Номер 4.176, страница 298 - гдз по алгебре 7 класс учебник Арефьева, Пирютко

Алгебра, 7 класс Учебник, авторы: Арефьева Ирина Глебовна, Пирютко Ольга Николаевна, издательство Народная асвета, Минск, 2022, зелёного цвета

Авторы: Арефьева И. Г., Пирютко О. Н.

Тип: Учебник

Издательство: Народная асвета

Год издания: 2022 - 2025

Цвет обложки: зелёный с графиком

ISBN: ISBN 978-985-03-3770-2

Допущено Министерством образования Республики Беларусь

Популярные ГДЗ в 7 классе

Глава 4. Системы двух линейных уравнений с двумя переменными. Параграф 25. Решение текстовых задач с помощью системы линейных уравнений - номер 4.176, страница 298.

№4.176 (с. 298)
Условие. №4.176 (с. 298)
скриншот условия
Алгебра, 7 класс Учебник, авторы: Арефьева Ирина Глебовна, Пирютко Ольга Николаевна, издательство Народная асвета, Минск, 2022, зелёного цвета, страница 298, номер 4.176, Условие

4.176. Сумма двух чисел равна 85. Найдите эти числа, если известно, что $\frac{3}{4}$ одного равны $\frac{2}{3}$ другого.

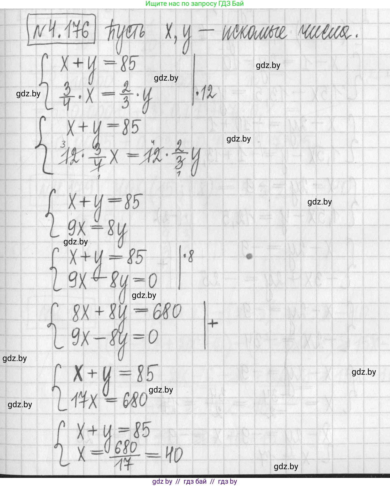
Решение. №4.176 (с. 298)
Алгебра, 7 класс Учебник, авторы: Арефьева Ирина Глебовна, Пирютко Ольга Николаевна, издательство Народная асвета, Минск, 2022, зелёного цвета, страница 298, номер 4.176, Решение Алгебра, 7 класс Учебник, авторы: Арефьева Ирина Глебовна, Пирютко Ольга Николаевна, издательство Народная асвета, Минск, 2022, зелёного цвета, страница 298, номер 4.176, Решение (продолжение 2)
Решение 2. №4.176 (с. 298)

Обозначим первое искомое число как $x$, а второе как $y$.

Согласно условию задачи, сумма этих двух чисел равна 85. Это можно записать в виде уравнения:

$x + y = 85$

Также из условия известно, что $\frac{3}{4}$ первого числа равны $\frac{2}{3}$ второго. Запишем второе уравнение:

$\frac{3}{4}x = \frac{2}{3}y$

Мы получили систему из двух линейных уравнений с двумя неизвестными:

$$ \begin{cases} x + y = 85 \\ \frac{3}{4}x = \frac{2}{3}y \end{cases} $$

Для решения системы выразим $x$ из второго уравнения через $y$:

$x = \frac{2}{3}y \div \frac{3}{4} = \frac{2}{3}y \cdot \frac{4}{3} = \frac{8}{9}y$

Теперь подставим полученное выражение для $x$ в первое уравнение:

$\frac{8}{9}y + y = 85$

Для сложения приведем $y$ к общему знаменателю 9:

$\frac{8}{9}y + \frac{9}{9}y = 85$

$\frac{17}{9}y = 85$

Второе число:
Найдем значение $y$ из полученного уравнения:
$y = 85 \div \frac{17}{9} = 85 \cdot \frac{9}{17}$
Так как $85 = 5 \cdot 17$, мы можем сократить дробь:
$y = \frac{5 \cdot 17 \cdot 9}{17} = 5 \cdot 9 = 45$
Ответ: 45

Первое число:
Теперь, зная $y$, найдем $x$ из первого уравнения $x + y = 85$:
$x + 45 = 85$
$x = 85 - 45 = 40$
Ответ: 40

Проверка:
1. Сумма чисел: $40 + 45 = 85$.
2. Равенство долей: $\frac{3}{4} \cdot 40 = 3 \cdot 10 = 30$ и $\frac{2}{3} \cdot 45 = 2 \cdot 15 = 30$.
Оба условия выполняются.

Помогло решение? Оставьте отзыв в комментариях ниже.

Присоединяйтесь к Телеграм-группе @gdz_by_belarus

Присоединиться

Мы подготовили для вас ответ c подробным объяснением домашего задания по алгебре за 7 класс, для упражнения номер 4.176 расположенного на странице 298 к учебнику 2022 года издания для учащихся школ и гимназий.

Теперь на нашем сайте ГДЗ.ТОП вы всегда легко и бесплатно найдёте условие с правильным ответом на вопрос «Как решить ДЗ» и «Как сделать» задание по алгебре к упражнению №4.176 (с. 298), авторов: Арефьева (Ирина Глебовна), Пирютко (Ольга Николаевна), учебного пособия издательства Народная асвета.