Номер 30.5, страница 141 - гдз по алгебре 7-9 класс сборник задач Арефьева, Пирютко

Алгебра, 7-9 класс Сборник задач, авторы: Арефьева Ирина Глебовна, Пирютко Ольга Николаевна, издательство Народная асвета, Минск, 2020

Авторы: Арефьева И. Г., Пирютко О. Н.

Тип: Сборник задач

Издательство: Народная асвета

Год издания: 2020 - 2025

Цвет обложки: синий с графиками

Допущено Министерством образования Республики Беларусь

Популярные ГДЗ в 7 классе

8 класс. Параграф 30. Квадратные неравенства. Системы и совокупности квадратных неравенств - номер 30.5, страница 141.

№30.5 (с. 141)
Условие. №30.5 (с. 141)
скриншот условия
Алгебра, 7-9 класс Сборник задач, авторы: Арефьева Ирина Глебовна, Пирютко Ольга Николаевна, издательство Народная асвета, Минск, 2020, страница 141, номер 30.5, Условие

30.5. Решите квадратное неравенство, используя алгоритм:

а) $x^2 - 6x + 8 < 0;$

б) $2x^2 - 7x + 3 > 0;$

в) $2x^2 + 3x + 1 \leq 0;$

г) $3x^2 + x - 2 \geq 0;$

д) $x^2 - 7x > 0;$

е) $2x^2 + 7x < 0;$

ж) $x^2 - 25 \geq 0;$

з) $9x^2 - 1 \leq 0;$

и) $3x^2 - 5x + 12 \leq 0;$

к) $8x^2 - 2x + 1 \geq 0;$

л) $x^2 - 10x + 25 \leq 0;$

м) $4x^2 - 4x + 1 > 0.$

Решение. №30.5 (с. 141)
Алгебра, 7-9 класс Сборник задач, авторы: Арефьева Ирина Глебовна, Пирютко Ольга Николаевна, издательство Народная асвета, Минск, 2020, страница 141, номер 30.5, Решение Алгебра, 7-9 класс Сборник задач, авторы: Арефьева Ирина Глебовна, Пирютко Ольга Николаевна, издательство Народная асвета, Минск, 2020, страница 141, номер 30.5, Решение (продолжение 2)
Решение 2. №30.5 (с. 141)

а) $x^2 - 6x + 8 < 0$
Для решения неравенства найдем корни соответствующего квадратного уравнения $x^2 - 6x + 8 = 0$.
По теореме Виета, сумма корней равна 6, а произведение равно 8. Корни уравнения: $x_1 = 2$ и $x_2 = 4$.
Графиком функции $y = x^2 - 6x + 8$ является парабола, ветви которой направлены вверх, так как коэффициент при $x^2$ положителен ($a=1>0$). Парабола пересекает ось абсцисс в точках $x=2$ и $x=4$.
Неравенство $x^2 - 6x + 8 < 0$ выполняется на том интервале, где парабола находится ниже оси абсцисс, то есть между корнями.
Ответ: $(2; 4)$.

б) $2x^2 - 7x + 3 > 0$
Решим уравнение $2x^2 - 7x + 3 = 0$.
Вычислим дискриминант: $D = (-7)^2 - 4 \cdot 2 \cdot 3 = 49 - 24 = 25 = 5^2$.
Корни уравнения: $x_{1,2} = \frac{-(-7) \pm 5}{2 \cdot 2} = \frac{7 \pm 5}{4}$.
$x_1 = \frac{7 - 5}{4} = \frac{2}{4} = 0.5$; $x_2 = \frac{7 + 5}{4} = \frac{12}{4} = 3$.
Ветви параболы $y = 2x^2 - 7x + 3$ направлены вверх ($a=2>0$). Парабола пересекает ось Ox в точках $x=0.5$ и $x=3$.
Неравенство $2x^2 - 7x + 3 > 0$ выполняется там, где парабола находится выше оси Ox, то есть левее меньшего корня и правее большего корня.
Ответ: $(-\infty; 0.5) \cup (3; +\infty)$.

в) $2x^2 + 3x + 1 \le 0$
Решим уравнение $2x^2 + 3x + 1 = 0$.
Дискриминант: $D = 3^2 - 4 \cdot 2 \cdot 1 = 9 - 8 = 1 = 1^2$.
Корни: $x_{1,2} = \frac{-3 \pm 1}{4}$.
$x_1 = \frac{-3 - 1}{4} = -1$; $x_2 = \frac{-3 + 1}{4} = -0.5$.
Ветви параболы $y = 2x^2 + 3x + 1$ направлены вверх ($a=2>0$). Она пересекает ось Ox в точках $x=-1$ и $x=-0.5$.
Неравенство $2x^2 + 3x + 1 \le 0$ выполняется, когда парабола находится на оси Ox или ниже неё, то есть на отрезке между корнями.
Ответ: $[-1; -0.5]$.

г) $3x^2 + x - 2 \ge 0$
Решим уравнение $3x^2 + x - 2 = 0$.
Дискриминант: $D = 1^2 - 4 \cdot 3 \cdot (-2) = 1 + 24 = 25 = 5^2$.
Корни: $x_{1,2} = \frac{-1 \pm 5}{2 \cdot 3} = \frac{-1 \pm 5}{6}$.
$x_1 = \frac{-1 - 5}{6} = -1$; $x_2 = \frac{-1 + 5}{6} = \frac{4}{6} = \frac{2}{3}$.
Ветви параболы $y = 3x^2 + x - 2$ направлены вверх ($a=3>0$). Она пересекает ось Ox в точках $x=-1$ и $x=\frac{2}{3}$.
Неравенство $3x^2 + x - 2 \ge 0$ выполняется, когда парабола находится на оси Ox или выше неё.
Ответ: $(-\infty; -1] \cup [\frac{2}{3}; +\infty)$.

д) $x^2 - 7x > 0$
Решим уравнение $x^2 - 7x = 0$.
Вынесем $x$ за скобки: $x(x - 7) = 0$.
Корни: $x_1 = 0$ и $x_2 = 7$.
Ветви параболы $y = x^2 - 7x$ направлены вверх ($a=1>0$). Парабола пересекает ось Ox в точках $x=0$ и $x=7$.
Неравенство $x^2 - 7x > 0$ выполняется, когда парабола находится выше оси Ox.
Ответ: $(-\infty; 0) \cup (7; +\infty)$.

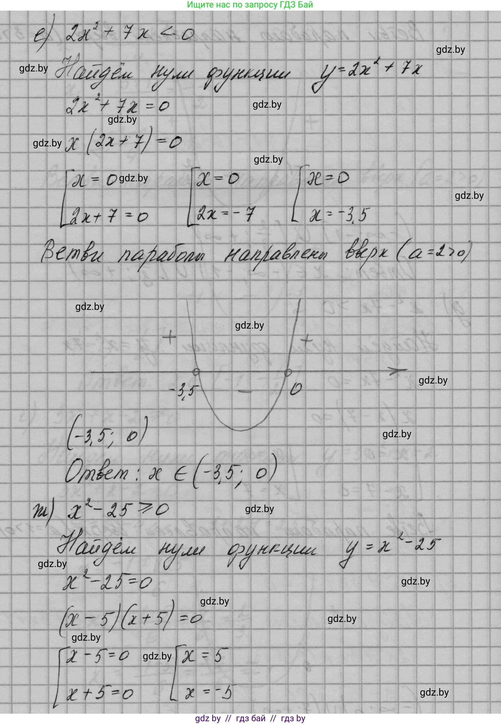
е) $2x^2 + 7x < 0$
Решим уравнение $2x^2 + 7x = 0$.
Вынесем $x$ за скобки: $x(2x + 7) = 0$.
Корни: $x_1 = 0$ и $2x+7=0 \implies x_2 = -3.5$.
Ветви параболы $y = 2x^2 + 7x$ направлены вверх ($a=2>0$). Она пересекает ось Ox в точках $x=-3.5$ и $x=0$.
Неравенство $2x^2 + 7x < 0$ выполняется, когда парабола находится ниже оси Ox, то есть между корнями.
Ответ: $(-3.5; 0)$.

ж) $x^2 - 25 \ge 0$
Решим уравнение $x^2 - 25 = 0$.
$x^2 = 25$, откуда $x_1 = -5$ и $x_2 = 5$.
Ветви параболы $y = x^2 - 25$ направлены вверх ($a=1>0$). Она пересекает ось Ox в точках $x=-5$ и $x=5$.
Неравенство $x^2 - 25 \ge 0$ выполняется, когда парабола находится на оси Ox или выше неё.
Ответ: $(-\infty; -5] \cup [5; +\infty)$.

з) $9x^2 - 1 \le 0$
Решим уравнение $9x^2 - 1 = 0$.
$9x^2 = 1 \implies x^2 = \frac{1}{9}$, откуда $x_1 = -\frac{1}{3}$ и $x_2 = \frac{1}{3}$.
Ветви параболы $y = 9x^2 - 1$ направлены вверх ($a=9>0$). Она пересекает ось Ox в точках $x=-1/3$ и $x=1/3$.
Неравенство $9x^2 - 1 \le 0$ выполняется, когда парабола находится на оси Ox или ниже неё.
Ответ: $[-\frac{1}{3}; \frac{1}{3}]$.

и) $3x^2 - 5x + 12 \le 0$
Решим уравнение $3x^2 - 5x + 12 = 0$.
Дискриминант: $D = (-5)^2 - 4 \cdot 3 \cdot 12 = 25 - 144 = -119$.
Так как $D < 0$, действительных корней нет.
Ветви параболы $y = 3x^2 - 5x + 12$ направлены вверх ($a=3>0$), и она не пересекает ось Ox. Следовательно, вся парабола находится выше оси Ox, и выражение $3x^2 - 5x + 12$ всегда положительно.
Неравенство $3x^2 - 5x + 12 \le 0$ не выполняется ни при каких значениях $x$.
Ответ: решений нет.

к) $8x^2 - 2x + 1 > 0$
Решим уравнение $8x^2 - 2x + 1 = 0$.
Дискриминант: $D = (-2)^2 - 4 \cdot 8 \cdot 1 = 4 - 32 = -28$.
Так как $D < 0$, действительных корней нет.
Ветви параболы $y = 8x^2 - 2x + 1$ направлены вверх ($a=8>0$), и она не пересекает ось Ox. Следовательно, вся парабола находится выше оси Ox, и выражение $8x^2 - 2x + 1$ всегда положительно.
Неравенство $8x^2 - 2x + 1 > 0$ выполняется для любого действительного числа $x$.
Ответ: $(-\infty; +\infty)$.

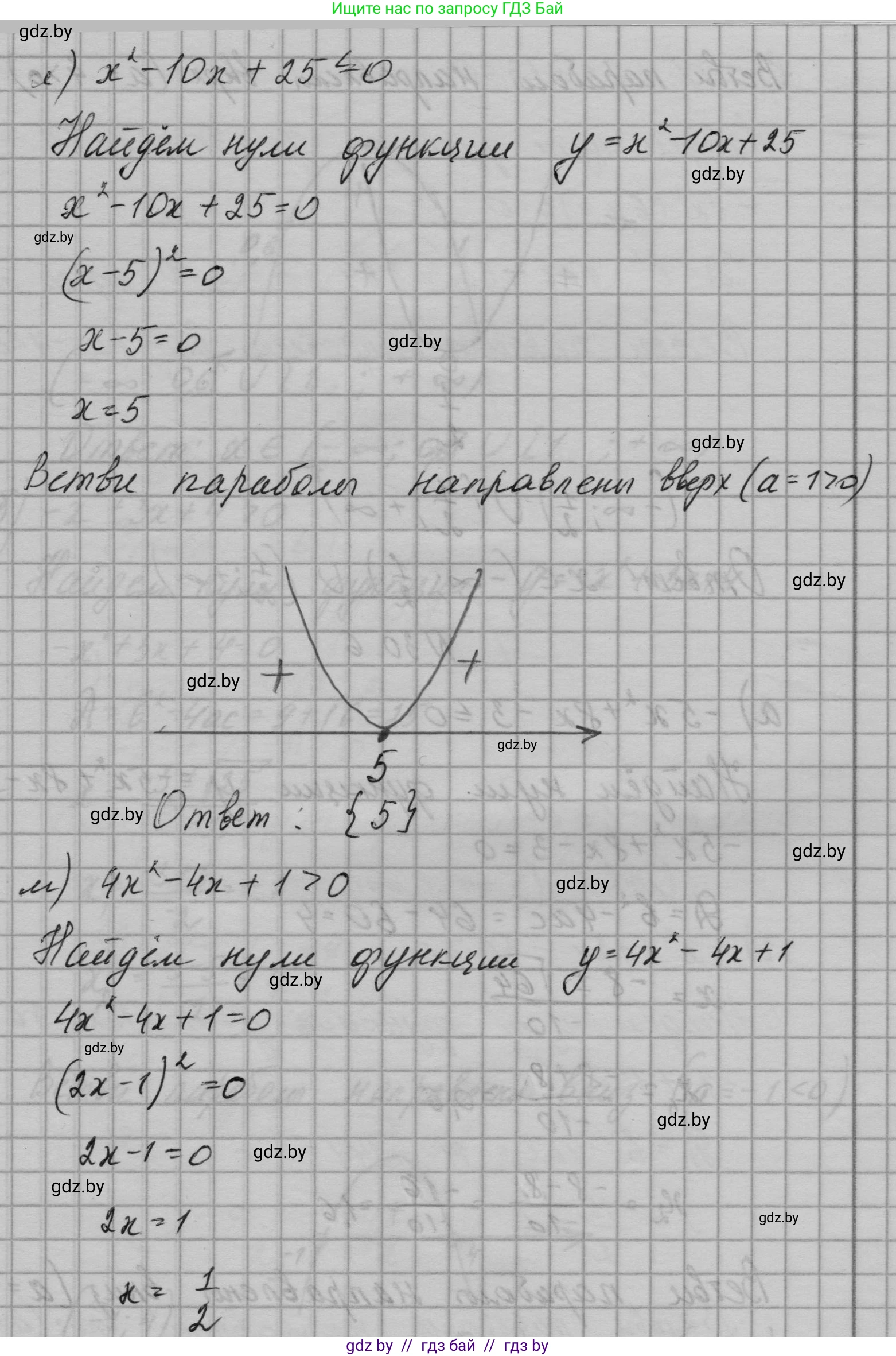
л) $x^2 - 10x + 25 \le 0$
Заметим, что левая часть неравенства является полным квадратом: $x^2 - 10x + 25 = (x-5)^2$.
Неравенство принимает вид $(x-5)^2 \le 0$.
Квадрат любого действительного числа не может быть отрицательным, то есть $(x-5)^2 \ge 0$ для всех $x$.
Поэтому неравенство $(x-5)^2 \le 0$ может выполняться только в случае равенства нулю: $(x-5)^2 = 0$.
Это происходит только при $x-5=0$, то есть $x=5$.
Ответ: $5$.

м) $4x^2 - 4x + 1 > 0$
Заметим, что левая часть неравенства является полным квадратом: $4x^2 - 4x + 1 = (2x-1)^2$.
Неравенство принимает вид $(2x-1)^2 > 0$.
Квадрат любого действительного числа неотрицателен, то есть $(2x-1)^2 \ge 0$.
Равенство нулю достигается при $2x-1=0$, то есть при $x=0.5$.
Во всех остальных случаях $(2x-1)^2$ будет строго больше нуля.
Следовательно, решение неравенства - это все действительные числа, кроме $x=0.5$.
Ответ: $(-\infty; 0.5) \cup (0.5; +\infty)$.

Помогло решение? Оставьте отзыв в комментариях ниже.

Присоединяйтесь к Телеграм-группе @gdz_by_belarus

Присоединиться

Мы подготовили для вас ответ c подробным объяснением домашего задания по алгебре за 7-9 класс, для упражнения номер 30.5 расположенного на странице 141 к сборнику задач 2020 года издания для учащихся школ и гимназий.

Теперь на нашем сайте ГДЗ.ТОП вы всегда легко и бесплатно найдёте условие с правильным ответом на вопрос «Как решить ДЗ» и «Как сделать» задание по алгебре к упражнению №30.5 (с. 141), авторов: Арефьева (Ирина Глебовна), Пирютко (Ольга Николаевна), учебного пособия издательства Народная асвета.