение? Оставьте отзыв в комментариях ниже.
Присоединяйтесь к Телеграм-группе @gdz_by_belarus
ПрисоединитьсяМы подготовили для вас ответ c подробным объяснением домашего задания по алгебре за 7-9 класс, для упражнения номер 29.33 расположенного на странице 136 к сборнику задач 2020 года издания для учащихся школ и гимназий.
Теперь на нашем сайте ГДЗ.ТОП вы всегда легко и бесплатно найдёте условие с правильным ответом на вопрос «Как решить ДЗ» и «Как сделать» задание по алгебре к упражнению №29.33 (с. 136), авторов: Арефьева (Ирина Глебовна), Пирютко (Ольга Николаевна), учебного пособия издательства Народная асвета.