Номер 2.339, страница 121 - гдз по алгебре 7 класс учебник Арефьева, Пирютко

Алгебра, 7 класс Учебник, авторы: Арефьева Ирина Глебовна, Пирютко Ольга Николаевна, издательство Народная асвета, Минск, 2022, зелёного цвета

Авторы: Арефьева И. Г., Пирютко О. Н.

Тип: Учебник

Издательство: Народная асвета

Год издания: 2022 - 2025

Цвет обложки: зелёный с графиком

ISBN: ISBN 978-985-03-3770-2

Допущено Министерством образования Республики Беларусь

Популярные ГДЗ в 7 классе

Глава 2. Выражения и их преобразования. Параграф 13. Формулы сокращенного умножения: произведение суммы и разности двух выражений - номер 2.339, страница 121.

№2.339 (с. 121)
Условие. №2.339 (с. 121)
скриншот условия
Алгебра, 7 класс Учебник, авторы: Арефьева Ирина Глебовна, Пирютко Ольга Николаевна, издательство Народная асвета, Минск, 2022, зелёного цвета, страница 121, номер 2.339, Условие

2.339. Используя алгоритм, представьте в виде произведения разность квадратов выражений:

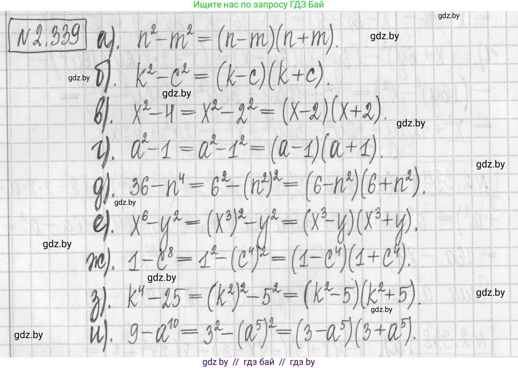
а) $n^2 - m^2$;

б) $k^2 - c^2$;

в) $x^2 - 4$;

г) $a^2 - 1$;

д) $36 - n^4$;

е) $x^6 - y^2$;

ж) $1 - c^8$;

з) $k^4 - 25$;

и) $9 - a^{10}$.

Решение. №2.339 (с. 121)
Алгебра, 7 класс Учебник, авторы: Арефьева Ирина Глебовна, Пирютко Ольга Николаевна, издательство Народная асвета, Минск, 2022, зелёного цвета, страница 121, номер 2.339, Решение
Решение 2. №2.339 (с. 121)

Для решения данной задачи используется формула разности квадратов, которая является одним из основных алгоритмов в алгебре:

$$ a^2 - b^2 = (a - b)(a + b) $$

Этот алгоритм применяется для представления каждого выражения в виде произведения двух множителей.

а) Дано выражение $n^2 - m^2$.
Это классический вид формулы разности квадратов, где в качестве $a$ выступает $n$, а в качестве $b$ выступает $m$.
Применяем формулу: $n^2 - m^2 = (n - m)(n + m)$.
Ответ: $(n - m)(n + m)$

б) Дано выражение $k^2 - c^2$.
Аналогично предыдущему пункту, это прямая форма разности квадратов, где $a = k$ и $b = c$.
Применяем формулу: $k^2 - c^2 = (k - c)(k + c)$.
Ответ: $(k - c)(k + c)$

в) Дано выражение $x^2 - 4$.
Чтобы применить формулу, представим число 4 как квадрат числа: $4 = 2^2$.
Выражение принимает вид: $x^2 - 2^2$.
Теперь это разность квадратов, где $a = x$ и $b = 2$.
Применяем формулу: $x^2 - 4 = (x - 2)(x + 2)$.
Ответ: $(x - 2)(x + 2)$

г) Дано выражение $a^2 - 1$.
Представим число 1 как квадрат самого себя: $1 = 1^2$.
Выражение принимает вид: $a^2 - 1^2$.
Здесь $a = a$ и $b = 1$.
Применяем формулу: $a^2 - 1 = (a - 1)(a + 1)$.
Ответ: $(a - 1)(a + 1)$

д) Дано выражение $36 - n^4$.
Представим каждый член выражения в виде квадрата: $36 = 6^2$ и $n^4 = (n^2)^2$.
Выражение принимает вид: $6^2 - (n^2)^2$.
Это разность квадратов, где $a = 6$ и $b = n^2$.
Применяем формулу: $36 - n^4 = (6 - n^2)(6 + n^2)$.
Ответ: $(6 - n^2)(6 + n^2)$

е) Дано выражение $x^6 - y^2$.
Представим $x^6$ в виде квадрата, используя свойство степеней $(a^m)^n = a^{mn}$: $x^6 = (x^3)^2$.
Выражение принимает вид: $(x^3)^2 - y^2$.
Это разность квадратов, где $a = x^3$ и $b = y$.
Применяем формулу: $x^6 - y^2 = (x^3 - y)(x^3 + y)$.
Ответ: $(x^3 - y)(x^3 + y)$

ж) Дано выражение $1 - c^8$.
Представим члены выражения в виде квадратов: $1 = 1^2$ и $c^8 = (c^4)^2$.
Выражение принимает вид: $1^2 - (c^4)^2$.
Применяем формулу: $1 - c^8 = (1 - c^4)(1 + c^4)$.
Заметим, что множитель $(1 - c^4)$ также является разностью квадратов: $1 - c^4 = 1^2 - (c^2)^2 = (1 - c^2)(1 + c^2)$.
В свою очередь, множитель $(1 - c^2)$ также раскладывается по этой же формуле: $1 - c^2 = (1 - c)(1 + c)$.
Таким образом, полное разложение на множители имеет вид:
$1 - c^8 = (1 - c)(1 + c)(1 + c^2)(1 + c^4)$.
Ответ: $(1 - c)(1 + c)(1 + c^2)(1 + c^4)$

з) Дано выражение $k^4 - 25$.
Представим члены выражения в виде квадратов: $k^4 = (k^2)^2$ и $25 = 5^2$.
Выражение принимает вид: $(k^2)^2 - 5^2$.
Это разность квадратов, где $a = k^2$ и $b = 5$.
Применяем формулу: $k^4 - 25 = (k^2 - 5)(k^2 + 5)$.
Ответ: $(k^2 - 5)(k^2 + 5)$

и) Дано выражение $9 - a^{10}$.
Представим члены выражения в виде квадратов: $9 = 3^2$ и $a^{10} = (a^5)^2$.
Выражение принимает вид: $3^2 - (a^5)^2$.
Это разность квадратов, где $a = 3$ и $b = a^5$.
Применяем формулу: $9 - a^{10} = (3 - a^5)(3 + a^5)$.
Ответ: $(3 - a^5)(3 + a^5)$

Помогло решение? Оставьте отзыв в комментариях ниже.

Присоединяйтесь к Телеграм-группе @gdz_by_belarus

Присоединиться

Мы подготовили для вас ответ c подробным объяснением домашего задания по алгебре за 7 класс, для упражнения номер 2.339 расположенного на странице 121 к учебнику 2022 года издания для учащихся школ и гимназий.

Теперь на нашем сайте ГДЗ.ТОП вы всегда легко и бесплатно найдёте условие с правильным ответом на вопрос «Как решить ДЗ» и «Как сделать» задание по алгебре к упражнению №2.339 (с. 121), авторов: Арефьева (Ирина Глебовна), Пирютко (Ольга Николаевна), учебного пособия издательства Народная асвета.