Номер 2.252, страница 103 - гдз по алгебре 7 класс учебник Арефьева, Пирютко

Алгебра, 7 класс Учебник, авторы: Арефьева Ирина Глебовна, Пирютко Ольга Николаевна, издательство Народная асвета, Минск, 2022, зелёного цвета

Авторы: Арефьева И. Г., Пирютко О. Н.

Тип: Учебник

Издательство: Народная асвета

Год издания: 2022 - 2025

Цвет обложки: зелёный с графиком

ISBN: ISBN 978-985-03-3770-2

Допущено Министерством образования Республики Беларусь

Популярные ГДЗ в 7 классе

Глава 2. Выражения и их преобразования. Параграф 11. Умножение многочленов - номер 2.252, страница 103.

№2.252 (с. 103)
Условие. №2.252 (с. 103)
скриншот условия
Алгебра, 7 класс Учебник, авторы: Арефьева Ирина Глебовна, Пирютко Ольга Николаевна, издательство Народная асвета, Минск, 2022, зелёного цвета, страница 103, номер 2.252, Условие

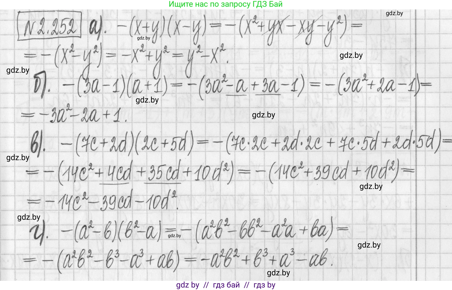
2.252. Преобразуйте в многочлен:

а) $ -(x+y)(x-y); $

б) $ -(3a-1)(a+1); $

В) $ -(7c+2d)(2c+5d); $

Г) $ -(a^2-b)(b^2-a). $

Решение. №2.252 (с. 103)
Алгебра, 7 класс Учебник, авторы: Арефьева Ирина Глебовна, Пирютко Ольга Николаевна, издательство Народная асвета, Минск, 2022, зелёного цвета, страница 103, номер 2.252, Решение
Решение 2. №2.252 (с. 103)

а) $-(x + y)(x - y)$

Для преобразования данного выражения сначала воспользуемся формулой сокращенного умножения "разность квадратов": $(a+b)(a-b) = a^2 - b^2$.

Применим эту формулу к выражению в скобках:

$(x + y)(x - y) = x^2 - y^2$

Теперь учтем знак минуса, стоящий перед скобками. Для этого нужно раскрыть скобки, поменяв знаки каждого слагаемого на противоположные:

$-(x^2 - y^2) = -x^2 + y^2$

Для стандартной записи многочлена можно поменять слагаемые местами:

$y^2 - x^2$

Ответ: $y^2 - x^2$

б) $-(3a - 1)(a + 1)$

Сначала выполним умножение двух многочленов в скобках, перемножив каждый член первого многочлена на каждый член второго:

$(3a - 1)(a + 1) = 3a \cdot a + 3a \cdot 1 - 1 \cdot a - 1 \cdot 1 = 3a^2 + 3a - a - 1$

Приведем подобные слагаемые в полученном выражении:

$3a^2 + (3a - a) - 1 = 3a^2 + 2a - 1$

Теперь раскроем скобки, учитывая знак минуса перед ними:

$-(3a^2 + 2a - 1) = -3a^2 - 2a + 1$

Ответ: $-3a^2 - 2a + 1$

в) $-(7c + 2d)(2c + 5d)$

Сначала перемножим многочлены в скобках:

$(7c + 2d)(2c + 5d) = 7c \cdot 2c + 7c \cdot 5d + 2d \cdot 2c + 2d \cdot 5d$

Выполним умножение:

$14c^2 + 35cd + 4dc + 10d^2$

Приведем подобные слагаемые ($35cd$ и $4dc$, так как $dc=cd$):

$14c^2 + (35cd + 4cd) + 10d^2 = 14c^2 + 39cd + 10d^2$

Теперь раскроем скобки, учитывая знак минуса:

$-(14c^2 + 39cd + 10d^2) = -14c^2 - 39cd - 10d^2$

Ответ: $-14c^2 - 39cd - 10d^2$

г) $-(a^2 - b)(b^2 - a)$

Сначала перемножим многочлены в скобках:

$(a^2 - b)(b^2 - a) = a^2 \cdot b^2 + a^2 \cdot (-a) - b \cdot b^2 - b \cdot (-a)$

Выполним умножение:

$a^2b^2 - a^3 - b^3 + ab$

Подобных слагаемых в этом выражении нет. Теперь раскроем скобки, поменяв знаки всех членов многочлена на противоположные:

$-(a^2b^2 - a^3 - b^3 + ab) = -a^2b^2 + a^3 + b^3 - ab$

Расположим члены многочлена в стандартном порядке (например, по убыванию степеней переменной $a$):

$a^3 - a^2b^2 - ab + b^3$

Ответ: $a^3 - a^2b^2 - ab + b^3$

Помогло решение? Оставьте отзыв в комментариях ниже.

Присоединяйтесь к Телеграм-группе @gdz_by_belarus

Присоединиться

Мы подготовили для вас ответ c подробным объяснением домашего задания по алгебре за 7 класс, для упражнения номер 2.252 расположенного на странице 103 к учебнику 2022 года издания для учащихся школ и гимназий.

Теперь на нашем сайте ГДЗ.ТОП вы всегда легко и бесплатно найдёте условие с правильным ответом на вопрос «Как решить ДЗ» и «Как сделать» задание по алгебре к упражнению №2.252 (с. 103), авторов: Арефьева (Ирина Глебовна), Пирютко (Ольга Николаевна), учебного пособия издательства Народная асвета.