Номер 2.349, страница 122 - гдз по алгебре 7 класс учебник Арефьева, Пирютко

Алгебра, 7 класс Учебник, авторы: Арефьева Ирина Глебовна, Пирютко Ольга Николаевна, издательство Народная асвета, Минск, 2022, зелёного цвета

Авторы: Арефьева И. Г., Пирютко О. Н.

Тип: Учебник

Издательство: Народная асвета

Год издания: 2022 - 2025

Цвет обложки: зелёный с графиком

ISBN: ISBN 978-985-03-3770-2

Допущено Министерством образования Республики Беларусь

Популярные ГДЗ в 7 классе

Глава 2. Выражения и их преобразования. Параграф 13. Формулы сокращенного умножения: произведение суммы и разности двух выражений - номер 2.349, страница 122.

№2.349 (с. 122)
Условие. №2.349 (с. 122)
скриншот условия
Алгебра, 7 класс Учебник, авторы: Арефьева Ирина Глебовна, Пирютко Ольга Николаевна, издательство Народная асвета, Минск, 2022, зелёного цвета, страница 122, номер 2.349, Условие Алгебра, 7 класс Учебник, авторы: Арефьева Ирина Глебовна, Пирютко Ольга Николаевна, издательство Народная асвета, Минск, 2022, зелёного цвета, страница 122, номер 2.349, Условие (продолжение 2)

2.349. Используя формулу разности квадратов двух выражений, представьте в виде многочлена произведение:

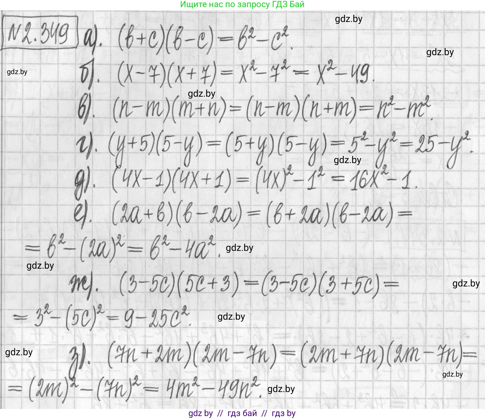
а) $(b+c)(b-c)$;

б) $(x-7)(x+7)$;

в) $(n-m)(m+n)$;

г) $(y+5)(5-y)$;

д) $(4x-1)(4x+1)$;

е) $(2a+b)(b-2a)$;

ж) $(3-5c)(5c+3)$;

з) $(7n+2m)(2m-7n)$.

Решение. №2.349 (с. 122)
Алгебра, 7 класс Учебник, авторы: Арефьева Ирина Глебовна, Пирютко Ольга Николаевна, издательство Народная асвета, Минск, 2022, зелёного цвета, страница 122, номер 2.349, Решение
Решение 2. №2.349 (с. 122)

Для решения всех пунктов используется формула сокращенного умножения, называемая "разность квадратов":

$$ (a - b)(a + b) = a^2 - b^2 $$

Наша задача — привести каждое произведение к этому виду и выполнить преобразование.

а) В произведении $(b + c)(b - c)$ первое выражение $a = b$, а второе $b = c$. Это классический вид формулы.
Применяем формулу:
$(b + c)(b - c) = b^2 - c^2$
Ответ: $b^2 - c^2$

б) В произведении $(x - 7)(x + 7)$ первое выражение $a = x$, а второе $b = 7$.
Применяем формулу:
$(x - 7)(x + 7) = x^2 - 7^2 = x^2 - 49$
Ответ: $x^2 - 49$

в) В произведении $(n - m)(m + n)$ используем коммутативное свойство сложения во второй скобке: $m + n = n + m$.
Получаем выражение $(n - m)(n + m)$. Теперь оно соответствует формуле, где $a = n$ и $b = m$.
$(n - m)(n + m) = n^2 - m^2$
Ответ: $n^2 - m^2$

г) В произведении $(y + 5)(5 - y)$ используем коммутативное свойство сложения в первой скобке: $y + 5 = 5 + y$.
Получаем выражение $(5 + y)(5 - y)$. Теперь оно соответствует формуле, где $a = 5$ и $b = y$.
$(5 + y)(5 - y) = 5^2 - y^2 = 25 - y^2$
Ответ: $25 - y^2$

д) В произведении $(4x - 1)(4x + 1)$ первое выражение $a = 4x$, а второе $b = 1$.
Применяем формулу:
$(4x - 1)(4x + 1) = (4x)^2 - 1^2 = 16x^2 - 1$
Ответ: $16x^2 - 1$

е) В произведении $(2a + b)(b - 2a)$ используем коммутативное свойство сложения в первой скобке: $2a + b = b + 2a$.
Получаем выражение $(b + 2a)(b - 2a)$. Теперь оно соответствует формуле, где $a = b$ и $b = 2a$.
$(b + 2a)(b - 2a) = b^2 - (2a)^2 = b^2 - 4a^2$
Ответ: $b^2 - 4a^2$

ж) В произведении $(3 - 5c)(5c + 3)$ используем коммутативное свойство сложения во второй скобке: $5c + 3 = 3 + 5c$.
Получаем выражение $(3 - 5c)(3 + 5c)$. Теперь оно соответствует формуле, где $a = 3$ и $b = 5c$.
$(3 - 5c)(3 + 5c) = 3^2 - (5c)^2 = 9 - 25c^2$
Ответ: $9 - 25c^2$

з) В произведении $(7n + 2m)(2m - 7n)$ используем коммутативное свойство сложения в первой скобке: $7n + 2m = 2m + 7n$.
Получаем выражение $(2m + 7n)(2m - 7n)$. Теперь оно соответствует формуле, где $a = 2m$ и $b = 7n$.
$(2m + 7n)(2m - 7n) = (2m)^2 - (7n)^2 = 4m^2 - 49n^2$
Ответ: $4m^2 - 49n^2$

Помогло решение? Оставьте отзыв в комментариях ниже.

Присоединяйтесь к Телеграм-группе @gdz_by_belarus

Присоединиться

Мы подготовили для вас ответ c подробным объяснением домашего задания по алгебре за 7 класс, для упражнения номер 2.349 расположенного на странице 122 к учебнику 2022 года издания для учащихся школ и гимназий.

Теперь на нашем сайте ГДЗ.ТОП вы всегда легко и бесплатно найдёте условие с правильным ответом на вопрос «Как решить ДЗ» и «Как сделать» задание по алгебре к упражнению №2.349 (с. 122), авторов: Арефьева (Ирина Глебовна), Пирютко (Ольга Николаевна), учебного пособия издательства Народная асвета.