Номер 4.130, страница 289 - гдз по алгебре 7 класс учебник Арефьева, Пирютко

Алгебра, 7 класс Учебник, авторы: Арефьева Ирина Глебовна, Пирютко Ольга Николаевна, издательство Народная асвета, Минск, 2022, зелёного цвета

Авторы: Арефьева И. Г., Пирютко О. Н.

Тип: Учебник

Издательство: Народная асвета

Год издания: 2022 - 2025

Цвет обложки: зелёный с графиком

ISBN: ISBN 978-985-03-3770-2

Допущено Министерством образования Республики Беларусь

Популярные ГДЗ в 7 классе

Глава 4. Системы двух линейных уравнений с двумя переменными. Параграф 24. Способы решения системы линейных уравнений с двумя переменными - номер 4.130, страница 289.

№4.130 (с. 289)
Условие. №4.130 (с. 289)
скриншот условия
Алгебра, 7 класс Учебник, авторы: Арефьева Ирина Глебовна, Пирютко Ольга Николаевна, издательство Народная асвета, Минск, 2022, зелёного цвета, страница 289, номер 4.130, Условие

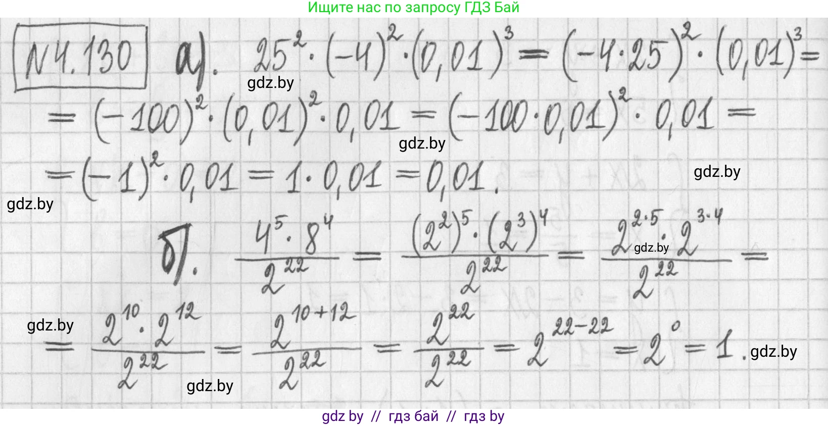
4.130. Вычислите:

а) $25^2 \cdot (-4)^2 \cdot (0.01)^3$;

б) $\frac{4^5 \cdot 8^4}{2^{22}}$.

Решение. №4.130 (с. 289)
Алгебра, 7 класс Учебник, авторы: Арефьева Ирина Глебовна, Пирютко Ольга Николаевна, издательство Народная асвета, Минск, 2022, зелёного цвета, страница 289, номер 4.130, Решение
Решение 2. №4.130 (с. 289)

а) $25^2 \cdot (-4)^2 \cdot (0,01)^3$

Для решения данного примера воспользуемся свойствами степеней.

1. Заметим, что $(-4)^2 = 4^2$, так как четная степень отрицательного числа является положительным числом.
Выражение принимает вид:
$25^2 \cdot 4^2 \cdot (0,01)^3$

2. Используем свойство степени $(a \cdot b)^n = a^n \cdot b^n$ для первых двух множителей:
$25^2 \cdot 4^2 = (25 \cdot 4)^2 = 100^2$

3. Представим все числа в виде степеней 10:
$100 = 10^2$
$0,01 = 10^{-2}$

4. Подставим эти значения в выражение:
$100^2 \cdot (0,01)^3 = (10^2)^2 \cdot (10^{-2})^3$

5. Применим свойство степени $(a^m)^n = a^{m \cdot n}$:
$(10^2)^2 = 10^{2 \cdot 2} = 10^4$
$(10^{-2})^3 = 10^{-2 \cdot 3} = 10^{-6}$

6. Теперь перемножим полученные степени, используя свойство $a^m \cdot a^n = a^{m+n}$:
$10^4 \cdot 10^{-6} = 10^{4 + (-6)} = 10^{4-6} = 10^{-2}$

7. Преобразуем результат в десятичную дробь:
$10^{-2} = \frac{1}{10^2} = \frac{1}{100} = 0,01$

Ответ: 0,01


б) $\frac{4^5 \cdot 8^4}{2^{22}}$

Для решения приведем все степени к одному основанию — 2.

1. Представим числа 4 и 8 как степени числа 2:
$4 = 2^2$
$8 = 2^3$

2. Подставим эти значения в исходное выражение:
$\frac{(2^2)^5 \cdot (2^3)^4}{2^{22}}$

3. Упростим числитель, используя свойство степени $(a^m)^n = a^{m \cdot n}$:
$(2^2)^5 = 2^{2 \cdot 5} = 2^{10}$
$(2^3)^4 = 2^{3 \cdot 4} = 2^{12}$
Выражение примет вид:
$\frac{2^{10} \cdot 2^{12}}{2^{22}}$

4. Перемножим степени в числителе, используя свойство $a^m \cdot a^n = a^{m+n}$:
$2^{10} \cdot 2^{12} = 2^{10+12} = 2^{22}$
Теперь дробь выглядит так:
$\frac{2^{22}}{2^{22}}$

5. Разделим числитель на знаменатель. Любое число (кроме нуля), деленное само на себя, равно 1. Или, используя свойство $\frac{a^m}{a^n} = a^{m-n}$:
$\frac{2^{22}}{2^{22}} = 2^{22-22} = 2^0 = 1$

Ответ: 1

Помогло решение? Оставьте отзыв в комментариях ниже.

Присоединяйтесь к Телеграм-группе @gdz_by_belarus

Присоединиться

Мы подготовили для вас ответ c подробным объяснением домашего задания по алгебре за 7 класс, для упражнения номер 4.130 расположенного на странице 289 к учебнику 2022 года издания для учащихся школ и гимназий.

Теперь на нашем сайте ГДЗ.ТОП вы всегда легко и бесплатно найдёте условие с правильным ответом на вопрос «Как решить ДЗ» и «Как сделать» задание по алгебре к упражнению №4.130 (с. 289), авторов: Арефьева (Ирина Глебовна), Пирютко (Ольга Николаевна), учебного пособия издательства Народная асвета.