Номер 4.49, страница 267 - гдз по алгебре 7 класс учебник Арефьева, Пирютко

Алгебра, 7 класс Учебник, авторы: Арефьева Ирина Глебовна, Пирютко Ольга Николаевна, издательство Народная асвета, Минск, 2022, зелёного цвета

Авторы: Арефьева И. Г., Пирютко О. Н.

Тип: Учебник

Издательство: Народная асвета

Год издания: 2022 - 2025

Цвет обложки: зелёный с графиком

ISBN: ISBN 978-985-03-3770-2

Допущено Министерством образования Республики Беларусь

Популярные ГДЗ в 7 классе

Глава 4. Системы двух линейных уравнений с двумя переменными. Параграф 22. График линейного уравнения ax + by = c с двумя переменными - номер 4.49, страница 267.

№4.49 (с. 267)
Условие. №4.49 (с. 267)
скриншот условия
Алгебра, 7 класс Учебник, авторы: Арефьева Ирина Глебовна, Пирютко Ольга Николаевна, издательство Народная асвета, Минск, 2022, зелёного цвета, страница 267, номер 4.49, Условие

4.49. Выберите точки, принадлежащие графику уравнения $3x - 4y = 12$:

а) $A(4; -1)$;

б) $B(4; 0)$;

в) $C(2; -1,5)$;

г) $D(0; -3)$.

Решение. №4.49 (с. 267)
Алгебра, 7 класс Учебник, авторы: Арефьева Ирина Глебовна, Пирютко Ольга Николаевна, издательство Народная асвета, Минск, 2022, зелёного цвета, страница 267, номер 4.49, Решение Алгебра, 7 класс Учебник, авторы: Арефьева Ирина Глебовна, Пирютко Ольга Николаевна, издательство Народная асвета, Минск, 2022, зелёного цвета, страница 267, номер 4.49, Решение (продолжение 2)
Решение 2. №4.49 (с. 267)

Чтобы определить, какие из предложенных точек принадлежат графику уравнения $3x - 4y = 12$, необходимо поочередно подставить координаты каждой точки $(x; y)$ в это уравнение. Если в результате подстановки получается верное числовое равенство, то точка принадлежит графику.

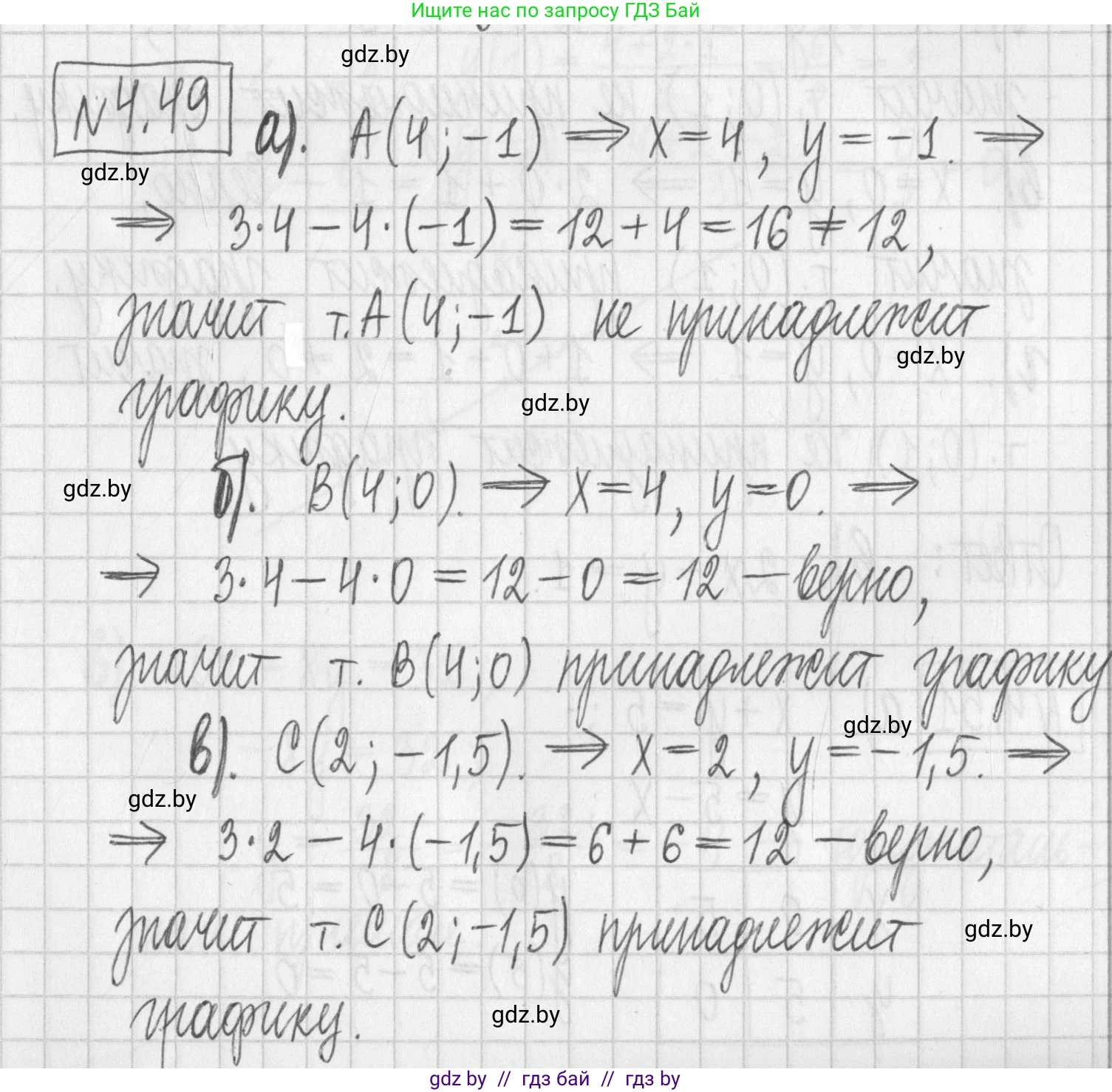
а) A(4; -1)
Подставляем координаты точки A, где $x=4$ и $y=-1$, в уравнение:
$3 \cdot 4 - 4 \cdot (-1) = 12 + 4 = 16$.
Так как $16 \neq 12$, равенство неверное.
Ответ: точка A не принадлежит графику.

б) B(4; 0)
Подставляем координаты точки B, где $x=4$ и $y=0$, в уравнение:
$3 \cdot 4 - 4 \cdot 0 = 12 - 0 = 12$.
Так как $12 = 12$, равенство верное.
Ответ: точка B принадлежит графику.

в) C(2; -1,5)
Подставляем координаты точки C, где $x=2$ и $y=-1,5$, в уравнение:
$3 \cdot 2 - 4 \cdot (-1,5) = 6 + 6 = 12$.
Так как $12 = 12$, равенство верное.
Ответ: точка C принадлежит графику.

г) D(0; -3)
Подставляем координаты точки D, где $x=0$ и $y=-3$, в уравнение:
$3 \cdot 0 - 4 \cdot (-3) = 0 + 12 = 12$.
Так как $12 = 12$, равенство верное.
Ответ: точка D принадлежит графику.

Помогло решение? Оставьте отзыв в комментариях ниже.

Присоединяйтесь к Телеграм-группе @gdz_by_belarus

Присоединиться

Мы подготовили для вас ответ c подробным объяснением домашего задания по алгебре за 7 класс, для упражнения номер 4.49 расположенного на странице 267 к учебнику 2022 года издания для учащихся школ и гимназий.

Теперь на нашем сайте ГДЗ.ТОП вы всегда легко и бесплатно найдёте условие с правильным ответом на вопрос «Как решить ДЗ» и «Как сделать» задание по алгебре к упражнению №4.49 (с. 267), авторов: Арефьева (Ирина Глебовна), Пирютко (Ольга Николаевна), учебного пособия издательства Народная асвета.