Номер 2.234, страница 146 - гдз по алгебре 8 класс учебник Арефьева, Пирютко
Авторы: Арефьева И. Г., Пирютко О. Н.
Тип: Учебник
Издательство: Адукацыя i выхаванне
Год издания: 2024 - 2025
Цвет обложки: бирюзовый с графиком
ISBN: ISBN 978-985-03-4081-8
Допущено Министерством образования Республики Беларусь
Популярные ГДЗ в 8 классе
Глава 2. Квадратные уравнения. Параграф 12. Решение целых рациональных уравнений, сводящихся к квадратным уравнениям - номер 2.234, страница 146.
№2.234 (с. 146)
Условие. №2.234 (с. 146)
скриншот условия
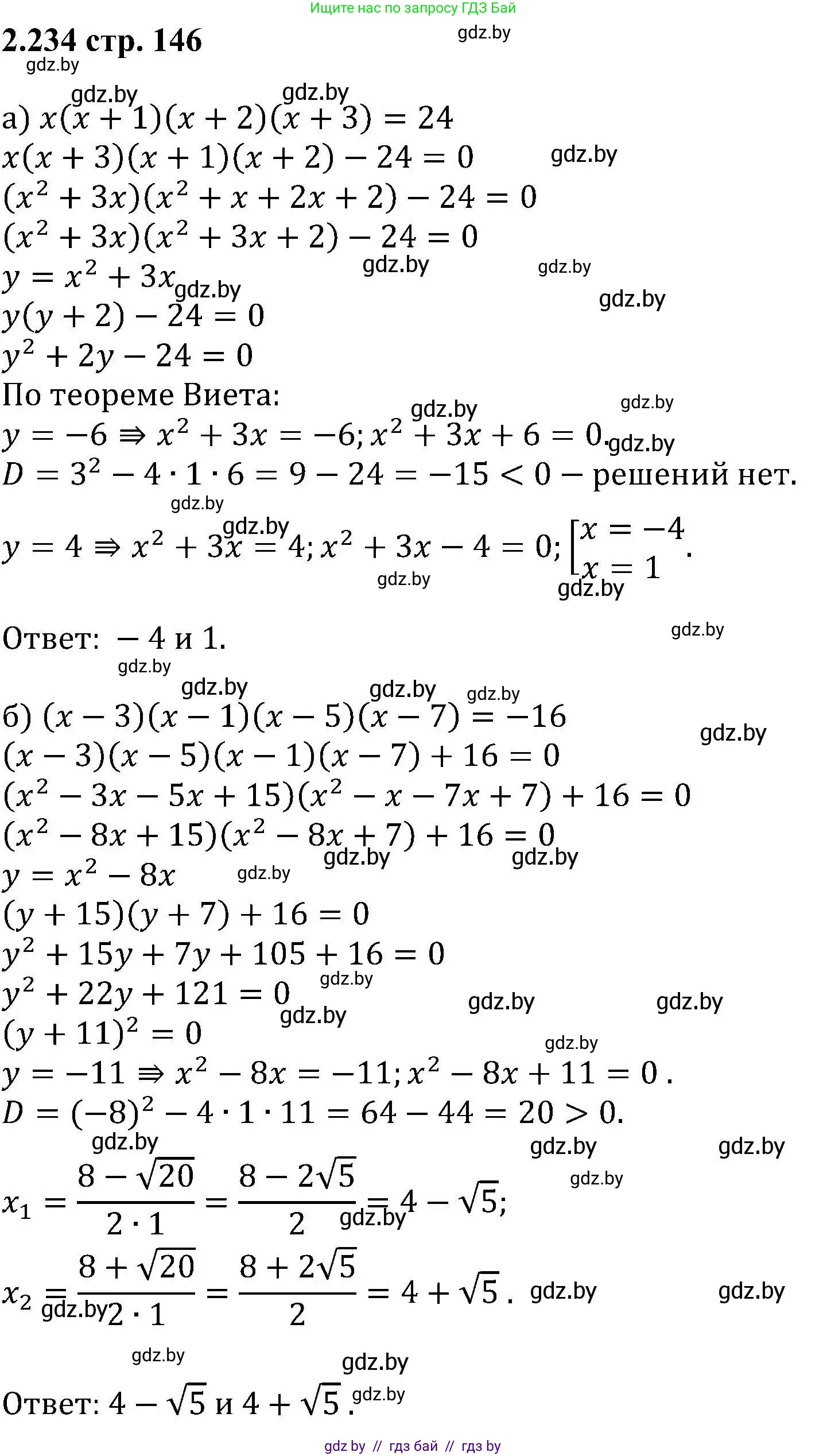
2.234. Решите уравнение:
a) $x(x + 1)(x + 2)(x + 3) = 24;$
б) $(x - 3)(x - 1)(x - 5)(x - 7) = -16.$
Решение. №2.234 (с. 146)
Решение 2. №2.234 (с. 146)
а) $x(x+1)(x+2)(x+3) = 24$
Данное уравнение является уравнением четвертой степени. Для его решения сгруппируем множители таким образом, чтобы получить одинаковое выражение при раскрытии скобок. Сгруппируем первый множитель с четвертым, а второй с третьим:
$(x(x+3)) \cdot ((x+1)(x+2)) = 24$
Раскроем скобки в каждой группе:
$(x^2 + 3x)(x^2 + 3x + 2) = 24$
Теперь введем замену переменной. Пусть $y = x^2 + 3x$. Тогда уравнение примет вид:
$y(y+2) = 24$
Раскроем скобки и решим полученное квадратное уравнение относительно $y$:
$y^2 + 2y - 24 = 0$
По теореме Виета находим корни: $y_1 \cdot y_2 = -24$ и $y_1 + y_2 = -2$. Корнями являются $y_1 = 4$ и $y_2 = -6$.
Выполним обратную замену для каждого найденного значения $y$.
1. Если $y = 4$, то:
$x^2 + 3x = 4$
$x^2 + 3x - 4 = 0$
По теореме Виета находим корни: $x_1 \cdot x_2 = -4$ и $x_1 + x_2 = -3$. Корнями являются $x_1 = 1$ и $x_2 = -4$.
2. Если $y = -6$, то:
$x^2 + 3x = -6$
$x^2 + 3x + 6 = 0$
Найдем дискриминант этого квадратного уравнения: $D = b^2 - 4ac = 3^2 - 4 \cdot 1 \cdot 6 = 9 - 24 = -15$.
Поскольку дискриминант $D < 0$, действительных корней у этого уравнения нет.
Таким образом, решениями исходного уравнения являются только $x=1$ и $x=-4$.
Ответ: 1; -4.
б) $(x-3)(x-1)(x-5)(x-7) = -16$
Сгруппируем множители так, чтобы суммы свободных членов в парах были равны. Заметим, что $(-1) + (-7) = -8$ и $(-3) + (-5) = -8$.
$((x-1)(x-7)) \cdot ((x-3)(x-5)) = -16$
Раскроем скобки в каждой группе:
$(x^2 - 8x + 7)(x^2 - 8x + 15) = -16$
Введем замену переменной. Пусть $t = x^2 - 8x$. Уравнение примет вид:
$(t+7)(t+15) = -16$
Раскроем скобки и решим полученное квадратное уравнение относительно $t$:
$t^2 + 15t + 7t + 105 = -16$
$t^2 + 22t + 121 = 0$
Это выражение является полным квадратом:
$(t+11)^2 = 0$
Отсюда $t+11 = 0$, следовательно, $t = -11$.
Выполним обратную замену:
$x^2 - 8x = -11$
$x^2 - 8x + 11 = 0$
Решим это квадратное уравнение с помощью формулы для корней квадратного уравнения $x = \frac{-b \pm \sqrt{D}}{2a}$, где $D = b^2 - 4ac$.
Найдем дискриминант: $D = (-8)^2 - 4 \cdot 1 \cdot 11 = 64 - 44 = 20$.
Найдем корни:
$x = \frac{8 \pm \sqrt{20}}{2} = \frac{8 \pm \sqrt{4 \cdot 5}}{2} = \frac{8 \pm 2\sqrt{5}}{2} = 4 \pm \sqrt{5}$.
Таким образом, решениями исходного уравнения являются $x_1 = 4 + \sqrt{5}$ и $x_2 = 4 - \sqrt{5}$.
Ответ: 4 $\pm \sqrt{5}$.
Другие задания:
Помогло решение? Оставьте отзыв в комментариях ниже.
Присоединяйтесь к Телеграм-группе @gdz_by_belarus
ПрисоединитьсяМы подготовили для вас ответ c подробным объяснением домашего задания по алгебре за 8 класс, для упражнения номер 2.234 расположенного на странице 146 к учебнику 2024 года издания для учащихся школ и гимназий.
Теперь на нашем сайте ГДЗ.ТОП вы всегда легко и бесплатно найдёте условие с правильным ответом на вопрос «Как решить ДЗ» и «Как сделать» задание по алгебре к упражнению №2.234 (с. 146), авторов: Арефьева (Ирина Глебовна), Пирютко (Ольга Николаевна), учебного пособия издательства Адукацыя i выхаванне.