Номер 4.164, страница 297 - гдз по алгебре 7 класс учебник Арефьева, Пирютко

Алгебра, 7 класс Учебник, авторы: Арефьева Ирина Глебовна, Пирютко Ольга Николаевна, издательство Народная асвета, Минск, 2022, зелёного цвета

Авторы: Арефьева И. Г., Пирютко О. Н.

Тип: Учебник

Издательство: Народная асвета

Год издания: 2022 - 2025

Цвет обложки: зелёный с графиком

ISBN: ISBN 978-985-03-3770-2

Допущено Министерством образования Республики Беларусь

Популярные ГДЗ в 7 классе

Глава 4. Системы двух линейных уравнений с двумя переменными. Параграф 25. Решение текстовых задач с помощью системы линейных уравнений - номер 4.164, страница 297.

№4.164 (с. 297)
Условие. №4.164 (с. 297)
скриншот условия
Алгебра, 7 класс Учебник, авторы: Арефьева Ирина Глебовна, Пирютко Ольга Николаевна, издательство Народная асвета, Минск, 2022, зелёного цвета, страница 297, номер 4.164, Условие

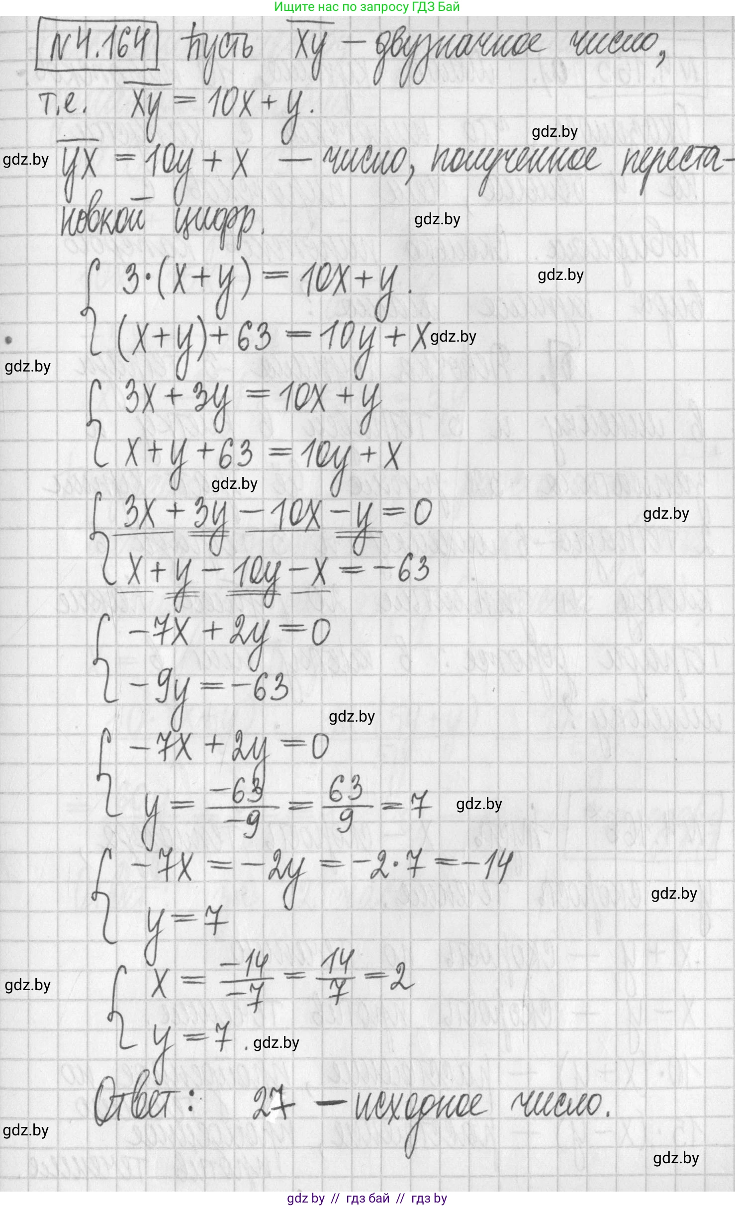
4.164. Утроенная сумма цифр некоторого двузначного числа дает исходное число. Сумма цифр этого числа и 63 дает двузначное число, перестановка цифр которого дает данное число. Найдите данное число.

Решение. №4.164 (с. 297)
Алгебра, 7 класс Учебник, авторы: Арефьева Ирина Глебовна, Пирютко Ольга Николаевна, издательство Народная асвета, Минск, 2022, зелёного цвета, страница 297, номер 4.164, Решение
Решение 2. №4.164 (с. 297)

Для решения задачи обозначим искомое двузначное число как $\overline{ab}$, где $a$ — это цифра десятков, а $b$ — цифра единиц. В десятичной системе счисления это число записывается как $10a + b$. При этом $a$ является целым числом от 1 до 9, а $b$ — целым числом от 0 до 9.

Составим систему уравнений на основе условий, данных в задаче.

1. Утроенная сумма цифр дает исходное число.

Сумма цифр числа равна $a+b$. Согласно первому условию, утроенная сумма цифр равна исходному числу:

$3(a + b) = 10a + b$

Упростим это уравнение:

$3a + 3b = 10a + b$

$3b - b = 10a - 3a$

$2b = 7a$

2. Сумма цифр этого числа и 63 дает число, полученное перестановкой цифр исходного.

Число, полученное перестановкой цифр исходного числа $\overline{ab}$, это число $\overline{ba}$, которое равно $10b + a$.

Сумма цифр исходного числа, сложенная с 63, равна этому новому числу:

$(a + b) + 63 = 10b + a$

Упростим второе уравнение, вычтя $a$ из обеих частей:

$b + 63 = 10b$

$63 = 10b - b$

$63 = 9b$

3. Решение полученной системы уравнений.

Мы имеем систему из двух уравнений с двумя неизвестными:

$ \begin{cases} 2b = 7a \\ 9b = 63 \end{cases} $

Из второго уравнения легко найти значение $b$:

$b = \frac{63}{9}$

$b = 7$

Теперь подставим найденное значение $b=7$ в первое уравнение, чтобы найти $a$:

$2 \cdot 7 = 7a$

$14 = 7a$

$a = \frac{14}{7}$

$a = 2$

Таким образом, цифра десятков $a=2$, а цифра единиц $b=7$. Искомое двузначное число — 27.

4. Проверка.

Выполним проверку, чтобы убедиться в правильности решения.

  • Проверка первого условия: утроенная сумма цифр $3 \cdot (2+7) = 3 \cdot 9 = 27$. Это равно исходному числу 27. Условие выполнено.
  • Проверка второго условия: сумма цифр плюс 63 равна $(2+7) + 63 = 9 + 63 = 72$. Число 72 — это число 27 с переставленными цифрами. Условие выполнено.

Решение найдено верно.

Ответ: 27

Помогло решение? Оставьте отзыв в комментариях ниже.

Присоединяйтесь к Телеграм-группе @gdz_by_belarus

Присоединиться

Мы подготовили для вас ответ c подробным объяснением домашего задания по алгебре за 7 класс, для упражнения номер 4.164 расположенного на странице 297 к учебнику 2022 года издания для учащихся школ и гимназий.

Теперь на нашем сайте ГДЗ.ТОП вы всегда легко и бесплатно найдёте условие с правильным ответом на вопрос «Как решить ДЗ» и «Как сделать» задание по алгебре к упражнению №4.164 (с. 297), авторов: Арефьева (Ирина Глебовна), Пирютко (Ольга Николаевна), учебного пособия издательства Народная асвета.