Номер 30.24, страница 144 - гдз по алгебре 7-9 класс сборник задач Арефьева, Пирютко

Алгебра, 7-9 класс Сборник задач, авторы: Арефьева Ирина Глебовна, Пирютко Ольга Николаевна, издательство Народная асвета, Минск, 2020

Авторы: Арефьева И. Г., Пирютко О. Н.

Тип: Сборник задач

Издательство: Народная асвета

Год издания: 2020 - 2025

Цвет обложки: синий с графиками

Допущено Министерством образования Республики Беларусь

Популярные ГДЗ в 7 классе

8 класс. Параграф 30. Квадратные неравенства. Системы и совокупности квадратных неравенств - номер 30.24, страница 144.

№30.24 (с. 144)
Условие. №30.24 (с. 144)
скриншот условия
Алгебра, 7-9 класс Сборник задач, авторы: Арефьева Ирина Глебовна, Пирютко Ольга Николаевна, издательство Народная асвета, Минск, 2020, страница 144, номер 30.24, Условие Алгебра, 7-9 класс Сборник задач, авторы: Арефьева Ирина Глебовна, Пирютко Ольга Николаевна, издательство Народная асвета, Минск, 2020, страница 144, номер 30.24, Условие (продолжение 2)

30.24. Примените формулы сокращенного умножения и решите неравенство:

а) $(x - 4)^2 - 2x > 7;$

б) $(x + 2)^2 \le 2x + 3;$

в) $(2x + 4)^2 < 11x^2 + 1;$

г) $6x^2 + 3 \ge 2(x - 1)^2;$

д) $(x - 4)^2 > 17 - 8x;$

е) $(x - 5)^2 \ge 4(7 - 2x);$

ж) $(9 - 4x)^2 \le 5(4x + 1);$

з) $2(x - 2)^2 > (x - 5)^2;$

и) $4(x + 1)^2 \ge 3(x - 1)^2;$

к) $(x + 3)^2 + (x - 4)^2 < 25;$

л) $(5x - 3)^2 - (3x - 1)^2 < 8;$

м) $(3x - 1)^2 - (2x + 1)^2 \ge 15.$

Решение. №30.24 (с. 144)
Алгебра, 7-9 класс Сборник задач, авторы: Арефьева Ирина Глебовна, Пирютко Ольга Николаевна, издательство Народная асвета, Минск, 2020, страница 144, номер 30.24, Решение Алгебра, 7-9 класс Сборник задач, авторы: Арефьева Ирина Глебовна, Пирютко Ольга Николаевна, издательство Народная асвета, Минск, 2020, страница 144, номер 30.24, Решение (продолжение 2)
Решение 2. №30.24 (с. 144)

а) Раскроем скобки, используя формулу квадрата разности $(a-b)^2 = a^2-2ab+b^2$:
$(x-4)^2-2x > 7$
$x^2 - 2 \cdot x \cdot 4 + 4^2 - 2x > 7$
$x^2 - 8x + 16 - 2x > 7$
Приведем подобные слагаемые и перенесем все члены в левую часть:
$x^2 - 10x + 16 - 7 > 0$
$x^2 - 10x + 9 > 0$
Решим соответствующее квадратное уравнение $x^2 - 10x + 9 = 0$.
По теореме Виета, корни уравнения $x_1 = 1$, $x_2 = 9$.
Парабола $y = x^2 - 10x + 9$ имеет ветви, направленные вверх, поэтому неравенство $y > 0$ выполняется при $x$, находящихся вне интервала между корнями.
Таким образом, $x \in (-\infty; 1) \cup (9; +\infty)$.
Ответ: $(-\infty; 1) \cup (9; +\infty)$.

б) Раскроем скобки, используя формулу квадрата суммы $(a+b)^2 = a^2+2ab+b^2$:
$(x+2)^2 \le 2x + 3$
$x^2 + 4x + 4 \le 2x + 3$
Перенесем все члены в левую часть и приведем подобные слагаемые:
$x^2 + 4x - 2x + 4 - 3 \le 0$
$x^2 + 2x + 1 \le 0$
Свернем левую часть по формуле квадрата суммы:
$(x+1)^2 \le 0$
Квадрат любого действительного числа всегда неотрицателен, то есть $(x+1)^2 \ge 0$. Следовательно, неравенство $(x+1)^2 \le 0$ может выполняться только в случае равенства нулю:
$(x+1)^2 = 0$
$x+1 = 0$
$x = -1$
Ответ: -1.

в) Раскроем скобки, используя формулу квадрата суммы:
$(2x+4)^2 < 11x^2 + 1$
$4x^2 + 16x + 16 < 11x^2 + 1$
Перенесем все члены в правую часть:
$0 < 11x^2 - 4x^2 - 16x + 1 - 16$
$7x^2 - 16x - 15 > 0$
Решим соответствующее квадратное уравнение $7x^2 - 16x - 15 = 0$.
Найдем дискриминант: $D = (-16)^2 - 4 \cdot 7 \cdot (-15) = 256 + 420 = 676 = 26^2$.
Корни уравнения: $x_{1,2} = \frac{16 \pm 26}{14}$.
$x_1 = \frac{16 - 26}{14} = \frac{-10}{14} = -\frac{5}{7}$.
$x_2 = \frac{16 + 26}{14} = \frac{42}{14} = 3$.
Парабола $y = 7x^2 - 16x - 15$ имеет ветви, направленные вверх, поэтому неравенство $y > 0$ выполняется при $x$, находящихся вне интервала между корнями.
Ответ: $(-\infty; -5/7) \cup (3; +\infty)$.

г) Раскроем скобки в правой части неравенства:
$6x^2 + 3 \ge 2(x-1)^2$
$6x^2 + 3 \ge 2(x^2 - 2x + 1)$
$6x^2 + 3 \ge 2x^2 - 4x + 2$
Перенесем все члены в левую часть:
$6x^2 - 2x^2 + 4x + 3 - 2 \ge 0$
$4x^2 + 4x + 1 \ge 0$
Свернем левую часть по формуле квадрата суммы:
$(2x+1)^2 \ge 0$
Квадрат любого действительного числа всегда неотрицателен. Следовательно, это неравенство верно для любого значения $x$.
Ответ: $(-\infty; +\infty)$.

д) Раскроем скобки в левой части:
$(x-4)^2 > 17 - 8x$
$x^2 - 8x + 16 > 17 - 8x$
Перенесем все члены в левую часть:
$x^2 - 8x + 8x + 16 - 17 > 0$
$x^2 - 1 > 0$
Решим уравнение $x^2 - 1 = 0$, откуда $x^2 = 1$, $x_1 = -1$, $x_2 = 1$.
Парабола $y = x^2 - 1$ имеет ветви, направленные вверх, поэтому неравенство $y > 0$ выполняется вне интервала между корнями.
Ответ: $(-\infty; -1) \cup (1; +\infty)$.

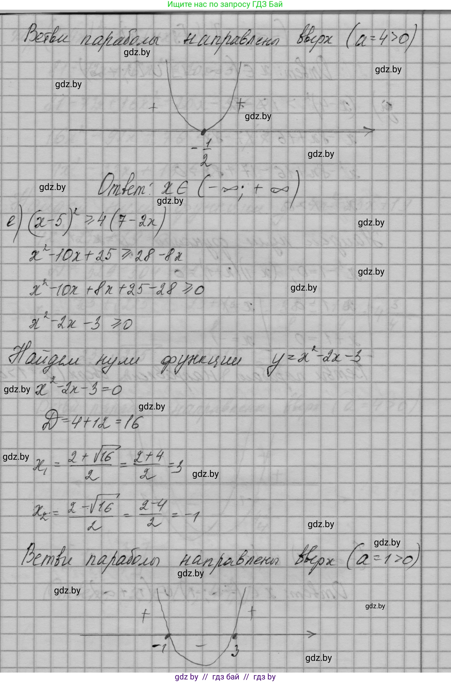
е) Раскроем скобки в обеих частях неравенства:
$(x-5)^2 \ge 4(7 - 2x)$
$x^2 - 10x + 25 \ge 28 - 8x$
Перенесем все члены в левую часть:
$x^2 - 10x + 8x + 25 - 28 \ge 0$
$x^2 - 2x - 3 \ge 0$
Решим соответствующее квадратное уравнение $x^2 - 2x - 3 = 0$.
По теореме Виета, корни $x_1 = -1$, $x_2 = 3$.
Парабола $y = x^2 - 2x - 3$ имеет ветви, направленные вверх, поэтому неравенство $y \ge 0$ выполняется на концах и вне интервала между корнями.
Ответ: $(-\infty; -1] \cup [3; +\infty)$.

ж) Раскроем скобки:
$(9-4x)^2 \le 5(4x+1)$
$81 - 72x + 16x^2 \le 20x + 5$
Перенесем все члены в левую часть:
$16x^2 - 72x - 20x + 81 - 5 \le 0$
$16x^2 - 92x + 76 \le 0$
Разделим обе части на 4 для упрощения:
$4x^2 - 23x + 19 \le 0$
Решим уравнение $4x^2 - 23x + 19 = 0$.
$D = (-23)^2 - 4 \cdot 4 \cdot 19 = 529 - 304 = 225 = 15^2$.
$x_{1,2} = \frac{23 \pm 15}{8}$.
$x_1 = \frac{23-15}{8} = 1$, $x_2 = \frac{23+15}{8} = \frac{38}{8} = \frac{19}{4}$.
Парабола $y = 4x^2 - 23x + 19$ имеет ветви, направленные вверх, поэтому неравенство $y \le 0$ выполняется между корнями, включая сами корни.
Ответ: $[1; 19/4]$.

з) Раскроем скобки:
$2(x-2)^2 > (x-5)^2$
$2(x^2 - 4x + 4) > x^2 - 10x + 25$
$2x^2 - 8x + 8 > x^2 - 10x + 25$
Перенесем все члены в левую часть:
$2x^2 - x^2 - 8x + 10x + 8 - 25 > 0$
$x^2 + 2x - 17 > 0$
Решим уравнение $x^2 + 2x - 17 = 0$.
$D = 2^2 - 4 \cdot 1 \cdot (-17) = 4 + 68 = 72$.
$x_{1,2} = \frac{-2 \pm \sqrt{72}}{2} = \frac{-2 \pm 6\sqrt{2}}{2} = -1 \pm 3\sqrt{2}$.
Парабола $y = x^2 + 2x - 17$ имеет ветви, направленные вверх, поэтому неравенство $y > 0$ выполняется вне интервала между корнями.
Ответ: $(-\infty; -1 - 3\sqrt{2}) \cup (-1 + 3\sqrt{2}; +\infty)$.

и) Раскроем скобки:
$4(x+1)^2 \ge 3(x-1)^2$
$4(x^2 + 2x + 1) \ge 3(x^2 - 2x + 1)$
$4x^2 + 8x + 4 \ge 3x^2 - 6x + 3$
Перенесем все члены в левую часть:
$4x^2 - 3x^2 + 8x + 6x + 4 - 3 \ge 0$
$x^2 + 14x + 1 \ge 0$
Решим уравнение $x^2 + 14x + 1 = 0$.
$D = 14^2 - 4 \cdot 1 \cdot 1 = 196 - 4 = 192$.
$x_{1,2} = \frac{-14 \pm \sqrt{192}}{2} = \frac{-14 \pm 8\sqrt{3}}{2} = -7 \pm 4\sqrt{3}$.
Парабола $y = x^2 + 14x + 1$ имеет ветви, направленные вверх, поэтому неравенство $y \ge 0$ выполняется на концах и вне интервала между корнями.
Ответ: $(-\infty; -7 - 4\sqrt{3}] \cup [-7 + 4\sqrt{3}; +\infty)$.

к) Раскроем скобки:
$(x+3)^2 + (x-4)^2 < 25$
$(x^2 + 6x + 9) + (x^2 - 8x + 16) < 25$
Приведем подобные слагаемые:
$2x^2 - 2x + 25 < 25$
$2x^2 - 2x < 0$
Разделим обе части на 2:
$x^2 - x < 0$
Вынесем $x$ за скобки: $x(x - 1) < 0$.
Корни уравнения $x(x-1)=0$ равны $x_1=0$ и $x_2=1$.
Парабола $y = x^2-x$ имеет ветви, направленные вверх, поэтому неравенство $y < 0$ выполняется между корнями.
Ответ: $(0; 1)$.

л) Используем формулу разности квадратов $a^2-b^2 = (a-b)(a+b)$:
$(5x - 3)^2 - (3x - 1)^2 < 8$
$((5x-3) - (3x-1))((5x-3) + (3x-1)) < 8$
$(5x-3-3x+1)(5x-3+3x-1) < 8$
$(2x-2)(8x-4) < 8$
$16x^2 - 8x - 16x + 8 < 8$
$16x^2 - 24x + 8 < 8$
$16x^2 - 24x < 0$
Вынесем $8x$ за скобки:
$8x(2x - 3) < 0$
Корни уравнения $8x(2x-3)=0$ равны $x_1=0$ и $x_2=3/2$.
Парабола $y = 16x^2-24x$ имеет ветви, направленные вверх, поэтому неравенство $y < 0$ выполняется между корнями.
Ответ: $(0; 3/2)$.

м) Используем формулу разности квадратов $a^2-b^2 = (a-b)(a+b)$:
$(3x - 1)^2 - (2x + 1)^2 \ge 15$
$((3x-1) - (2x+1))((3x-1) + (2x+1)) \ge 15$
$(3x-1-2x-1)(3x-1+2x+1) \ge 15$
$(x-2)(5x) \ge 15$
$5x^2 - 10x \ge 15$
$5x^2 - 10x - 15 \ge 0$
Разделим обе части на 5:
$x^2 - 2x - 3 \ge 0$
Корни уравнения $x^2 - 2x - 3 = 0$ равны $x_1 = -1$, $x_2 = 3$.
Парабола $y = x^2 - 2x - 3$ имеет ветви, направленные вверх, поэтому неравенство $y \ge 0$ выполняется на концах и вне интервала между корнями.
Ответ: $(-\infty; -1] \cup [3; +\infty)$.

Помогло решение? Оставьте отзыв в комментариях ниже.

Присоединяйтесь к Телеграм-группе @gdz_by_belarus

Присоединиться

Мы подготовили для вас ответ c подробным объяснением домашего задания по алгебре за 7-9 класс, для упражнения номер 30.24 расположенного на странице 144 к сборнику задач 2020 года издания для учащихся школ и гимназий.

Теперь на нашем сайте ГДЗ.ТОП вы всегда легко и бесплатно найдёте условие с правильным ответом на вопрос «Как решить ДЗ» и «Как сделать» задание по алгебре к упражнению №30.24 (с. 144), авторов: Арефьева (Ирина Глебовна), Пирютко (Ольга Николаевна), учебного пособия издательства Народная асвета.