Номер 2.169, страница 88 - гдз по алгебре 7 класс учебник Арефьева, Пирютко

Алгебра, 7 класс Учебник, авторы: Арефьева Ирина Глебовна, Пирютко Ольга Николаевна, издательство Народная асвета, Минск, 2022, зелёного цвета

Авторы: Арефьева И. Г., Пирютко О. Н.

Тип: Учебник

Издательство: Народная асвета

Год издания: 2022 - 2025

Цвет обложки: зелёный с графиком

ISBN: ISBN 978-985-03-3770-2

Допущено Министерством образования Республики Беларусь

Популярные ГДЗ в 7 классе

Глава 2. Выражения и их преобразования. Параграф 9. Сложение и вычитание многочленов - номер 2.169, страница 88.

№2.169 (с. 88)
Условие. №2.169 (с. 88)
скриншот условия
Алгебра, 7 класс Учебник, авторы: Арефьева Ирина Глебовна, Пирютко Ольга Николаевна, издательство Народная асвета, Минск, 2022, зелёного цвета, страница 88, номер 2.169, Условие

2.169. Раскройте скобки и приведите подобные слагаемые:

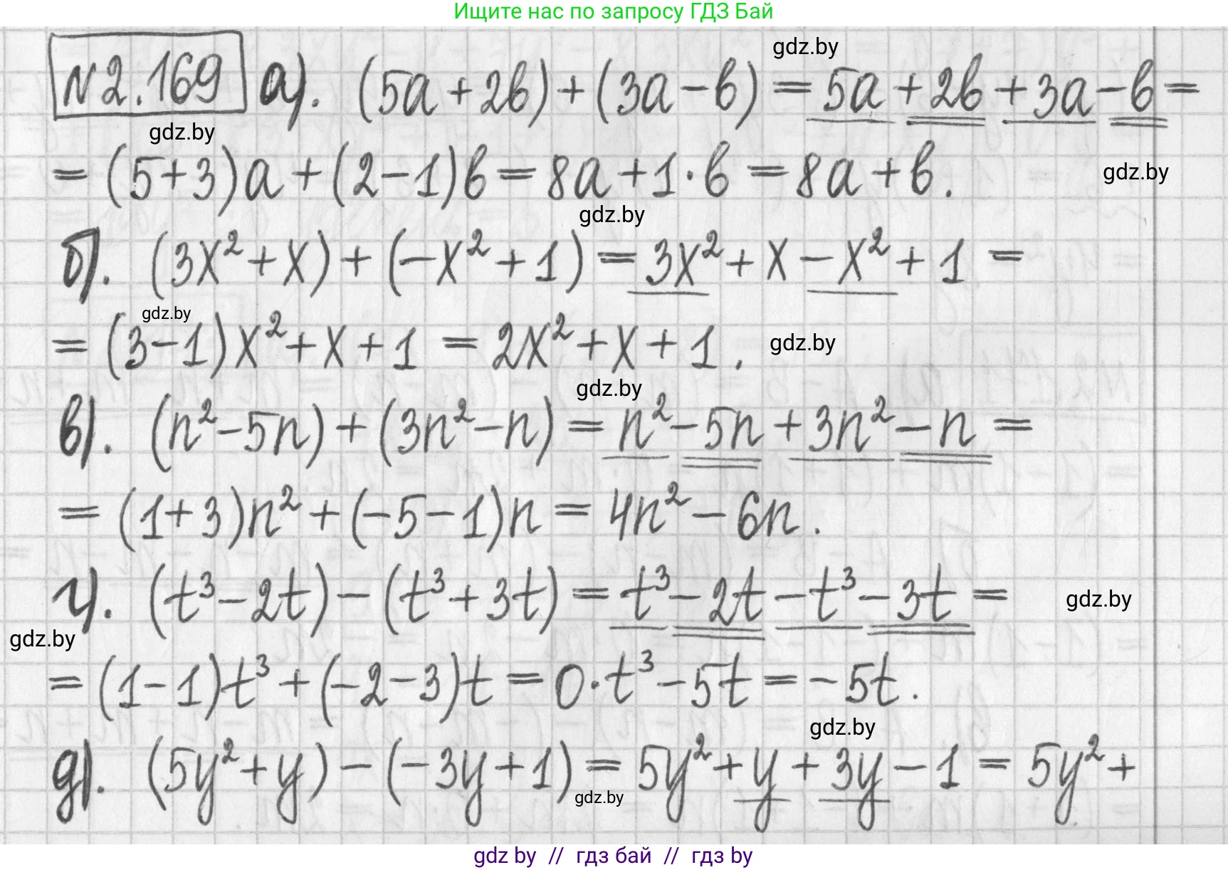
а) $(5a + 2b) + (3a - b)$;

б) $(3x^2 + x) + (-x^2 + 1)$;

в) $(n^2 - 5n) + (3n^2 - n)$;

г) $(t^3 - 2t) - (t^3 + 3t)$;

д) $(5y^2 + y) - (-3y + 1)$;

е) $(2a^4 - 9bc) - (-6a^4 - 9bc).$

Решение. №2.169 (с. 88)
Алгебра, 7 класс Учебник, авторы: Арефьева Ирина Глебовна, Пирютко Ольга Николаевна, издательство Народная асвета, Минск, 2022, зелёного цвета, страница 88, номер 2.169, Решение Алгебра, 7 класс Учебник, авторы: Арефьева Ирина Глебовна, Пирютко Ольга Николаевна, издательство Народная асвета, Минск, 2022, зелёного цвета, страница 88, номер 2.169, Решение (продолжение 2)
Решение 2. №2.169 (с. 88)

а) $(5a + 2b) + (3a - b)$
Для решения раскроем скобки и сгруппируем подобные слагаемые:
$(5a + 2b) + (3a - b) = 5a + 2b + 3a - b = (5a + 3a) + (2b - b) = 8a + b$.
Ответ: $8a + b$.

б) $(3x^2 + x) + (-x^2 + 1)$
Раскрываем скобки и приводим подобные слагаемые:
$(3x^2 + x) + (-x^2 + 1) = 3x^2 + x - x^2 + 1 = (3x^2 - x^2) + x + 1 = 2x^2 + x + 1$.
Ответ: $2x^2 + x + 1$.

в) $(n^2 - 5n) + (3n^2 - n)$
Раскрываем скобки и приводим подобные слагаемые:
$(n^2 - 5n) + (3n^2 - n) = n^2 - 5n + 3n^2 - n = (n^2 + 3n^2) + (-5n - n) = 4n^2 - 6n$.
Ответ: $4n^2 - 6n$.

г) $(t^3 - 2t) - (t^3 + 3t)$
При раскрытии второй скобки меняем знаки на противоположные, так как перед ней стоит минус:
$(t^3 - 2t) - (t^3 + 3t) = t^3 - 2t - t^3 - 3t = (t^3 - t^3) + (-2t - 3t) = -5t$.
Ответ: $-5t$.

д) $(5y^2 + y) - (-3y + 1)$
Раскрываем скобки, меняя знаки во второй скобке, и приводим подобные слагаемые:
$(5y^2 + y) - (-3y + 1) = 5y^2 + y + 3y - 1 = 5y^2 + (y + 3y) - 1 = 5y^2 + 4y - 1$.
Ответ: $5y^2 + 4y - 1$.

е) $(2a^4 - 9bc) - (-6a^4 - 9bc)$
Раскрываем скобки с учётом знака минус и приводим подобные слагаемые:
$(2a^4 - 9bc) - (-6a^4 - 9bc) = 2a^4 - 9bc + 6a^4 + 9bc = (2a^4 + 6a^4) + (-9bc + 9bc) = 8a^4$.
Ответ: $8a^4$.

Помогло решение? Оставьте отзыв в комментариях ниже.

Присоединяйтесь к Телеграм-группе @gdz_by_belarus

Присоединиться

Мы подготовили для вас ответ c подробным объяснением домашего задания по алгебре за 7 класс, для упражнения номер 2.169 расположенного на странице 88 к учебнику 2022 года издания для учащихся школ и гимназий.

Теперь на нашем сайте ГДЗ.ТОП вы всегда легко и бесплатно найдёте условие с правильным ответом на вопрос «Как решить ДЗ» и «Как сделать» задание по алгебре к упражнению №2.169 (с. 88), авторов: Арефьева (Ирина Глебовна), Пирютко (Ольга Николаевна), учебного пособия издательства Народная асвета.