Номер 2.422, страница 139 - гдз по алгебре 7 класс учебник Арефьева, Пирютко

Алгебра, 7 класс Учебник, авторы: Арефьева Ирина Глебовна, Пирютко Ольга Николаевна, издательство Народная асвета, Минск, 2022, зелёного цвета

Авторы: Арефьева И. Г., Пирютко О. Н.

Тип: Учебник

Издательство: Народная асвета

Год издания: 2022 - 2025

Цвет обложки: зелёный с графиком

ISBN: ISBN 978-985-03-3770-2

Допущено Министерством образования Республики Беларусь

Популярные ГДЗ в 7 классе

Глава 2. Выражения и их преобразования. Параграф 14. Разложение многочлена на множители - номер 2.422, страница 139.

№2.422 (с. 139)
Условие. №2.422 (с. 139)
скриншот условия
Алгебра, 7 класс Учебник, авторы: Арефьева Ирина Глебовна, Пирютко Ольга Николаевна, издательство Народная асвета, Минск, 2022, зелёного цвета, страница 139, номер 2.422, Условие

2.422. Разложите многочлен на множители:

а) $a^2 - 3ab + a - 3b$;

б) $cd - ac + ad - a^2$;

в) $xy - 3y^2 - 3y + x$;

г) $x^3 - x^2y + xy^2 - y^3$;

д) $a^3 - a^2 + a - 1$;

е) $5ab - 2bc + 5a^2 - 2ac$.

Решение. №2.422 (с. 139)
Алгебра, 7 класс Учебник, авторы: Арефьева Ирина Глебовна, Пирютко Ольга Николаевна, издательство Народная асвета, Минск, 2022, зелёного цвета, страница 139, номер 2.422, Решение Алгебра, 7 класс Учебник, авторы: Арефьева Ирина Глебовна, Пирютко Ольга Николаевна, издательство Народная асвета, Минск, 2022, зелёного цвета, страница 139, номер 2.422, Решение (продолжение 2)
Решение 2. №2.422 (с. 139)

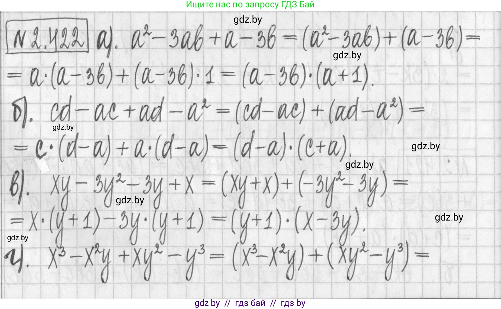
а) $a^2 - 3ab + a - 3b$

Для разложения многочлена на множители используем метод группировки. Сгруппируем первое и второе слагаемые, а также третье и четвертое:

$(a^2 - 3ab) + (a - 3b)$

В первой группе вынесем за скобки общий множитель $a$. Во второй группе общий множитель равен $1$:

$a(a - 3b) + 1(a - 3b)$

Теперь мы видим, что у обоих слагаемых есть общий множитель $(a - 3b)$. Вынесем его за скобки:

$(a - 3b)(a + 1)$

Ответ: $(a - 3b)(a + 1)$.


б) $cd - ac + ad - a^2$

Разложим многочлен на множители методом группировки. Сгруппируем первое слагаемое со вторым, а третье с четвертым:

$(cd - ac) + (ad - a^2)$

Из первой группы вынесем за скобки общий множитель $c$, а из второй — общий множитель $a$:

$c(d - a) + a(d - a)$

Общий множитель $(d - a)$ выносим за скобки:

$(d - a)(c + a)$

Ответ: $(d - a)(c + a)$.


в) $xy - 3y^2 - 3y + x$

Для удобства сгруппируем слагаемые, содержащие $x$, и слагаемые, содержащие $y$. Для этого поменяем местами второе и четвертое слагаемые:

$xy + x - 3y^2 - 3y$

Теперь сгруппируем их попарно:

$(xy + x) + (-3y^2 - 3y)$

Из первой группы вынесем за скобки общий множитель $x$, а из второй — $-3y$:

$x(y + 1) - 3y(y + 1)$

Общий множитель $(y + 1)$ выносим за скобки:

$(y + 1)(x - 3y)$

Ответ: $(y + 1)(x - 3y)$.


г) $x^3 - x^2y + xy^2 - y^3$

Разложим многочлен на множители методом группировки. Сгруппируем первое и второе слагаемые, а также третье и четвертое:

$(x^3 - x^2y) + (xy^2 - y^3)$

Из первой группы вынесем за скобки общий множитель $x^2$, а из второй — $y^2$:

$x^2(x - y) + y^2(x - y)$

Общий множитель $(x - y)$ выносим за скобки:

$(x - y)(x^2 + y^2)$

Ответ: $(x - y)(x^2 + y^2)$.


д) $a^3 - a^2 + a - 1$

Разложим многочлен на множители методом группировки:

$(a^3 - a^2) + (a - 1)$

Из первой группы вынесем за скобки общий множитель $a^2$. Во второй группе общий множитель равен $1$:

$a^2(a - 1) + 1(a - 1)$

Общий множитель $(a - 1)$ выносим за скобки:

$(a - 1)(a^2 + 1)$

Ответ: $(a - 1)(a^2 + 1)$.


е) $5ab - 2bc + 5a^2 - 2ac$

Перегруппируем слагаемые для удобства разложения. Сгруппируем члены, содержащие $5a$, и члены, содержащие $-2c$:

$(5ab + 5a^2) + (-2bc - 2ac)$

Вынесем общие множители из каждой группы: $5a$ из первой и $-2c$ из второй:

$5a(b + a) - 2c(b + a)$

Теперь вынесем за скобки общий множитель $(b + a)$:

$(b + a)(5a - 2c)$

Ответ: $(a + b)(5a - 2c)$.

Помогло решение? Оставьте отзыв в комментариях ниже.

Присоединяйтесь к Телеграм-группе @gdz_by_belarus

Присоединиться

Мы подготовили для вас ответ c подробным объяснением домашего задания по алгебре за 7 класс, для упражнения номер 2.422 расположенного на странице 139 к учебнику 2022 года издания для учащихся школ и гимназий.

Теперь на нашем сайте ГДЗ.ТОП вы всегда легко и бесплатно найдёте условие с правильным ответом на вопрос «Как решить ДЗ» и «Как сделать» задание по алгебре к упражнению №2.422 (с. 139), авторов: Арефьева (Ирина Глебовна), Пирютко (Ольга Николаевна), учебного пособия издательства Народная асвета.