Номер 1.116, страница 28 - гдз по алгебре 7 класс учебник Арефьева, Пирютко

Алгебра, 7 класс Учебник, авторы: Арефьева Ирина Глебовна, Пирютко Ольга Николаевна, издательство Народная асвета, Минск, 2022, зелёного цвета

Авторы: Арефьева И. Г., Пирютко О. Н.

Тип: Учебник

Издательство: Народная асвета

Год издания: 2022 - 2025

Цвет обложки: зелёный с графиком

ISBN: ISBN 978-985-03-3770-2

Допущено Министерством образования Республики Беларусь

Популярные ГДЗ в 7 классе

Глава 1. Степень с натуральным и целым показателями. Параграф 2. Степень с целым показателем и ее свойства - номер 1.116, страница 28.

№1.116 (с. 28)
Условие. №1.116 (с. 28)
скриншот условия
Алгебра, 7 класс Учебник, авторы: Арефьева Ирина Глебовна, Пирютко Ольга Николаевна, издательство Народная асвета, Минск, 2022, зелёного цвета, страница 28, номер 1.116, Условие

1.116. Установите порядок действий и найдите значение выражения:

а) $(-10)^{-3} \cdot (0,2)^{-2};$

б) $-3^4 + 3^{-2};$

в) $-2^{-3} - 10^2;$

г) $(-\frac{4}{7})^{-1} + 4^{-2};$

д) $(-5)^{-2} + (-2)^{-4};$

е) $(-0,5)^{-4} - (-1)^{-7};$

ж) $10^{-3} - (-0,1)^{-3};$

з) $-5^{-2} + 5^3 - (-7)^0.$

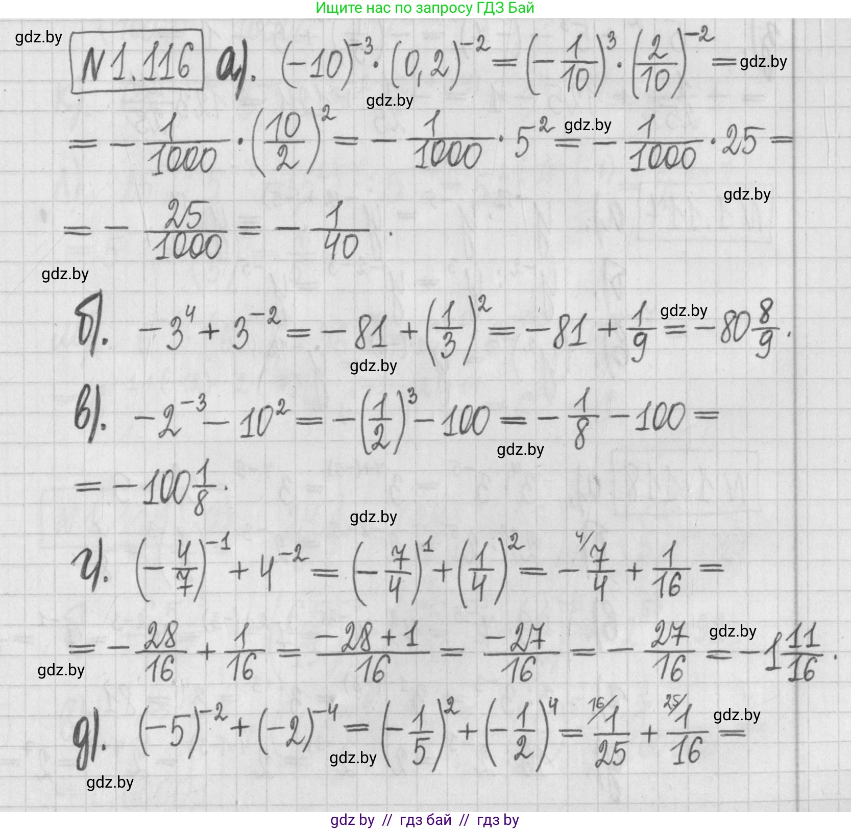
Решение. №1.116 (с. 28)
Алгебра, 7 класс Учебник, авторы: Арефьева Ирина Глебовна, Пирютко Ольга Николаевна, издательство Народная асвета, Минск, 2022, зелёного цвета, страница 28, номер 1.116, Решение Алгебра, 7 класс Учебник, авторы: Арефьева Ирина Глебовна, Пирютко Ольга Николаевна, издательство Народная асвета, Минск, 2022, зелёного цвета, страница 28, номер 1.116, Решение (продолжение 2)
Решение 2. №1.116 (с. 28)

Ниже представлено развернутое решение каждого пункта задачи с установлением порядка действий и нахождением значения выражений.

a) $(-10)^{-3} \cdot (0,2)^{-2}$

Порядок действий:

  1. Возвести в степень $(-10)^{-3}$.
  2. Возвести в степень $(0,2)^{-2}$.
  3. Перемножить результаты.

Решение:

1. $(-10)^{-3} = \frac{1}{(-10)^3} = \frac{1}{-1000} = -0,001$

2. Сначала преобразуем десятичную дробь в обыкновенную: $0,2 = \frac{2}{10} = \frac{1}{5}$.

$(0,2)^{-2} = (\frac{1}{5})^{-2} = 5^2 = 25$

3. $(-0,001) \cdot 25 = -0,025$. Или в дробях: $(-\frac{1}{1000}) \cdot 25 = -\frac{25}{1000} = -\frac{1}{40}$.

Ответ: $-\frac{1}{40}$

б) $-3^4 + 3^{-2}$

Порядок действий:

  1. Возвести в степень $3^4$ и учесть знак минус перед выражением.
  2. Возвести в степень $3^{-2}$.
  3. Сложить результаты.

Решение:

1. $-3^4 = -(3 \cdot 3 \cdot 3 \cdot 3) = -81$

2. $3^{-2} = \frac{1}{3^2} = \frac{1}{9}$

3. $-81 + \frac{1}{9} = -80 - 1 + \frac{1}{9} = -80 - \frac{9}{9} + \frac{1}{9} = -80 - \frac{8}{9} = -80\frac{8}{9}$

Ответ: $-80\frac{8}{9}$

в) $-2^{-3} - 10^2$

Порядок действий:

  1. Возвести в степень $2^{-3}$ и учесть знак минус.
  2. Возвести в степень $10^2$.
  3. Вычесть из первого результата второй.

Решение:

1. $-2^{-3} = -\frac{1}{2^3} = -\frac{1}{8}$

2. $10^2 = 100$

3. $-\frac{1}{8} - 100 = -100\frac{1}{8}$

Ответ: $-100\frac{1}{8}$

г) $(-\frac{4}{7})^{-1} + 4^{-2}$

Порядок действий:

  1. Возвести в степень $(-\frac{4}{7})^{-1}$.
  2. Возвести в степень $4^{-2}$.
  3. Сложить результаты.

Решение:

1. $(-\frac{4}{7})^{-1} = -\frac{7}{4}$

2. $4^{-2} = \frac{1}{4^2} = \frac{1}{16}$

3. $-\frac{7}{4} + \frac{1}{16} = -\frac{7 \cdot 4}{16} + \frac{1}{16} = -\frac{28}{16} + \frac{1}{16} = -\frac{27}{16} = -1\frac{11}{16}$

Ответ: $-1\frac{11}{16}$

д) $(-5)^{-2} + (-2)^{-4}$

Порядок действий:

  1. Возвести в степень $(-5)^{-2}$.
  2. Возвести в степень $(-2)^{-4}$.
  3. Сложить результаты.

Решение:

1. $(-5)^{-2} = \frac{1}{(-5)^2} = \frac{1}{25}$

2. $(-2)^{-4} = \frac{1}{(-2)^4} = \frac{1}{16}$

3. $\frac{1}{25} + \frac{1}{16} = \frac{16}{400} + \frac{25}{400} = \frac{16+25}{400} = \frac{41}{400}$

Ответ: $\frac{41}{400}$

е) $(-0,5)^{-4} - (-1)^{-7}$

Порядок действий:

  1. Возвести в степень $(-0,5)^{-4}$.
  2. Возвести в степень $(-1)^{-7}$.
  3. Вычесть из первого результата второй.

Решение:

1. $(-0,5)^{-4} = (-\frac{1}{2})^{-4} = (-2)^4 = 16$

2. $(-1)^{-7} = \frac{1}{(-1)^7} = \frac{1}{-1} = -1$

3. $16 - (-1) = 16 + 1 = 17$

Ответ: 17

ж) $10^{-3} - (-0,1)^{-3}$

Порядок действий:

  1. Возвести в степень $10^{-3}$.
  2. Возвести в степень $(-0,1)^{-3}$.
  3. Вычесть из первого результата второй.

Решение:

1. $10^{-3} = \frac{1}{10^3} = \frac{1}{1000}$

2. $(-0,1)^{-3} = (-\frac{1}{10})^{-3} = (-10)^3 = -1000$

3. $\frac{1}{1000} - (-1000) = \frac{1}{1000} + 1000 = 1000\frac{1}{1000}$

Ответ: $1000\frac{1}{1000}$

з) $-5^{-2} + 5^3 - (-7)^0$

Порядок действий:

  1. Возвести в степень $5^{-2}$ и учесть знак минус.
  2. Возвести в степень $5^3$.
  3. Возвести в степень $(-7)^0$.
  4. Выполнить сложение и вычитание в порядке их следования.

Решение:

1. $-5^{-2} = -\frac{1}{5^2} = -\frac{1}{25}$

2. $5^3 = 125$

3. $(-7)^0 = 1$ (любое ненулевое число в степени 0 равно 1)

4. $-\frac{1}{25} + 125 - 1 = 124 - \frac{1}{25} = 123 + 1 - \frac{1}{25} = 123 + \frac{25-1}{25} = 123\frac{24}{25}$

Ответ: $123\frac{24}{25}$

Помогло решение? Оставьте отзыв в комментариях ниже.

Присоединяйтесь к Телеграм-группе @gdz_by_belarus

Присоединиться

Мы подготовили для вас ответ c подробным объяснением домашего задания по алгебре за 7 класс, для упражнения номер 1.116 расположенного на странице 28 к учебнику 2022 года издания для учащихся школ и гимназий.

Теперь на нашем сайте ГДЗ.ТОП вы всегда легко и бесплатно найдёте условие с правильным ответом на вопрос «Как решить ДЗ» и «Как сделать» задание по алгебре к упражнению №1.116 (с. 28), авторов: Арефьева (Ирина Глебовна), Пирютко (Ольга Николаевна), учебного пособия издательства Народная асвета.