Номер 2.73, страница 64 - гдз по алгебре 7 класс учебник Арефьева, Пирютко

Алгебра, 7 класс Учебник, авторы: Арефьева Ирина Глебовна, Пирютко Ольга Николаевна, издательство Народная асвета, Минск, 2022, зелёного цвета

Авторы: Арефьева И. Г., Пирютко О. Н.

Тип: Учебник

Издательство: Народная асвета

Год издания: 2022 - 2025

Цвет обложки: зелёный с графиком

ISBN: ISBN 978-985-03-3770-2

Допущено Министерством образования Республики Беларусь

Популярные ГДЗ в 7 классе

Глава 2. Выражения и их преобразования. Параграф 6. Одночлен - номер 2.73, страница 64.

№2.73 (с. 64)
Условие. №2.73 (с. 64)
скриншот условия
Алгебра, 7 класс Учебник, авторы: Арефьева Ирина Глебовна, Пирютко Ольга Николаевна, издательство Народная асвета, Минск, 2022, зелёного цвета, страница 64, номер 2.73, Условие

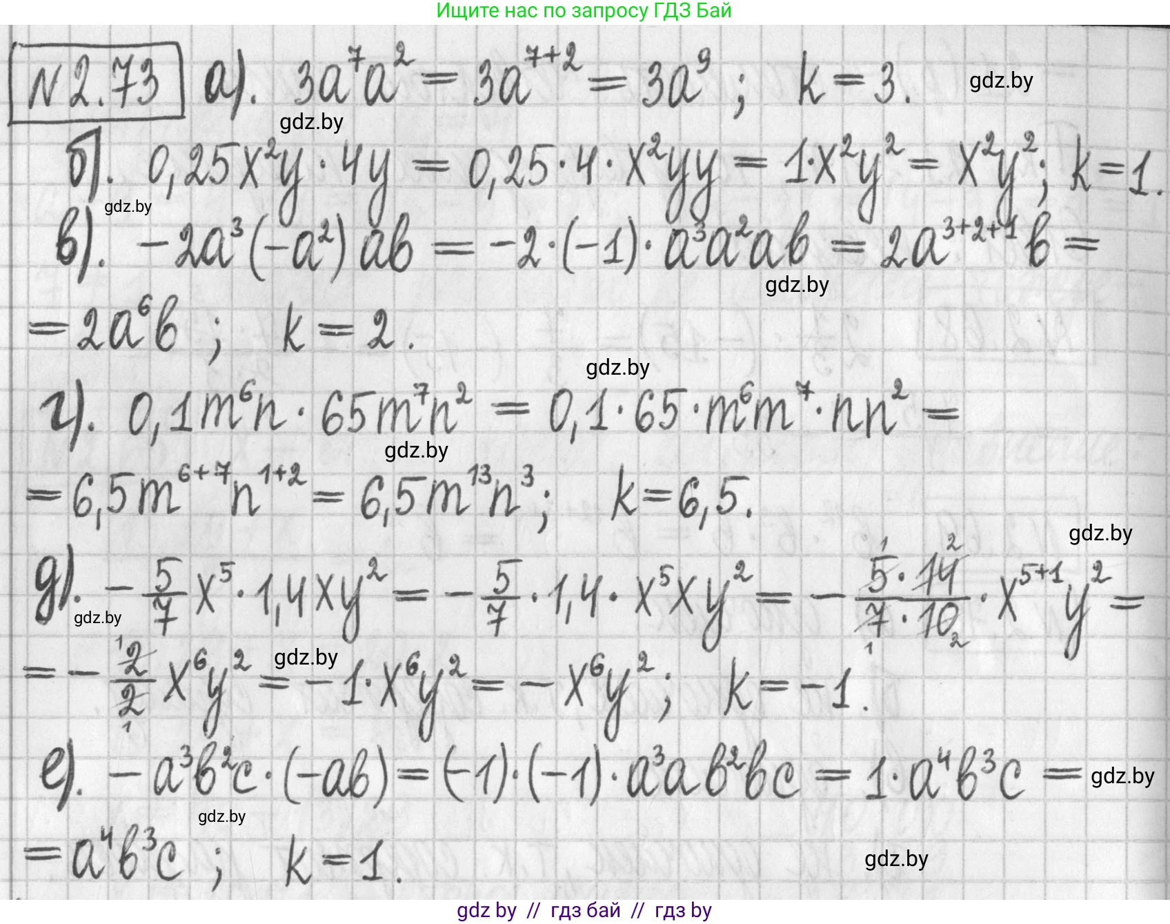
2.73. Приведите одночлен к стандартному виду и назовите его коэффициент:

а) $3a^7a^2$;

б) $0,25x^2y \cdot 4y$;

в) $-2a^3(-a^2)ab$;

г) $0,1m^6n \cdot 65m^7n^2$;

д) $-\frac{5}{7}x^5 \cdot 1,4xy^2$;

е) $-a^3b^2c(-ab)$.

Решение. №2.73 (с. 64)
Алгебра, 7 класс Учебник, авторы: Арефьева Ирина Глебовна, Пирютко Ольга Николаевна, издательство Народная асвета, Минск, 2022, зелёного цвета, страница 64, номер 2.73, Решение
Решение 2. №2.73 (с. 64)

а) $3a^7a^2$
Чтобы привести одночлен к стандартному виду, необходимо перемножить степени с одинаковым основанием, сложив их показатели: $3a^7a^2 = 3a^{7+2} = 3a^9$.
Коэффициент — это числовой множитель в стандартном виде одночлена.
Ответ: Стандартный вид: $3a^9$, коэффициент: 3.

б) $0,25x^2y \cdot 4y$
Перемножаем числовые коэффициенты и степени с одинаковыми основаниями: $(0,25 \cdot 4) \cdot x^2 \cdot (y^1 \cdot y^1) = 1 \cdot x^2 \cdot y^{1+1} = x^2y^2$.
Если коэффициент равен 1, его обычно не записывают.
Ответ: Стандартный вид: $x^2y^2$, коэффициент: 1.

в) $-2a^3(-a^2)ab$
Перемножаем числовые коэффициенты и степени с одинаковыми основаниями: $(-2 \cdot (-1)) \cdot (a^3 \cdot a^2 \cdot a^1) \cdot b = 2 \cdot a^{3+2+1} \cdot b = 2a^6b$.
Ответ: Стандартный вид: $2a^6b$, коэффициент: 2.

г) $0,1m^6n \cdot 65m^7n^2$
Перемножаем числовые коэффициенты и степени с одинаковыми основаниями: $(0,1 \cdot 65) \cdot (m^6 \cdot m^7) \cdot (n^1 \cdot n^2) = 6,5 \cdot m^{6+7} \cdot n^{1+2} = 6,5m^{13}n^3$.
Коэффициент $6,5$ является десятичной дробью. Представим его в виде неправильной дроби и выделим целую часть: $6,5 = \frac{65}{10} = \frac{13}{2} = 6\frac{1}{2}$.
Ответ: Стандартный вид: $6\frac{1}{2}m^{13}n^3$, коэффициент: $6\frac{1}{2}$.

д) $-\frac{5}{7}x^5 \cdot 1,4xy^2$
Перемножим коэффициенты, предварительно представив десятичную дробь $1,4$ в виде обыкновенной: $1,4 = \frac{14}{10} = \frac{7}{5}$.
Выполним умножение: $(-\frac{5}{7} \cdot \frac{7}{5}) \cdot (x^5 \cdot x^1) \cdot y^2 = -1 \cdot x^{5+1} \cdot y^2 = -x^6y^2$.
Если коэффициент равен -1, записывают только знак минус.
Ответ: Стандартный вид: $-x^6y^2$, коэффициент: -1.

е) $-a^3b^2c(-ab)$
Перемножим коэффициенты (учитывая, что знак "минус" перед переменной означает коэффициент -1) и степени с одинаковыми основаниями: $(-1 \cdot (-1)) \cdot (a^3 \cdot a^1) \cdot (b^2 \cdot b^1) \cdot c = 1 \cdot a^{3+1} \cdot b^{2+1} \cdot c = a^4b^3c$.
Ответ: Стандартный вид: $a^4b^3c$, коэффициент: 1.

Помогло решение? Оставьте отзыв в комментариях ниже.

Присоединяйтесь к Телеграм-группе @gdz_by_belarus

Присоединиться

Мы подготовили для вас ответ c подробным объяснением домашего задания по алгебре за 7 класс, для упражнения номер 2.73 расположенного на странице 64 к учебнику 2022 года издания для учащихся школ и гимназий.

Теперь на нашем сайте ГДЗ.ТОП вы всегда легко и бесплатно найдёте условие с правильным ответом на вопрос «Как решить ДЗ» и «Как сделать» задание по алгебре к упражнению №2.73 (с. 64), авторов: Арефьева (Ирина Глебовна), Пирютко (Ольга Николаевна), учебного пособия издательства Народная асвета.