Номер 1.104, страница 40 - гдз по алгебре 8 класс учебник Арефьева, Пирютко

Алгебра, 8 класс Учебник, авторы: Арефьева Ирина Глебовна, Пирютко Ольга Николаевна, издательство Адукацыя i выхаванне, Минск, 2024, бирюзового цвета

Авторы: Арефьева И. Г., Пирютко О. Н.

Тип: Учебник

Издательство: Адукацыя i выхаванне

Год издания: 2024 - 2025

Цвет обложки: бирюзовый с графиком

ISBN: ISBN 978-985-03-4081-8

Допущено Министерством образования Республики Беларусь

Популярные ГДЗ в 8 классе

Глава 1. Квадратные корни и их свойства. Действительные числа. Параграф 3. Свойства квадратных корней - номер 1.104, страница 40.

№1.104 (с. 40)
Условие. №1.104 (с. 40)
скриншот условия
Алгебра, 8 класс Учебник, авторы: Арефьева Ирина Глебовна, Пирютко Ольга Николаевна, издательство Адукацыя i выхаванне, Минск, 2024, бирюзового цвета, страница 40, номер 1.104, Условие

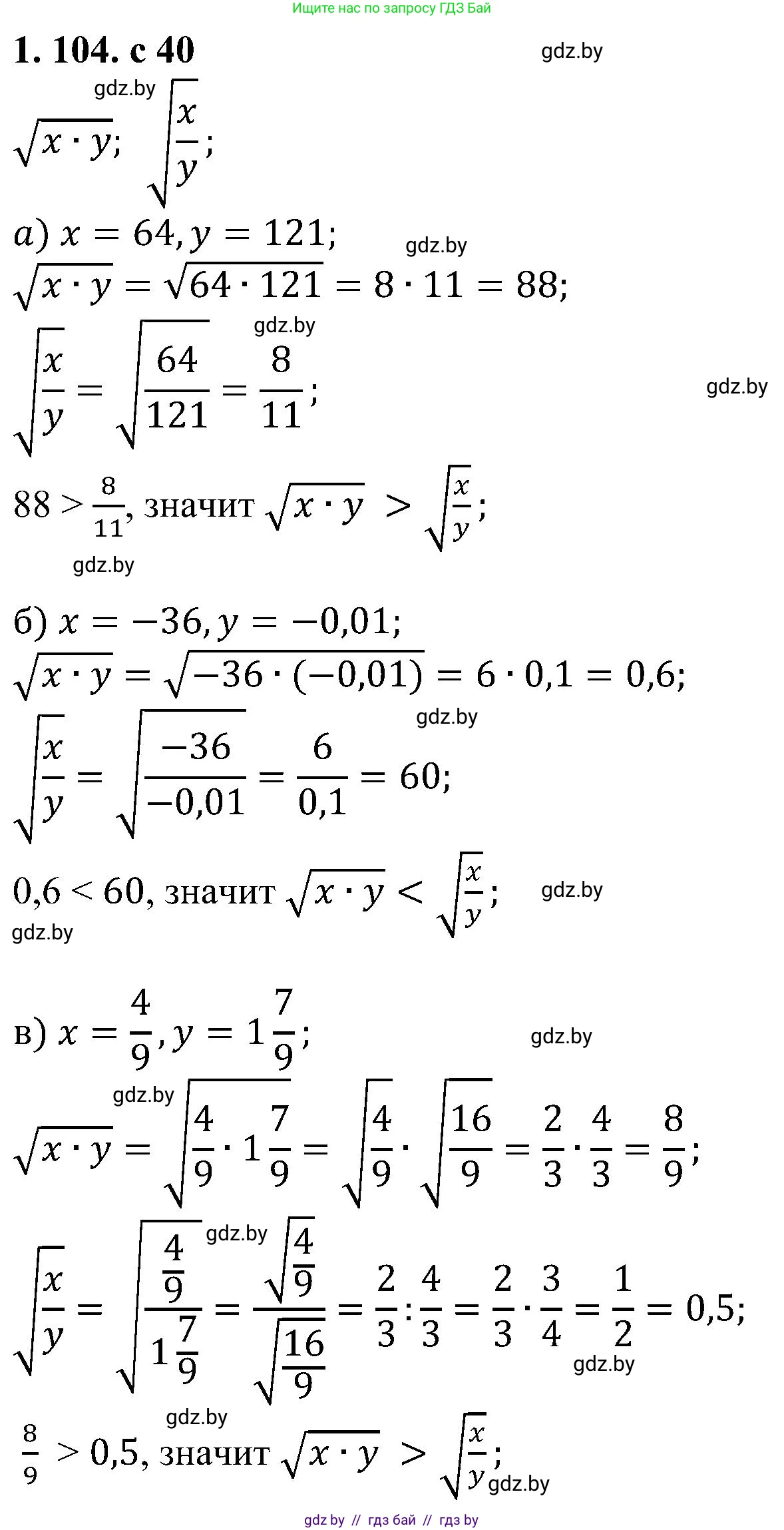
1.104. Сравните значения выражений $\sqrt{x \cdot y}$ и $\sqrt{\frac{x}{y}}$, если:

а) $x = 64, y = 121;$

б) $x = -36, y = -0,01;$

в) $x = \frac{4}{9}, y = 1\frac{7}{9};$

г) $x = -0,04, y = -2,56.$

Можно ли найти значения данных выражений, если числа $x$ и $y$ разных знаков?

Решение. №1.104 (с. 40)
Алгебра, 8 класс Учебник, авторы: Арефьева Ирина Глебовна, Пирютко Ольга Николаевна, издательство Адукацыя i выхаванне, Минск, 2024, бирюзового цвета, страница 40, номер 1.104, Решение Алгебра, 8 класс Учебник, авторы: Арефьева Ирина Глебовна, Пирютко Ольга Николаевна, издательство Адукацыя i выхаванне, Минск, 2024, бирюзового цвета, страница 40, номер 1.104, Решение (продолжение 2)
Решение 2. №1.104 (с. 40)

а) Для $x = 64$ и $y = 121$:
Найдем значение выражения $\sqrt{x \cdot y}$:
$\sqrt{x \cdot y} = \sqrt{64 \cdot 121} = \sqrt{64} \cdot \sqrt{121} = 8 \cdot 11 = 88$.
Найдем значение выражения $\sqrt{\frac{x}{y}}$:
$\sqrt{\frac{x}{y}} = \sqrt{\frac{64}{121}} = \frac{\sqrt{64}}{\sqrt{121}} = \frac{8}{11}$.
Сравниваем полученные значения: $88 > \frac{8}{11}$.
Ответ: $\sqrt{x \cdot y} > \sqrt{\frac{x}{y}}$.

б) Для $x = -36$ и $y = -0,01$:
Поскольку $x$ и $y$ оба отрицательны, их произведение и частное будут положительными, и корни можно извлечь.
Найдем значение выражения $\sqrt{x \cdot y}$:
$\sqrt{x \cdot y} = \sqrt{(-36) \cdot (-0,01)} = \sqrt{0,36} = 0,6$.
Найдем значение выражения $\sqrt{\frac{x}{y}}$:
$\sqrt{\frac{x}{y}} = \sqrt{\frac{-36}{-0,01}} = \sqrt{3600} = 60$.
Сравниваем полученные значения: $0,6 < 60$.
Ответ: $\sqrt{x \cdot y} < \sqrt{\frac{x}{y}}$.

в) Для $x = \frac{4}{9}$ и $y = 1\frac{7}{9}$:
Сначала преобразуем смешанное число в неправильную дробь: $y = 1\frac{7}{9} = \frac{1 \cdot 9 + 7}{9} = \frac{16}{9}$.
Найдем значение выражения $\sqrt{x \cdot y}$:
$\sqrt{x \cdot y} = \sqrt{\frac{4}{9} \cdot \frac{16}{9}} = \sqrt{\frac{64}{81}} = \frac{8}{9}$.
Найдем значение выражения $\sqrt{\frac{x}{y}}$:
$\sqrt{\frac{x}{y}} = \sqrt{\frac{4/9}{16/9}} = \sqrt{\frac{4}{9} \cdot \frac{9}{16}} = \sqrt{\frac{4}{16}} = \sqrt{\frac{1}{4}} = \frac{1}{2}$.
Сравниваем полученные значения $\frac{8}{9}$ и $\frac{1}{2}$. Приведя к общему знаменателю, получаем $\frac{16}{18}$ и $\frac{9}{18}$. Так как $16 > 9$, то $\frac{8}{9} > \frac{1}{2}$.
Ответ: $\sqrt{x \cdot y} > \sqrt{\frac{x}{y}}$.

г) Для $x = -0,04$ и $y = -2,56$:
Поскольку $x$ и $y$ оба отрицательны, их произведение и частное будут положительными.
Найдем значение выражения $\sqrt{x \cdot y}$:
$\sqrt{x \cdot y} = \sqrt{(-0,04) \cdot (-2,56)} = \sqrt{0,1024} = 0,32$.
Найдем значение выражения $\sqrt{\frac{x}{y}}$:
$\sqrt{\frac{x}{y}} = \sqrt{\frac{-0,04}{-2,56}} = \sqrt{\frac{4}{256}} = \sqrt{\frac{1}{64}} = \frac{1}{8} = 0,125$.
Сравниваем полученные значения: $0,32 > 0,125$.
Ответ: $\sqrt{x \cdot y} > \sqrt{\frac{x}{y}}$.

Можно ли найти значения данных выражений, если числа x и y разных знаков?
Нет, найти значения выражений $\sqrt{x \cdot y}$ и $\sqrt{\frac{x}{y}}$ в области действительных чисел нельзя, если $x$ и $y$ имеют разные знаки.
Арифметический квадратный корень ($\sqrt{a}$) определен только для неотрицательных значений подкоренного выражения ($a \ge 0$). Если числа $x$ и $y$ имеют разные знаки (одно положительное, другое отрицательное), то их произведение $x \cdot y$ и их частное $\frac{x}{y}$ всегда будут отрицательными числами.
Например, если $x > 0$ и $y < 0$, то $x \cdot y < 0$ и $\frac{x}{y} < 0$. Извлечь квадратный корень из отрицательного числа в множестве действительных чисел невозможно.
Ответ: Нет, нельзя, так как подкоренное выражение будет отрицательным, а квадратный корень из отрицательного числа не определен в области действительных чисел.

Помогло решение? Оставьте отзыв в комментариях ниже.

Присоединяйтесь к Телеграм-группе @gdz_by_belarus

Присоединиться

Мы подготовили для вас ответ c подробным объяснением домашего задания по алгебре за 8 класс, для упражнения номер 1.104 расположенного на странице 40 к учебнику 2024 года издания для учащихся школ и гимназий.

Теперь на нашем сайте ГДЗ.ТОП вы всегда легко и бесплатно найдёте условие с правильным ответом на вопрос «Как решить ДЗ» и «Как сделать» задание по алгебре к упражнению №1.104 (с. 40), авторов: Арефьева (Ирина Глебовна), Пирютко (Ольга Николаевна), учебного пособия издательства Адукацыя i выхаванне.