Номер 2.326, страница 119 - гдз по алгебре 7 класс учебник Арефьева, Пирютко

Алгебра, 7 класс Учебник, авторы: Арефьева Ирина Глебовна, Пирютко Ольга Николаевна, издательство Народная асвета, Минск, 2022, зелёного цвета

Авторы: Арефьева И. Г., Пирютко О. Н.

Тип: Учебник

Издательство: Народная асвета

Год издания: 2022 - 2025

Цвет обложки: зелёный с графиком

ISBN: ISBN 978-985-03-3770-2

Допущено Министерством образования Республики Беларусь

Популярные ГДЗ в 7 классе

Глава 2. Выражения и их преобразования. Параграф 13. Формулы сокращенного умножения: произведение суммы и разности двух выражений - номер 2.326, страница 119.

№2.326 (с. 119)
Условие. №2.326 (с. 119)
скриншот условия
Алгебра, 7 класс Учебник, авторы: Арефьева Ирина Глебовна, Пирютко Ольга Николаевна, издательство Народная асвета, Минск, 2022, зелёного цвета, страница 119, номер 2.326, Условие

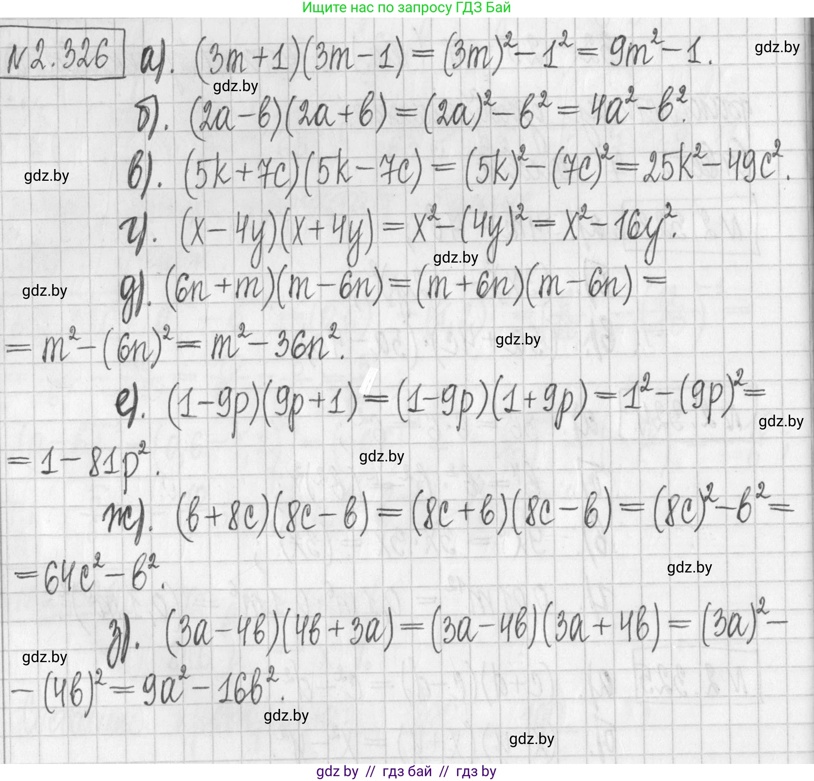
2.326. Представьте в виде многочлена:

a) $(3m + 1)(3m - 1)$;

б) $(2a - b)(2a + b);$

в) $(5k + 7c)(5k - 7c);$

г) $(x - 4y)(x + 4y);$

д) $(6n + m)(m - 6n);$

е) $(1 - 9p)(9p + 1);$

ж) $(b + 8c)(8c - b);$

з) $(3a - 4b)(4b + 3a).$

Решение. №2.326 (с. 119)
Алгебра, 7 класс Учебник, авторы: Арефьева Ирина Глебовна, Пирютко Ольга Николаевна, издательство Народная асвета, Минск, 2022, зелёного цвета, страница 119, номер 2.326, Решение
Решение 2. №2.326 (с. 119)

Для решения всех пунктов этого задания используется формула сокращенного умножения, известная как "разность квадратов":

$ (A + B)(A - B) = A^2 - B^2 $


а) $(3m + 1)(3m - 1)$

В этом выражении $A = 3m$ и $B = 1$. Применяем формулу разности квадратов:

$(3m + 1)(3m - 1) = (3m)^2 - 1^2 = 9m^2 - 1$.

Ответ: $9m^2 - 1$.

б) $(2a - b)(2a + b)$

Здесь $A = 2a$ и $B = b$. Применяем формулу:

$(2a - b)(2a + b) = (2a)^2 - b^2 = 4a^2 - b^2$.

Ответ: $4a^2 - b^2$.

в) $(5k + 7c)(5k - 7c)$

Здесь $A = 5k$ и $B = 7c$. Применяем формулу:

$(5k + 7c)(5k - 7c) = (5k)^2 - (7c)^2 = 25k^2 - 49c^2$.

Ответ: $25k^2 - 49c^2$.

г) $(x - 4y)(x + 4y)$

Здесь $A = x$ и $B = 4y$. Применяем формулу:

$(x - 4y)(x + 4y) = x^2 - (4y)^2 = x^2 - 16y^2$.

Ответ: $x^2 - 16y^2$.

д) $(6n + m)(m - 6n)$

Чтобы применить формулу, переставим слагаемые в скобках: $(m + 6n)(m - 6n)$. Теперь $A = m$ и $B = 6n$.

$(m + 6n)(m - 6n) = m^2 - (6n)^2 = m^2 - 36n^2$.

Ответ: $m^2 - 36n^2$.

е) $(1 - 9p)(9p + 1)$

Переставим слагаемые во второй скобке, чтобы привести выражение к стандартному виду: $(1 - 9p)(1 + 9p)$. Здесь $A = 1$ и $B = 9p$.

$(1 - 9p)(1 + 9p) = 1^2 - (9p)^2 = 1 - 81p^2$.

Ответ: $1 - 81p^2$.

ж) $(b + 8c)(8c - b)$

Переставим слагаемые в первой скобке: $(8c + b)(8c - b)$. Теперь $A = 8c$ и $B = b$.

$(8c + b)(8c - b) = (8c)^2 - b^2 = 64c^2 - b^2$.

Ответ: $64c^2 - b^2$.

з) $(3a - 4b)(4b + 3a)$

Переставим слагаемые во второй скобке: $(3a - 4b)(3a + 4b)$. Теперь $A = 3a$ и $B = 4b$.

$(3a - 4b)(3a + 4b) = (3a)^2 - (4b)^2 = 9a^2 - 16b^2$.

Ответ: $9a^2 - 16b^2$.

Помогло решение? Оставьте отзыв в комментариях ниже.

Присоединяйтесь к Телеграм-группе @gdz_by_belarus

Присоединиться

Мы подготовили для вас ответ c подробным объяснением домашего задания по алгебре за 7 класс, для упражнения номер 2.326 расположенного на странице 119 к учебнику 2022 года издания для учащихся школ и гимназий.

Теперь на нашем сайте ГДЗ.ТОП вы всегда легко и бесплатно найдёте условие с правильным ответом на вопрос «Как решить ДЗ» и «Как сделать» задание по алгебре к упражнению №2.326 (с. 119), авторов: Арефьева (Ирина Глебовна), Пирютко (Ольга Николаевна), учебного пособия издательства Народная асвета.