Номер 1.142, страница 31 - гдз по алгебре 7 класс учебник Арефьева, Пирютко

Алгебра, 7 класс Учебник, авторы: Арефьева Ирина Глебовна, Пирютко Ольга Николаевна, издательство Народная асвета, Минск, 2022, зелёного цвета

Авторы: Арефьева И. Г., Пирютко О. Н.

Тип: Учебник

Издательство: Народная асвета

Год издания: 2022 - 2025

Цвет обложки: зелёный с графиком

ISBN: ISBN 978-985-03-3770-2

Допущено Министерством образования Республики Беларусь

Популярные ГДЗ в 7 классе

Глава 1. Степень с натуральным и целым показателями. Параграф 2. Степень с целым показателем и ее свойства - номер 1.142, страница 31.

№1.142 (с. 31)
Условие. №1.142 (с. 31)
скриншот условия
Алгебра, 7 класс Учебник, авторы: Арефьева Ирина Глебовна, Пирютко Ольга Николаевна, издательство Народная асвета, Минск, 2022, зелёного цвета, страница 31, номер 1.142, Условие

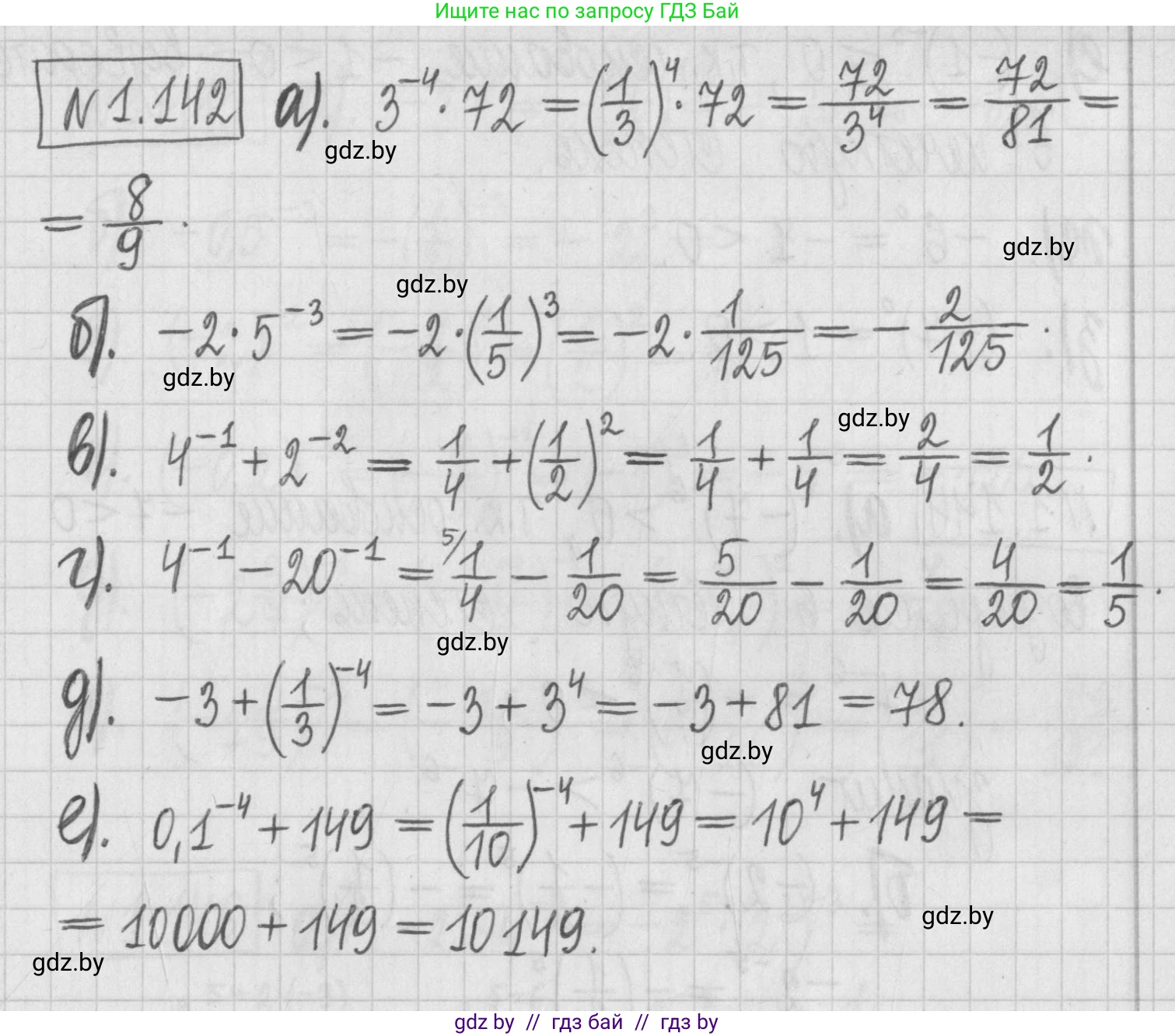
1.142. Вычислите:

а) $3^{-4} \cdot 72$

б) $-2 \cdot 5^{-3}$

в) $4^{-1} + 2^{-2}$

г) $4^{-1} - 20^{-1}$

д) $-3 + \left(\frac{1}{3}\right)^{-4}$

е) $0,1^{-4} + 149$

Решение. №1.142 (с. 31)
Алгебра, 7 класс Учебник, авторы: Арефьева Ирина Глебовна, Пирютко Ольга Николаевна, издательство Народная асвета, Минск, 2022, зелёного цвета, страница 31, номер 1.142, Решение
Решение 2. №1.142 (с. 31)

а) $3^{-4} \cdot 72$

Для вычисления данного выражения воспользуемся свойством степени с отрицательным показателем: $a^{-n} = \frac{1}{a^n}$.

Применим это свойство для $3^{-4}$:

$3^{-4} = \frac{1}{3^4} = \frac{1}{3 \cdot 3 \cdot 3 \cdot 3} = \frac{1}{81}$

Теперь умножим полученный результат на 72:

$\frac{1}{81} \cdot 72 = \frac{72}{81}$

Сократим полученную дробь. Наибольший общий делитель для 72 и 81 это 9:

$\frac{72 \div 9}{81 \div 9} = \frac{8}{9}$

Ответ: $\frac{8}{9}$

б) $-2 \cdot 5^{-3}$

Используем свойство степени с отрицательным показателем $a^{-n} = \frac{1}{a^n}$ для $5^{-3}$:

$5^{-3} = \frac{1}{5^3} = \frac{1}{5 \cdot 5 \cdot 5} = \frac{1}{125}$

Теперь подставим это значение в исходное выражение:

$-2 \cdot \frac{1}{125} = -\frac{2}{125}$

Ответ: $-\frac{2}{125}$

в) $4^{-1} + 2^{-2}$

Преобразуем каждое слагаемое, используя свойство $a^{-n} = \frac{1}{a^n}$:

$4^{-1} = \frac{1}{4^1} = \frac{1}{4}$

$2^{-2} = \frac{1}{2^2} = \frac{1}{4}$

Теперь сложим полученные дроби:

$\frac{1}{4} + \frac{1}{4} = \frac{1+1}{4} = \frac{2}{4}$

Сократим дробь:

$\frac{2}{4} = \frac{1}{2}$

Ответ: $\frac{1}{2}$

г) $4^{-1} - 20^{-1}$

Преобразуем степени с отрицательным показателем:

$4^{-1} = \frac{1}{4}$

$20^{-1} = \frac{1}{20}$

Теперь выполним вычитание. Для этого приведем дроби к общему знаменателю, который равен 20:

$\frac{1}{4} - \frac{1}{20} = \frac{1 \cdot 5}{4 \cdot 5} - \frac{1}{20} = \frac{5}{20} - \frac{1}{20} = \frac{5-1}{20} = \frac{4}{20}$

Сократим полученную дробь:

$\frac{4}{20} = \frac{1}{5}$

Ответ: $\frac{1}{5}$

д) $-3 + (\frac{1}{3})^{-4}$

Для вычисления второго слагаемого воспользуемся свойством $(\frac{a}{b})^{-n} = (\frac{b}{a})^n$:

$(\frac{1}{3})^{-4} = (\frac{3}{1})^4 = 3^4 = 81$

Теперь подставим полученное значение в исходное выражение:

$-3 + 81 = 78$

Ответ: $78$

е) $0,1^{-4} + 149$

Сначала представим десятичную дробь $0,1$ в виде обыкновенной дроби: $0,1 = \frac{1}{10}$.

Теперь применим свойство $(\frac{a}{b})^{-n} = (\frac{b}{a})^n$:

$(\frac{1}{10})^{-4} = (\frac{10}{1})^4 = 10^4 = 10000$

Подставим полученное значение обратно в выражение и выполним сложение:

$10000 + 149 = 10149$

Ответ: $10149$

Помогло решение? Оставьте отзыв в комментариях ниже.

Присоединяйтесь к Телеграм-группе @gdz_by_belarus

Присоединиться

Мы подготовили для вас ответ c подробным объяснением домашего задания по алгебре за 7 класс, для упражнения номер 1.142 расположенного на странице 31 к учебнику 2022 года издания для учащихся школ и гимназий.

Теперь на нашем сайте ГДЗ.ТОП вы всегда легко и бесплатно найдёте условие с правильным ответом на вопрос «Как решить ДЗ» и «Как сделать» задание по алгебре к упражнению №1.142 (с. 31), авторов: Арефьева (Ирина Глебовна), Пирютко (Ольга Николаевна), учебного пособия издательства Народная асвета.