Номер 31.30, страница 149 - гдз по алгебре 7-9 класс сборник задач Арефьева, Пирютко
Авторы: Арефьева И. Г., Пирютко О. Н.
Тип: Сборник задач
Издательство: Народная асвета
Год издания: 2020 - 2025
Цвет обложки: синий с графиками
Допущено Министерством образования Республики Беларусь
Популярные ГДЗ в 7 классе
8 класс. Параграф 31. Функция y=k/x (k≠0), y=x^3, y=|x|, y=√x - номер 31.30, страница 149.
№31.30 (с. 149)
Условие. №31.30 (с. 149)
скриншот условия
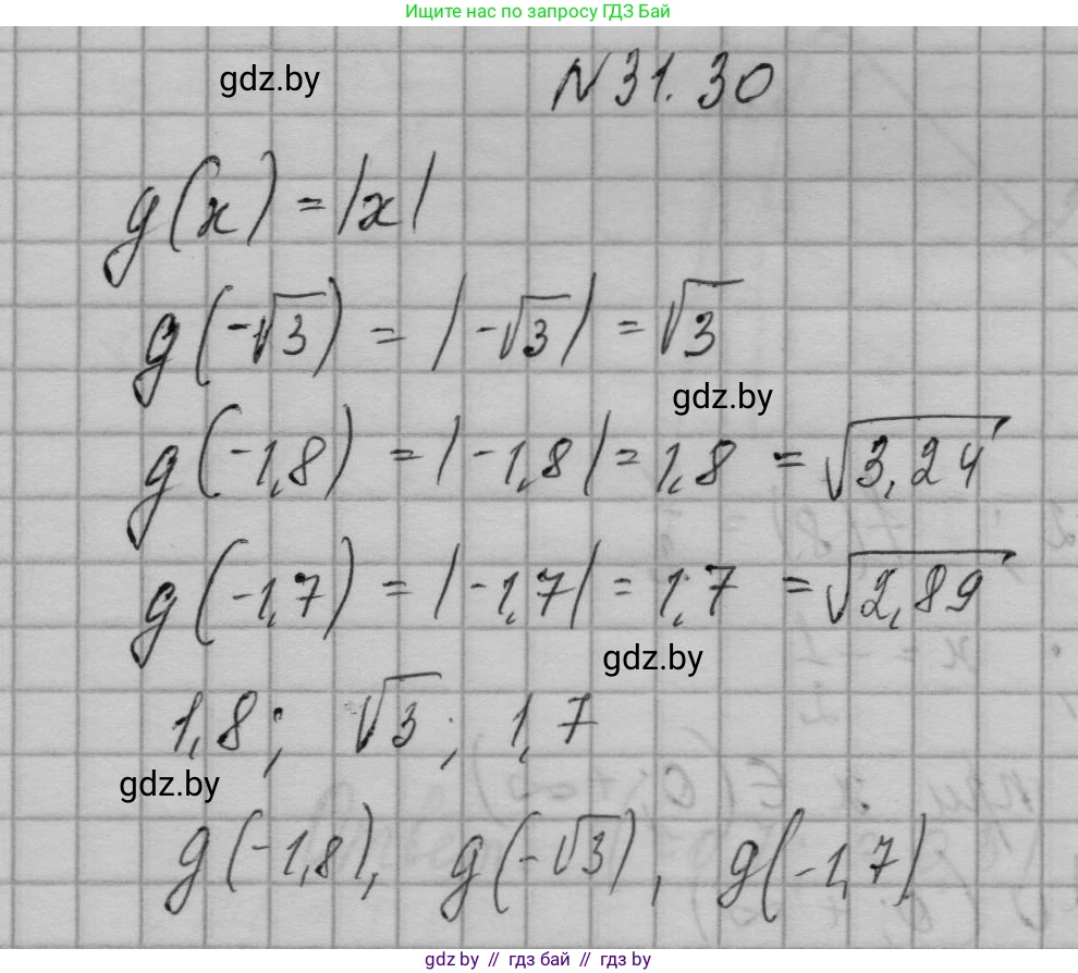
31.30. Дана функция $g(x) = |x|$. Расположите в порядке убывания значения функции: $g(-\sqrt{3}); g(-1,8); g(-1,7)$.
Решение. №31.30 (с. 149)
Решение 2. №31.30 (с. 149)
Для того чтобы расположить значения функции $g(x) = |x|$ в порядке убывания, необходимо сначала вычислить эти значения для каждого из заданных аргументов.
1. Вычислим значение $g(-\sqrt{3})$:
По определению модуля (абсолютной величины), $g(-\sqrt{3}) = |-\sqrt{3}| = \sqrt{3}$.
2. Вычислим значение $g(-1,8)$:
$g(-1,8) = |-1,8| = 1,8$.
3. Вычислим значение $g(-1,7)$:
$g(-1,7) = |-1,7| = 1,7$.
Теперь нам нужно сравнить полученные числовые значения: $\sqrt{3}$, $1,8$ и $1,7$. Для того чтобы сравнить эти числа, можно возвести их в квадрат, так как все они положительны.
Сравним $1,8$ и $\sqrt{3}$:
$(1,8)^2 = 3,24$
$(\sqrt{3})^2 = 3$
Так как $3,24 > 3$, то $1,8 > \sqrt{3}$.
Сравним $\sqrt{3}$ и $1,7$:
$(\sqrt{3})^2 = 3$
$(1,7)^2 = 2,89$
Так как $3 > 2,89$, то $\sqrt{3} > 1,7$.
Объединяя результаты сравнений, получаем следующую последовательность: $1,8 > \sqrt{3} > 1,7$.
Соответственно, значения функции в порядке убывания (от наибольшего к наименьшему) располагаются следующим образом: $g(-1,8)$, $g(-\sqrt{3})$, $g(-1,7)$.
Ответ: $g(-1,8); g(-\sqrt{3}); g(-1,7)$.
Другие задания:
Помогло решение? Оставьте отзыв в комментариях ниже.
Присоединяйтесь к Телеграм-группе @gdz_by_belarus
ПрисоединитьсяМы подготовили для вас ответ c подробным объяснением домашего задания по алгебре за 7-9 класс, для упражнения номер 31.30 расположенного на странице 149 к сборнику задач 2020 года издания для учащихся школ и гимназий.
Теперь на нашем сайте ГДЗ.ТОП вы всегда легко и бесплатно найдёте условие с правильным ответом на вопрос «Как решить ДЗ» и «Как сделать» задание по алгебре к упражнению №31.30 (с. 149), авторов: Арефьева (Ирина Глебовна), Пирютко (Ольга Николаевна), учебного пособия издательства Народная асвета.