Номер 4.24, страница 261 - гдз по алгебре 7 класс учебник Арефьева, Пирютко

Алгебра, 7 класс Учебник, авторы: Арефьева Ирина Глебовна, Пирютко Ольга Николаевна, издательство Народная асвета, Минск, 2022, зелёного цвета

Авторы: Арефьева И. Г., Пирютко О. Н.

Тип: Учебник

Издательство: Народная асвета

Год издания: 2022 - 2025

Цвет обложки: зелёный с графиком

ISBN: ISBN 978-985-03-3770-2

Допущено Министерством образования Республики Беларусь

Популярные ГДЗ в 7 классе

Глава 4. Системы двух линейных уравнений с двумя переменными. Параграф 21. Линейное уравнение с двумя переменными - номер 4.24, страница 261.

№4.24 (с. 261)
Условие. №4.24 (с. 261)
скриншот условия
Алгебра, 7 класс Учебник, авторы: Арефьева Ирина Глебовна, Пирютко Ольга Николаевна, издательство Народная асвета, Минск, 2022, зелёного цвета, страница 261, номер 4.24, Условие

4.24. Выразите x через y в уравнении:

а) $x + 7y = 1;$

б) $3x - 12y = 5;$

в) $-x + 6y = 5;$

г) $0,5x - 8y = -7;$

д) $\frac{2}{3}x + \frac{7}{6}y = 4;$

е) $1,3x - y = \frac{13}{15}. $

Для каждого уравнения найдите два каких-либо его решения.

Решение. №4.24 (с. 261)
Алгебра, 7 класс Учебник, авторы: Арефьева Ирина Глебовна, Пирютко Ольга Николаевна, издательство Народная асвета, Минск, 2022, зелёного цвета, страница 261, номер 4.24, Решение Алгебра, 7 класс Учебник, авторы: Арефьева Ирина Глебовна, Пирютко Ольга Николаевна, издательство Народная асвета, Минск, 2022, зелёного цвета, страница 261, номер 4.24, Решение (продолжение 2)
Решение 2. №4.24 (с. 261)

Для каждого уравнения мы сначала выразим переменную x через y, а затем найдем два частных решения, подставляя произвольные значения y.


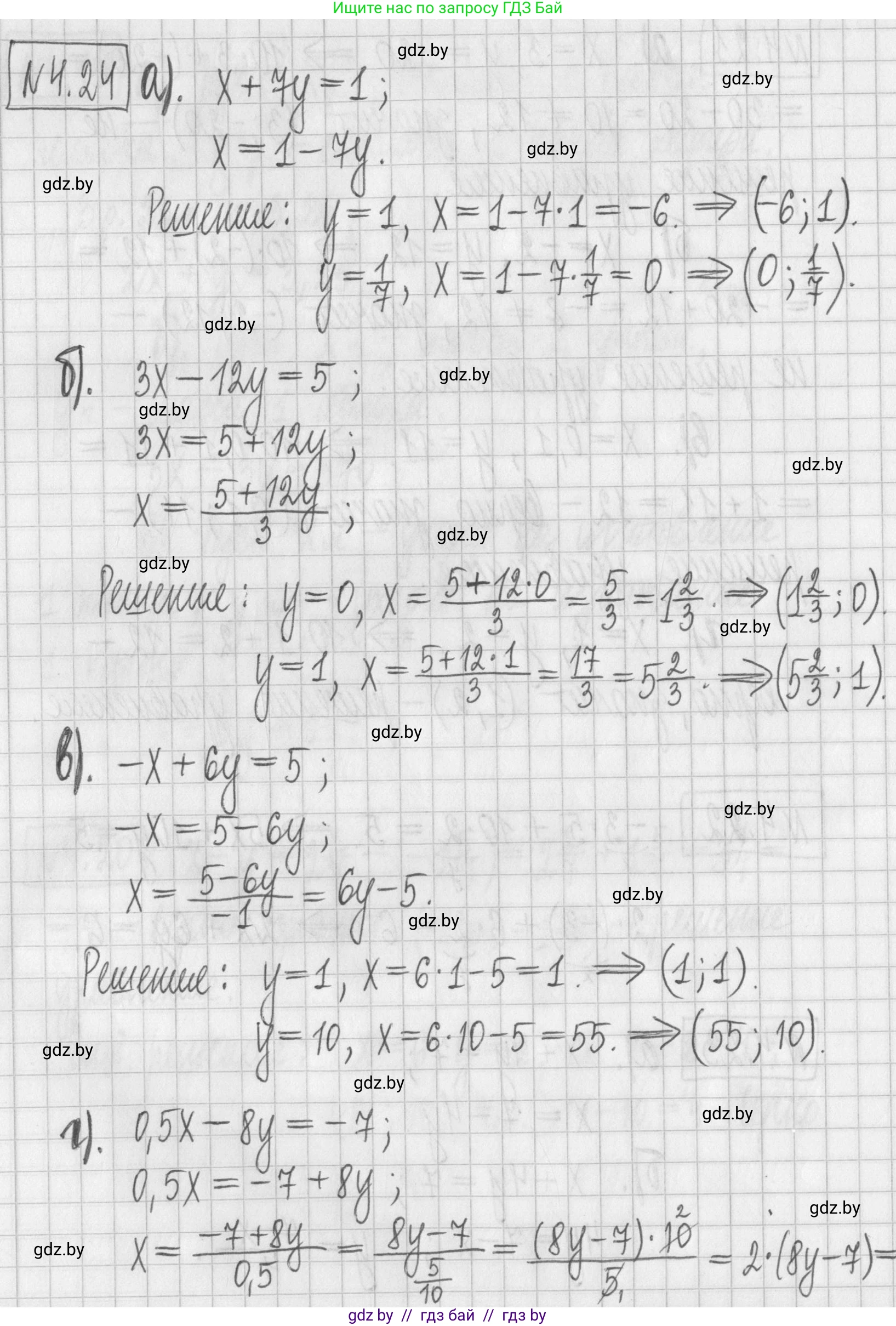
а) $x + 7y = 1$

Чтобы выразить x, перенесем слагаемое $7y$ в правую часть уравнения, изменив его знак:

$x = 1 - 7y$

Теперь найдем два решения. Выберем произвольные значения для y.

  1. Пусть $y = 0$, тогда $x = 1 - 7 \cdot 0 = 1$. Первое решение: $(1; 0)$.
  2. Пусть $y = 1$, тогда $x = 1 - 7 \cdot 1 = 1 - 7 = -6$. Второе решение: $(-6; 1)$.

Ответ: $x = 1 - 7y$; решения, например, $(1; 0)$ и $(-6; 1)$.


б) $3x - 12y = 5$

Сначала перенесем $-12y$ в правую часть уравнения:

$3x = 5 + 12y$

Теперь разделим обе части уравнения на 3:

$x = \frac{5 + 12y}{3} = \frac{5}{3} + \frac{12y}{3} = \frac{5}{3} + 4y$

Найдем два решения:

  1. Пусть $y = 0$, тогда $x = \frac{5}{3} + 4 \cdot 0 = \frac{5}{3} = 1\frac{2}{3}$. Первое решение: $(1\frac{2}{3}; 0)$.
  2. Пусть $y = 1$, тогда $x = \frac{5}{3} + 4 \cdot 1 = \frac{5}{3} + 4 = \frac{5+12}{3} = \frac{17}{3} = 5\frac{2}{3}$. Второе решение: $(5\frac{2}{3}; 1)$.

Ответ: $x = 4y + \frac{5}{3}$; решения, например, $(\textbf{1}\frac{2}{3}; 0)$ и $(\textbf{5}\frac{2}{3}; 1)$.


в) $-x + 6y = 5$

Перенесем $6y$ в правую часть:

$-x = 5 - 6y$

Умножим обе части на -1, чтобы выразить x:

$x = -(5 - 6y) = 6y - 5$

Найдем два решения:

  1. Пусть $y = 1$, тогда $x = 6 \cdot 1 - 5 = 1$. Первое решение: $(1; 1)$.
  2. Пусть $y = 2$, тогда $x = 6 \cdot 2 - 5 = 12 - 5 = 7$. Второе решение: $(7; 2)$.

Ответ: $x = 6y - 5$; решения, например, $(1; 1)$ и $(7; 2)$.


г) $0,5x - 8y = -7$

Перенесем $-8y$ в правую часть:

$0,5x = 8y - 7$

Умножим обе части уравнения на 2 (поскольку $0,5 = 1/2$):

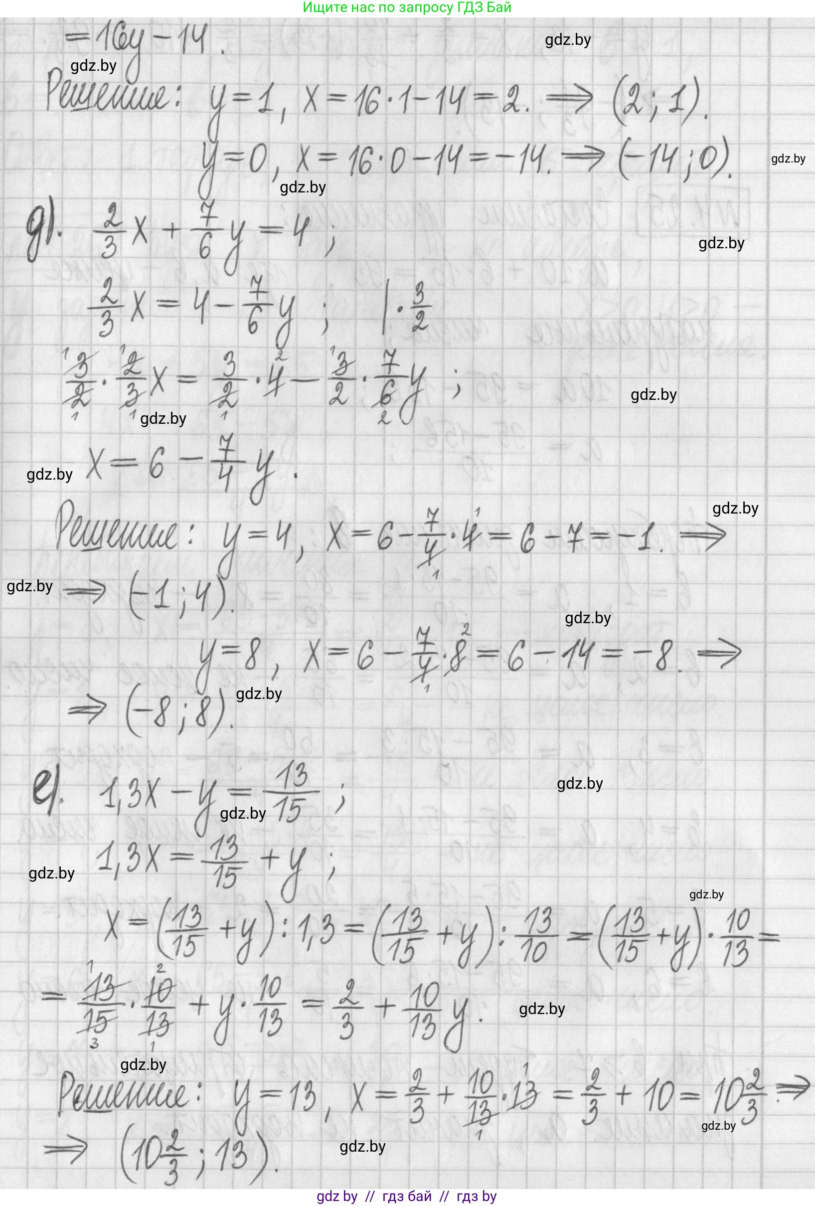
$x = 2(8y - 7) = 16y - 14$

Найдем два решения:

  1. Пусть $y = 1$, тогда $x = 16 \cdot 1 - 14 = 2$. Первое решение: $(2; 1)$.
  2. Пусть $y = 0$, тогда $x = 16 \cdot 0 - 14 = -14$. Второе решение: $(-14; 0)$.

Ответ: $x = 16y - 14$; решения, например, $(2; 1)$ и $(-14; 0)$.


д) $\frac{2}{3}x + \frac{7}{6}y = 4$

Для избавления от дробей умножим обе части уравнения на наименьший общий знаменатель (6):

$6 \cdot (\frac{2}{3}x) + 6 \cdot (\frac{7}{6}y) = 6 \cdot 4$

$4x + 7y = 24$

Теперь выразим x:

$4x = 24 - 7y$

$x = \frac{24 - 7y}{4} = 6 - \frac{7}{4}y$

Найдем два решения:

  1. Пусть $y = 0$, тогда $x = 6 - \frac{7}{4} \cdot 0 = 6$. Первое решение: $(6; 0)$.
  2. Пусть $y = 2$, тогда $x = 6 - \frac{7}{4} \cdot 2 = 6 - \frac{7}{2} = \frac{12-7}{2} = \frac{5}{2} = 2\frac{1}{2}$. Второе решение: $(2\frac{1}{2}; 2)$.

Ответ: $x = 6 - \frac{7}{4}y$; решения, например, $(6; 0)$ и $(\textbf{2}\frac{1}{2}; 2)$.


е) $1,3x - y = \frac{13}{15}$

Представим $1,3$ в виде дроби $\frac{13}{10}$ и перенесем y в правую часть:

$\frac{13}{10}x = y + \frac{13}{15}$

Умножим обе части на обратную дробь $\frac{10}{13}$, чтобы выразить x:

$x = \frac{10}{13} \cdot (y + \frac{13}{15}) = \frac{10}{13}y + \frac{10}{13} \cdot \frac{13}{15} = \frac{10}{13}y + \frac{10}{15}$

Упростим вторую дробь: $x = \frac{10}{13}y + \frac{2}{3}$

Найдем два решения:

  1. Пусть $y = 0$, тогда $x = \frac{10}{13} \cdot 0 + \frac{2}{3} = \frac{2}{3}$. Первое решение: $(\frac{2}{3}; 0)$.
  2. Пусть $y = 13$, тогда $x = \frac{10}{13} \cdot 13 + \frac{2}{3} = 10 + \frac{2}{3} = 10\frac{2}{3}$. Второе решение: $(10\frac{2}{3}; 13)$.

Ответ: $x = \frac{10}{13}y + \frac{2}{3}$; решения, например, $(\frac{2}{3}; 0)$ и $(\textbf{10}\frac{2}{3}; 13)$.

Помогло решение? Оставьте отзыв в комментариях ниже.

Присоединяйтесь к Телеграм-группе @gdz_by_belarus

Присоединиться

Мы подготовили для вас ответ c подробным объяснением домашего задания по алгебре за 7 класс, для упражнения номер 4.24 расположенного на странице 261 к учебнику 2022 года издания для учащихся школ и гимназий.

Теперь на нашем сайте ГДЗ.ТОП вы всегда легко и бесплатно найдёте условие с правильным ответом на вопрос «Как решить ДЗ» и «Как сделать» задание по алгебре к упражнению №4.24 (с. 261), авторов: Арефьева (Ирина Глебовна), Пирютко (Ольга Николаевна), учебного пособия издательства Народная асвета.