Номер 3.47, страница 158 - гдз по алгебре 7 класс учебник Арефьева, Пирютко

Алгебра, 7 класс Учебник, авторы: Арефьева Ирина Глебовна, Пирютко Ольга Николаевна, издательство Народная асвета, Минск, 2022, зелёного цвета

Авторы: Арефьева И. Г., Пирютко О. Н.

Тип: Учебник

Издательство: Народная асвета

Год издания: 2022 - 2025

Цвет обложки: зелёный с графиком

ISBN: ISBN 978-985-03-3770-2

Допущено Министерством образования Республики Беларусь

Популярные ГДЗ в 7 классе

Глава 3. Линейные уравнения. Линейные неравенства. Линейная функция. Параграф 15. Линейные уравнения с одной переменной - номер 3.47, страница 158.

№3.47 (с. 158)
Условие. №3.47 (с. 158)
скриншот условия
Алгебра, 7 класс Учебник, авторы: Арефьева Ирина Глебовна, Пирютко Ольга Николаевна, издательство Народная асвета, Минск, 2022, зелёного цвета, страница 158, номер 3.47, Условие

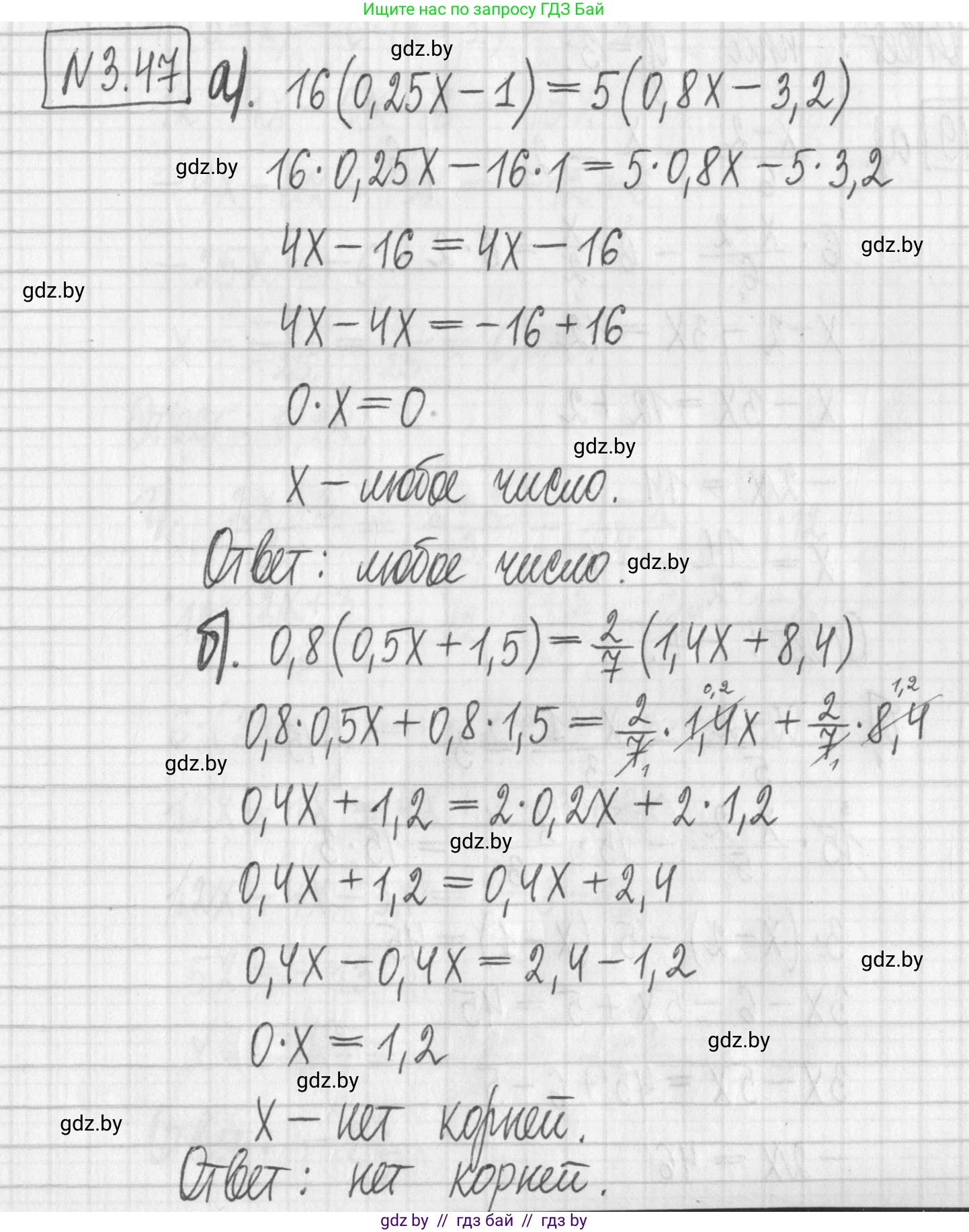
3.47. Решите уравнение:

а) $16(0,25x - 1) = 5(0,8x - 3,2);$

б) $0,8(0,5x + 1,5) = \frac{2}{7}(1,4x + 8,4).$

Решение. №3.47 (с. 158)
Алгебра, 7 класс Учебник, авторы: Арефьева Ирина Глебовна, Пирютко Ольга Николаевна, издательство Народная асвета, Минск, 2022, зелёного цвета, страница 158, номер 3.47, Решение
Решение 2. №3.47 (с. 158)

a) $16(0,25x - 1) = 5(0,8x - 3,2)$

Для решения уравнения раскроем скобки в обеих его частях.

Левая часть:

$16 \cdot (0,25x) - 16 \cdot 1 = 4x - 16$

Правая часть:

$5 \cdot (0,8x) - 5 \cdot (3,2) = 4x - 16$

Теперь приравняем полученные выражения:

$4x - 16 = 4x - 16$

Перенесем все слагаемые, содержащие переменную $x$, в левую часть уравнения, а постоянные слагаемые — в правую часть. При переносе слагаемых из одной части в другую меняем их знак на противоположный.

$4x - 4x = -16 + 16$

$0 \cdot x = 0$

Данное равенство верно при любом значении переменной $x$. Следовательно, уравнение имеет бесконечное множество решений.

Ответ: $x$ — любое число.

б) $0,8(0,5x + 1,5) = \frac{2}{7}(1,4x + 8,4)$

Раскроем скобки в обеих частях уравнения.

Левая часть:

$0,8 \cdot (0,5x) + 0,8 \cdot (1,5) = 0,4x + 1,2$

Правая часть: Заметим, что оба слагаемых в скобках делятся на 7: $1,4 = 7 \cdot 0,2$ и $8,4 = 7 \cdot 1,2$. Это упростит вычисления.

$\frac{2}{7}(1,4x + 8,4) = \frac{2}{7} \cdot 7 \cdot (0,2x + 1,2) = 2(0,2x + 1,2) = 2 \cdot (0,2x) + 2 \cdot (1,2) = 0,4x + 2,4$

Теперь приравняем полученные выражения:

$0,4x + 1,2 = 0,4x + 2,4$

Перенесем слагаемые с переменной $x$ в левую часть, а постоянные — в правую:

$0,4x - 0,4x = 2,4 - 1,2$

$0 \cdot x = 1,2$

Полученное равенство $0 = 1,2$ является неверным. Это означает, что не существует такого значения $x$, при котором исходное уравнение было бы верным.

Ответ: уравнение не имеет корней.

Помогло решение? Оставьте отзыв в комментариях ниже.

Присоединяйтесь к Телеграм-группе @gdz_by_belarus

Присоединиться

Мы подготовили для вас ответ c подробным объяснением домашего задания по алгебре за 7 класс, для упражнения номер 3.47 расположенного на странице 158 к учебнику 2022 года издания для учащихся школ и гимназий.

Теперь на нашем сайте ГДЗ.ТОП вы всегда легко и бесплатно найдёте условие с правильным ответом на вопрос «Как решить ДЗ» и «Как сделать» задание по алгебре к упражнению №3.47 (с. 158), авторов: Арефьева (Ирина Глебовна), Пирютко (Ольга Николаевна), учебного пособия издательства Народная асвета.