Номер 2.25, страница 51 - гдз по алгебре 7 класс учебник Арефьева, Пирютко

Алгебра, 7 класс Учебник, авторы: Арефьева Ирина Глебовна, Пирютко Ольга Николаевна, издательство Народная асвета, Минск, 2022, зелёного цвета

Авторы: Арефьева И. Г., Пирютко О. Н.

Тип: Учебник

Издательство: Народная асвета

Год издания: 2022 - 2025

Цвет обложки: зелёный с графиком

ISBN: ISBN 978-985-03-3770-2

Допущено Министерством образования Республики Беларусь

Популярные ГДЗ в 7 классе

Глава 2. Выражения и их преобразования. Параграф 4. Числовые выражения и выражения с переменными - номер 2.25, страница 51.

№2.25 (с. 51)
Условие. №2.25 (с. 51)
скриншот условия
Алгебра, 7 класс Учебник, авторы: Арефьева Ирина Глебовна, Пирютко Ольга Николаевна, издательство Народная асвета, Минск, 2022, зелёного цвета, страница 51, номер 2.25, Условие

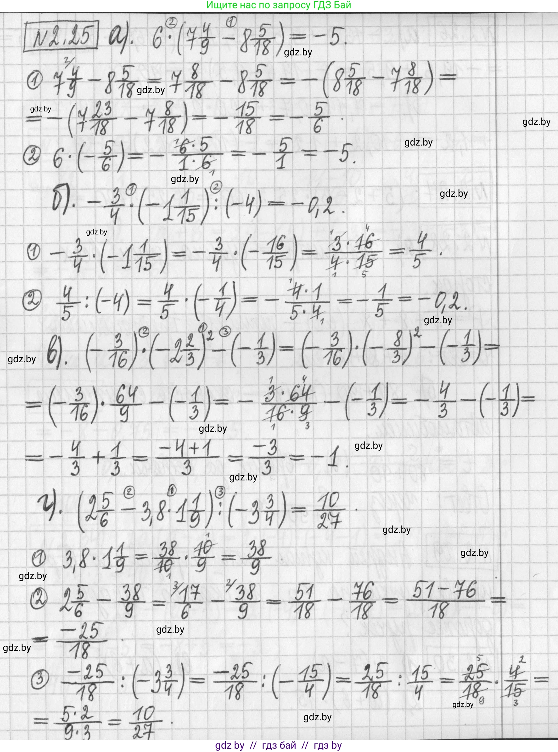
2.25. Установите порядок действий и найдите значение выражения:

а) $6 \cdot (7\frac{4}{9} - 8\frac{5}{18});$

б) $-\frac{3}{4} \cdot (-1\frac{1}{15}):(-4);$

в) $(-\frac{3}{16}) \cdot (-2\frac{2}{3})^2 - (-\frac{1}{3});$

г) $(2\frac{5}{6} - 3,8 \cdot 1\frac{1}{9}):(-3\frac{3}{4}).$

Решение. №2.25 (с. 51)
Алгебра, 7 класс Учебник, авторы: Арефьева Ирина Глебовна, Пирютко Ольга Николаевна, издательство Народная асвета, Минск, 2022, зелёного цвета, страница 51, номер 2.25, Решение
Решение 2. №2.25 (с. 51)

а) $6 \cdot (7\frac{4}{9} - 8\frac{5}{18})$

Порядок действий: сначала выполняем вычитание в скобках, затем умножение.

1. Выполним действие в скобках. Для этого приведем дроби к общему знаменателю 18.

$7\frac{4}{9} - 8\frac{5}{18} = 7\frac{4 \cdot 2}{9 \cdot 2} - 8\frac{5}{18} = 7\frac{8}{18} - 8\frac{5}{18}$

Преобразуем смешанные числа в неправильные дроби:

$7\frac{8}{18} = \frac{7 \cdot 18 + 8}{18} = \frac{126 + 8}{18} = \frac{134}{18}$

$8\frac{5}{18} = \frac{8 \cdot 18 + 5}{18} = \frac{144 + 5}{18} = \frac{149}{18}$

$\frac{134}{18} - \frac{149}{18} = \frac{134 - 149}{18} = -\frac{15}{18} = -\frac{5}{6}$

2. Выполним умножение:

$6 \cdot (-\frac{5}{6}) = -\frac{6 \cdot 5}{6} = -5$

Ответ: -5

б) $-\frac{3}{4} \cdot (-1\frac{1}{15}) : (-4)$

Порядок действий: выполняем умножение и деление последовательно слева направо.

1. Преобразуем смешанное число в неправильную дробь:

$-1\frac{1}{15} = -\frac{1 \cdot 15 + 1}{15} = -\frac{16}{15}$

2. Выполним умножение. Произведение двух отрицательных чисел положительно:

$-\frac{3}{4} \cdot (-\frac{16}{15}) = \frac{3 \cdot 16}{4 \cdot 15} = \frac{\cancel{3} \cdot \cancel{4} \cdot 4}{\cancel{4} \cdot \cancel{3} \cdot 5} = \frac{4}{5}$

3. Выполним деление:

$\frac{4}{5} : (-4) = \frac{4}{5} \cdot (-\frac{1}{4}) = -\frac{4 \cdot 1}{5 \cdot 4} = -\frac{1}{5}$

Ответ: -1/5

в) $(-\frac{3}{16}) \cdot (-2\frac{2}{3})^2 - (-\frac{1}{3})$

Порядок действий: сначала возведение в степень, затем умножение, и в конце вычитание.

1. Возведем в степень, предварительно преобразовав смешанное число в неправильную дробь:

$-2\frac{2}{3} = -\frac{2 \cdot 3 + 2}{3} = -\frac{8}{3}$

$(-2\frac{2}{3})^2 = (-\frac{8}{3})^2 = \frac{(-8)^2}{3^2} = \frac{64}{9}$

2. Выполним умножение:

$(-\frac{3}{16}) \cdot \frac{64}{9} = -\frac{3 \cdot 64}{16 \cdot 9} = -\frac{\cancel{3} \cdot \cancel{16} \cdot 4}{\cancel{16} \cdot \cancel{3} \cdot 3} = -\frac{4}{3}$

3. Выполним вычитание. Вычитание отрицательного числа равносильно сложению:

$-\frac{4}{3} - (-\frac{1}{3}) = -\frac{4}{3} + \frac{1}{3} = \frac{-4+1}{3} = -\frac{3}{3} = -1$

Ответ: -1

г) $(2\frac{5}{6} - 3,8 \cdot 1\frac{1}{9}) : (-3\frac{3}{4})$

Порядок действий: умножение в скобках, вычитание в скобках, деление.

1. Преобразуем все числа в неправильные дроби:

$2\frac{5}{6} = \frac{17}{6}$

$3,8 = 3\frac{8}{10} = 3\frac{4}{5} = \frac{19}{5}$

$1\frac{1}{9} = \frac{10}{9}$

$-3\frac{3}{4} = -\frac{15}{4}$

2. Выполним умножение в скобках:

$\frac{19}{5} \cdot \frac{10}{9} = \frac{19 \cdot 10}{5 \cdot 9} = \frac{19 \cdot 2}{9} = \frac{38}{9}$

3. Выполним вычитание в скобках. Общий знаменатель для 6 и 9 равен 18:

$\frac{17}{6} - \frac{38}{9} = \frac{17 \cdot 3}{18} - \frac{38 \cdot 2}{18} = \frac{51 - 76}{18} = -\frac{25}{18}$

4. Выполним деление:

$(-\frac{25}{18}) : (-\frac{15}{4}) = \frac{25}{18} \cdot \frac{4}{15} = \frac{25 \cdot 4}{18 \cdot 15} = \frac{(5 \cdot \cancel{5}) \cdot (\cancel{2} \cdot 2)}{(\cancel{2} \cdot 9) \cdot (3 \cdot \cancel{5})} = \frac{5 \cdot 2}{9 \cdot 3} = \frac{10}{27}$

Ответ: 10/27

Помогло решение? Оставьте отзыв в комментариях ниже.

Присоединяйтесь к Телеграм-группе @gdz_by_belarus

Присоединиться

Мы подготовили для вас ответ c подробным объяснением домашего задания по алгебре за 7 класс, для упражнения номер 2.25 расположенного на странице 51 к учебнику 2022 года издания для учащихся школ и гимназий.

Теперь на нашем сайте ГДЗ.ТОП вы всегда легко и бесплатно найдёте условие с правильным ответом на вопрос «Как решить ДЗ» и «Как сделать» задание по алгебре к упражнению №2.25 (с. 51), авторов: Арефьева (Ирина Глебовна), Пирютко (Ольга Николаевна), учебного пособия издательства Народная асвета.