Номер 3.253, страница 204 - гдз по алгебре 7 класс учебник Арефьева, Пирютко

Алгебра, 7 класс Учебник, авторы: Арефьева Ирина Глебовна, Пирютко Ольга Николаевна, издательство Народная асвета, Минск, 2022, зелёного цвета

Авторы: Арефьева И. Г., Пирютко О. Н.

Тип: Учебник

Издательство: Народная асвета

Год издания: 2022 - 2025

Цвет обложки: зелёный с графиком

ISBN: ISBN 978-985-03-3770-2

Допущено Министерством образования Республики Беларусь

Популярные ГДЗ в 7 классе

Глава 3. Линейные уравнения. Линейные неравенства. Линейная функция. Параграф 18. Линейные неравенства с одной переменной - номер 3.253, страница 204.

№3.253 (с. 204)
Условие. №3.253 (с. 204)
скриншот условия
Алгебра, 7 класс Учебник, авторы: Арефьева Ирина Глебовна, Пирютко Ольга Николаевна, издательство Народная асвета, Минск, 2022, зелёного цвета, страница 204, номер 3.253, Условие

3.253. Решите неравенство:

а) $6x^2 - 3x(2x + 4) \ge 18$;

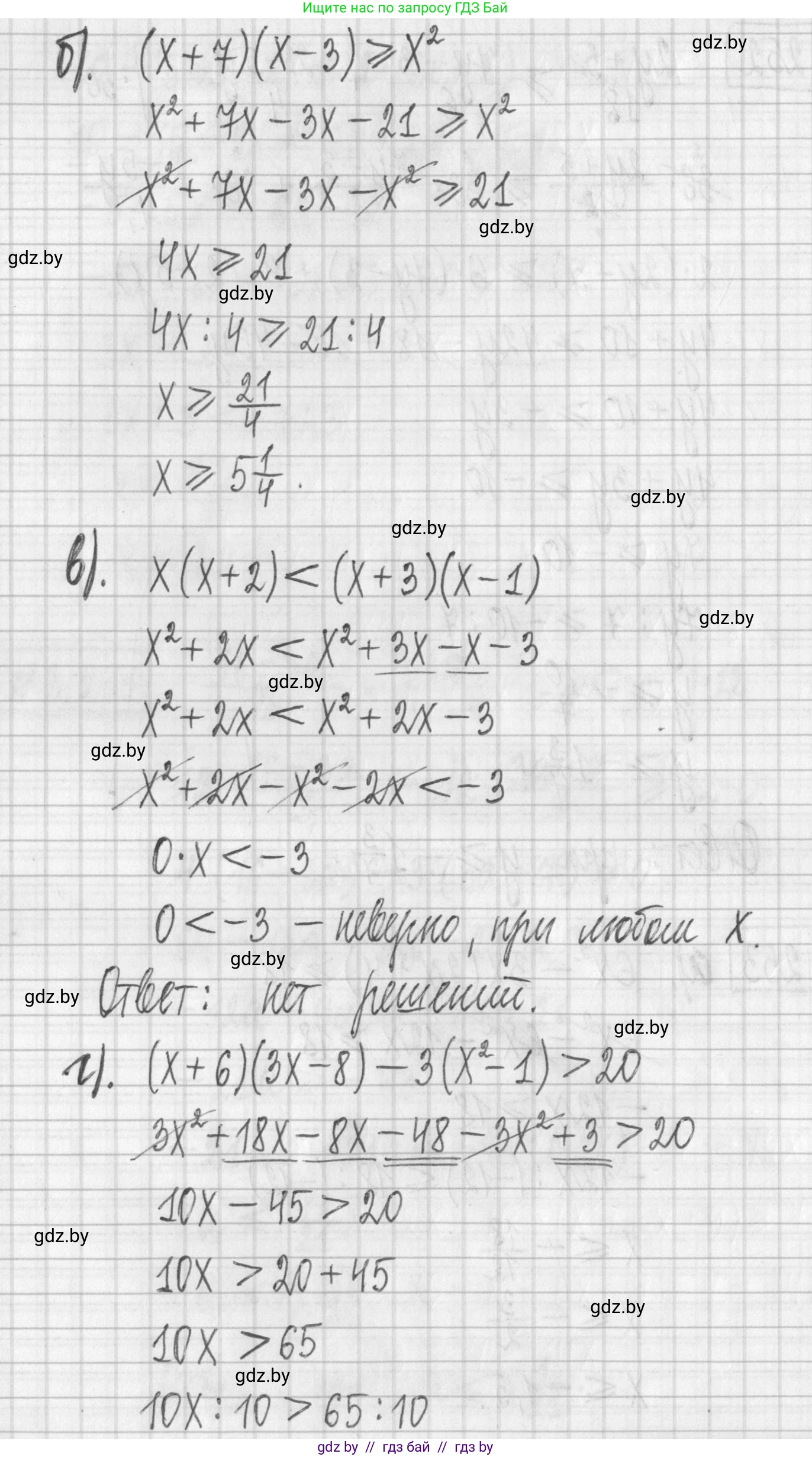
б) $(x + 7)(x - 3) \ge x^2$;

в) $x(x + 2) < (x + 3)(x - 1)$;

г) $(x + 6)(3x - 8) - 3(x^2 - 1) > 20$;

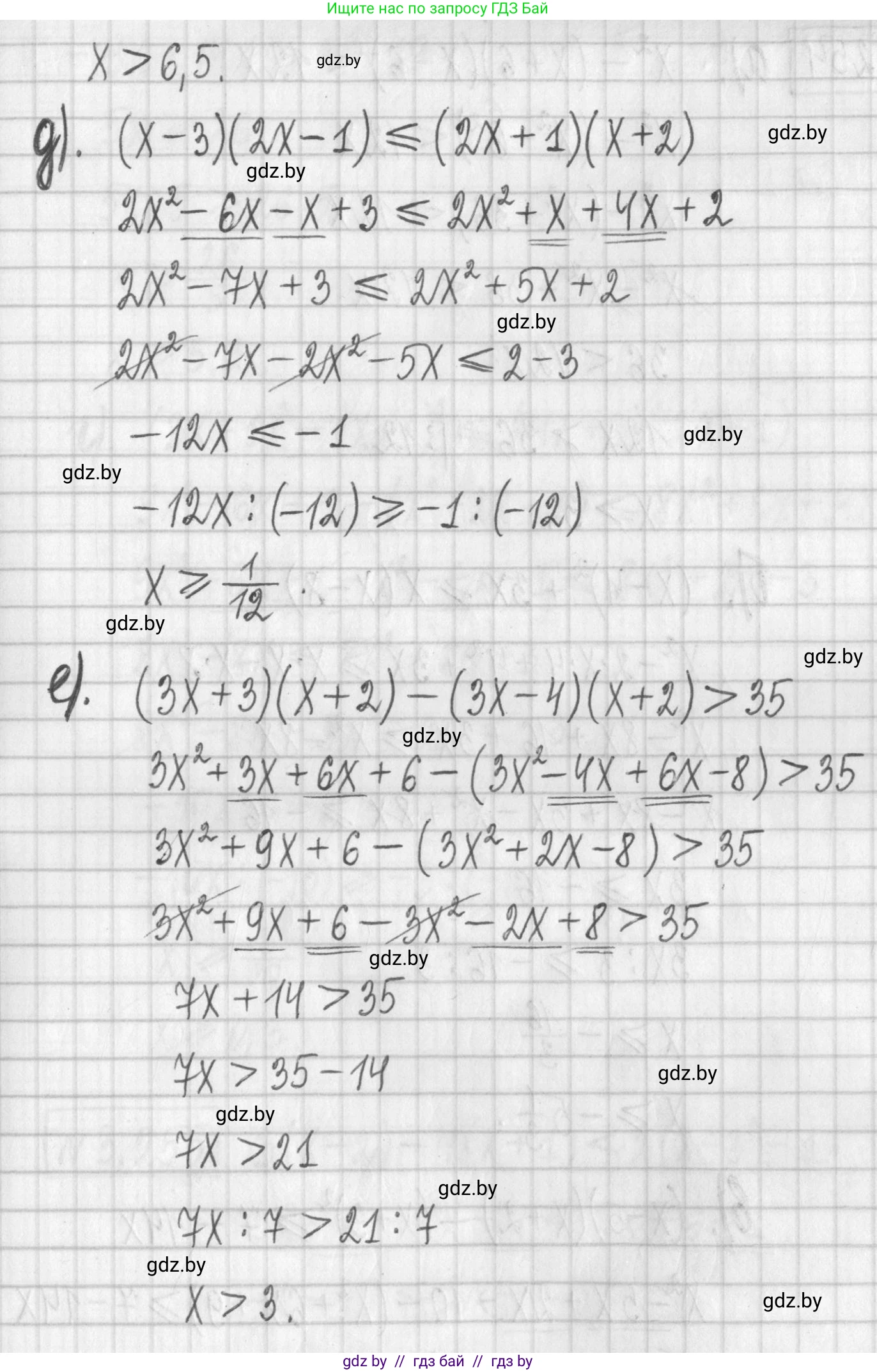
д) $(x - 3)(2x - 1) \le (2x + 1)(x + 2)$;

е) $(3x + 3)(x + 2) - (3x - 4)(x + 2) > 35$.

Решение. №3.253 (с. 204)
Алгебра, 7 класс Учебник, авторы: Арефьева Ирина Глебовна, Пирютко Ольга Николаевна, издательство Народная асвета, Минск, 2022, зелёного цвета, страница 204, номер 3.253, Решение Алгебра, 7 класс Учебник, авторы: Арефьева Ирина Глебовна, Пирютко Ольга Николаевна, издательство Народная асвета, Минск, 2022, зелёного цвета, страница 204, номер 3.253, Решение (продолжение 2)
Решение 2. №3.253 (с. 204)

а) Решим неравенство $6x^2 - 3x(2x + 4) \ge 18$.

1. Раскроем скобки в левой части неравенства:

$6x^2 - (3x \cdot 2x + 3x \cdot 4) \ge 18$

$6x^2 - 6x^2 - 12x \ge 18$

2. Приведем подобные слагаемые:

$-12x \ge 18$

3. Разделим обе части неравенства на -12. При делении на отрицательное число знак неравенства меняется на противоположный:

$x \le \frac{18}{-12}$

4. Сократим дробь:

$x \le -\frac{3}{2}$

Ответ: $x \le -1\frac{1}{2}$

б) Решим неравенство $(x + 7)(x - 3) \ge x^2$.

1. Раскроем скобки в левой части, перемножив многочлены:

$x^2 - 3x + 7x - 21 \ge x^2$

2. Приведем подобные слагаемые:

$x^2 + 4x - 21 \ge x^2$

3. Перенесем все слагаемые в одну часть:

$x^2 - x^2 + 4x - 21 \ge 0$

$4x - 21 \ge 0$

4. Решим полученное линейное неравенство:

$4x \ge 21$

$x \ge \frac{21}{4}$

Ответ: $x \ge 5\frac{1}{4}$

в) Решим неравенство $x(x + 2) < (x + 3)(x - 1)$.

1. Раскроем скобки в обеих частях неравенства:

$x^2 + 2x < x^2 - x + 3x - 3$

2. Упростим правую часть:

$x^2 + 2x < x^2 + 2x - 3$

3. Перенесем все слагаемые с переменной $x$ в левую часть, а числовые слагаемые оставим в правой:

$x^2 - x^2 + 2x - 2x < -3$

4. Приведем подобные слагаемые:

$0 < -3$

Полученное неравенство является ложным, так как 0 не меньше -3. Следовательно, исходное неравенство не имеет решений.

Ответ: решений нет

г) Решим неравенство $(x + 6)(3x - 8) - 3(x^2 - 1) > 20$.

1. Раскроем скобки:

$(3x^2 - 8x + 18x - 48) - (3x^2 - 3) > 20$

2. Упростим выражение в первых скобках и раскроем вторые:

$3x^2 + 10x - 48 - 3x^2 + 3 > 20$

3. Приведем подобные слагаемые:

$10x - 45 > 20$

4. Решим полученное линейное неравенство:

$10x > 20 + 45$

$10x > 65$

$x > \frac{65}{10}$

5. Сократим дробь:

$x > \frac{13}{2}$

Ответ: $x > 6\frac{1}{2}$

д) Решим неравенство $(x - 3)(2x - 1) \le (2x + 1)(x + 2)$.

1. Раскроем скобки в обеих частях неравенства:

$2x^2 - x - 6x + 3 \le 2x^2 + 4x + x + 2$

2. Упростим обе части:

$2x^2 - 7x + 3 \le 2x^2 + 5x + 2$

3. Перенесем слагаемые с переменной $x$ в правую часть, а числовые слагаемые - в левую:

$3 - 2 \le 2x^2 - 2x^2 + 5x + 7x$

4. Приведем подобные слагаемые:

$1 \le 12x$

5. Разделим обе части на 12:

$\frac{1}{12} \le x$

Ответ: $x \ge \frac{1}{12}$

е) Решим неравенство $(3x + 3)(x + 2) - (3x - 4)(x + 2) > 35$.

1. Заметим, что в левой части есть общий множитель $(x + 2)$. Вынесем его за скобки:

$(x + 2) \cdot ((3x + 3) - (3x - 4)) > 35$

2. Раскроем внутренние скобки:

$(x + 2) \cdot (3x + 3 - 3x + 4) > 35$

3. Приведем подобные слагаемые во второй скобке:

$(x + 2) \cdot 7 > 35$

4. Разделим обе части неравенства на 7:

$x + 2 > 5$

5. Решим полученное линейное неравенство:

$x > 5 - 2$

$x > 3$

Ответ: $x > 3$

Помогло решение? Оставьте отзыв в комментариях ниже.

Присоединяйтесь к Телеграм-группе @gdz_by_belarus

Присоединиться

Мы подготовили для вас ответ c подробным объяснением домашего задания по алгебре за 7 класс, для упражнения номер 3.253 расположенного на странице 204 к учебнику 2022 года издания для учащихся школ и гимназий.

Теперь на нашем сайте ГДЗ.ТОП вы всегда легко и бесплатно найдёте условие с правильным ответом на вопрос «Как решить ДЗ» и «Как сделать» задание по алгебре к упражнению №3.253 (с. 204), авторов: Арефьева (Ирина Глебовна), Пирютко (Ольга Николаевна), учебного пособия издательства Народная асвета.