Номер 4.141, страница 294 - гдз по алгебре 7 класс учебник Арефьева, Пирютко

Алгебра, 7 класс Учебник, авторы: Арефьева Ирина Глебовна, Пирютко Ольга Николаевна, издательство Народная асвета, Минск, 2022, зелёного цвета

Авторы: Арефьева И. Г., Пирютко О. Н.

Тип: Учебник

Издательство: Народная асвета

Год издания: 2022 - 2025

Цвет обложки: зелёный с графиком

ISBN: ISBN 978-985-03-3770-2

Допущено Министерством образования Республики Беларусь

Популярные ГДЗ в 7 классе

Глава 4. Системы двух линейных уравнений с двумя переменными. Параграф 25. Решение текстовых задач с помощью системы линейных уравнений - номер 4.141, страница 294.

№4.141 (с. 294)
Условие. №4.141 (с. 294)
скриншот условия
Алгебра, 7 класс Учебник, авторы: Арефьева Ирина Глебовна, Пирютко Ольга Николаевна, издательство Народная асвета, Минск, 2022, зелёного цвета, страница 294, номер 4.141, Условие

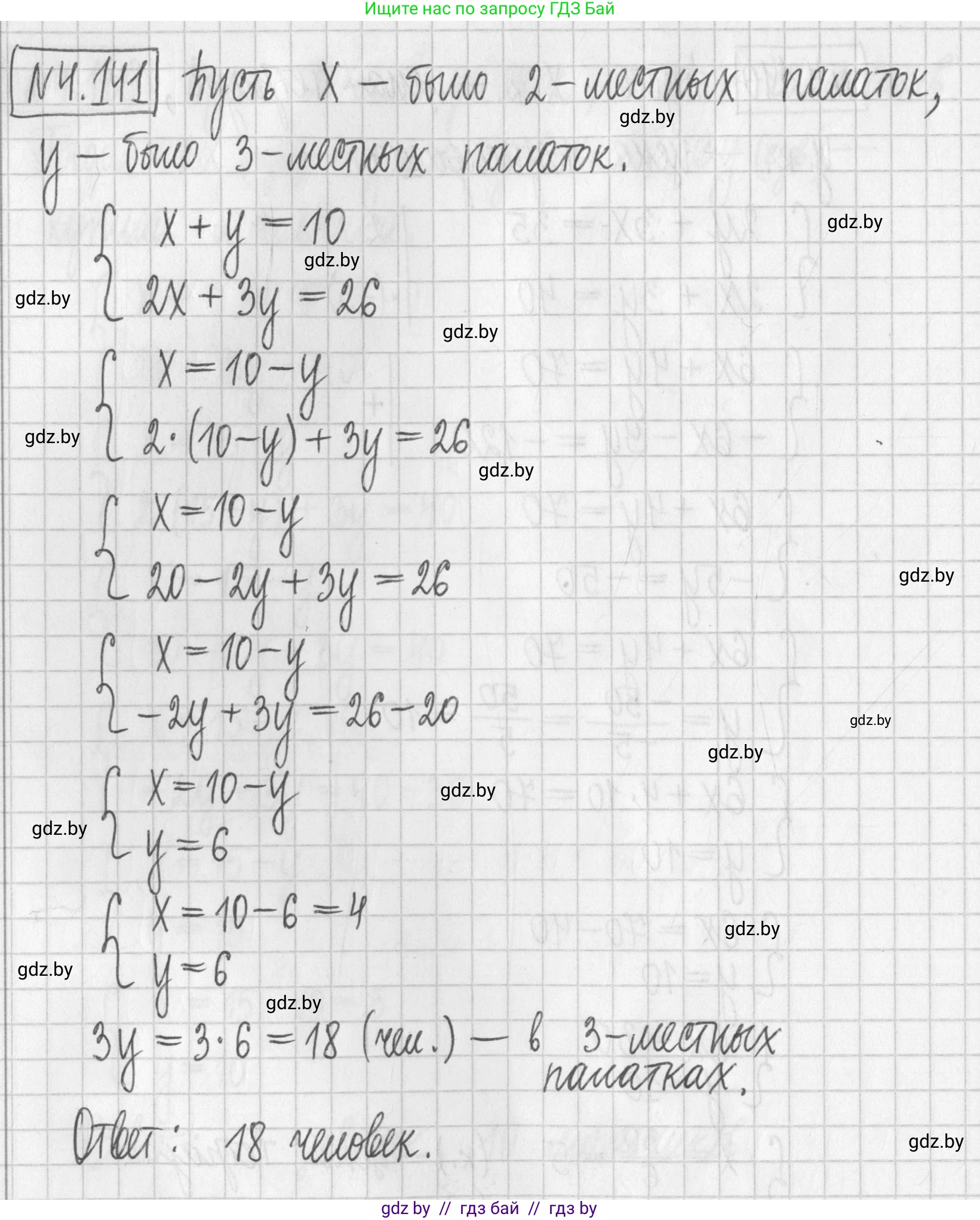
4.141. В поход для 26 туристов взяли двухместные и трехместные палатки. Сколько человек разместилось в трехместных палатках, если туристы взяли 10 палаток?

Решение. №4.141 (с. 294)
Алгебра, 7 класс Учебник, авторы: Арефьева Ирина Глебовна, Пирютко Ольга Николаевна, издательство Народная асвета, Минск, 2022, зелёного цвета, страница 294, номер 4.141, Решение
Решение 2. №4.141 (с. 294)

Для решения этой задачи мы можем составить и решить систему линейных уравнений. Обозначим количество двухместных и трехместных палаток переменными, а затем используем данные об общем количестве палаток и общем количестве туристов для нахождения этих переменных.

Шаг 1: Введение переменных и составление уравнений

Пусть:

  • $x$ — количество двухместных палаток.
  • $y$ — количество трехместных палаток.

Исходя из условия, мы можем составить два уравнения:

  1. Общее количество палаток равно 10:
    $x + y = 10$
  2. Общее количество туристов равно 26. В двухместных палатках может разместиться $2x$ человек, а в трехместных — $3y$ человек:
    $2x + 3y = 26$

Таким образом, мы получаем следующую систему уравнений:

$\begin{cases} x + y = 10 \\ 2x + 3y = 26 \end{cases}$

Шаг 2: Решение системы уравнений

Выразим переменную $x$ из первого уравнения:

$x = 10 - y$

Теперь подставим это выражение во второе уравнение, чтобы найти $y$:

$2(10 - y) + 3y = 26$

Раскроем скобки:

$20 - 2y + 3y = 26$

Приведем подобные слагаемые:

$20 + y = 26$

Найдем значение $y$:

$y = 26 - 20$

$y = 6$

Итак, мы выяснили, что в поход взяли 6 трехместных палаток.

Шаг 3: Нахождение ответа на вопрос задачи

Сколько человек разместилось в трехместных палатках?
Мы знаем, что было 6 трехместных палаток, и в каждую из них помещается 3 человека. Чтобы найти общее количество человек в этих палатках, нужно умножить количество палаток на их вместимость.
$6 \text{ палаток} \times 3 \text{ человека/палатка} = 18 \text{ человек}.$

Ответ: 18

Помогло решение? Оставьте отзыв в комментариях ниже.

Присоединяйтесь к Телеграм-группе @gdz_by_belarus

Присоединиться

Мы подготовили для вас ответ c подробным объяснением домашего задания по алгебре за 7 класс, для упражнения номер 4.141 расположенного на странице 294 к учебнику 2022 года издания для учащихся школ и гимназий.

Теперь на нашем сайте ГДЗ.ТОП вы всегда легко и бесплатно найдёте условие с правильным ответом на вопрос «Как решить ДЗ» и «Как сделать» задание по алгебре к упражнению №4.141 (с. 294), авторов: Арефьева (Ирина Глебовна), Пирютко (Ольга Николаевна), учебного пособия издательства Народная асвета.