Номер 2, страница 212 - гдз по алгебре 8 класс учебник Арефьева, Пирютко

Алгебра, 8 класс Учебник, авторы: Арефьева Ирина Глебовна, Пирютко Ольга Николаевна, издательство Адукацыя i выхаванне, Минск, 2024, бирюзового цвета

Авторы: Арефьева И. Г., Пирютко О. Н.

Тип: Учебник

Издательство: Адукацыя i выхаванне

Год издания: 2024 - 2025

Цвет обложки: бирюзовый с графиком

ISBN: ISBN 978-985-03-4081-8

Допущено Министерством образования Республики Беларусь

Популярные ГДЗ в 8 классе

Глава 3. Квадратичная функция. Практическая математика - номер 2, страница 212.

№2 (с. 212)
Условие. №2 (с. 212)
скриншот условия
Алгебра, 8 класс Учебник, авторы: Арефьева Ирина Глебовна, Пирютко Ольга Николаевна, издательство Адукацыя i выхаванне, Минск, 2024, бирюзового цвета, страница 212, номер 2, Условие Алгебра, 8 класс Учебник, авторы: Арефьева Ирина Глебовна, Пирютко Ольга Николаевна, издательство Адукацыя i выхаванне, Минск, 2024, бирюзового цвета, страница 212, номер 2, Условие (продолжение 2)

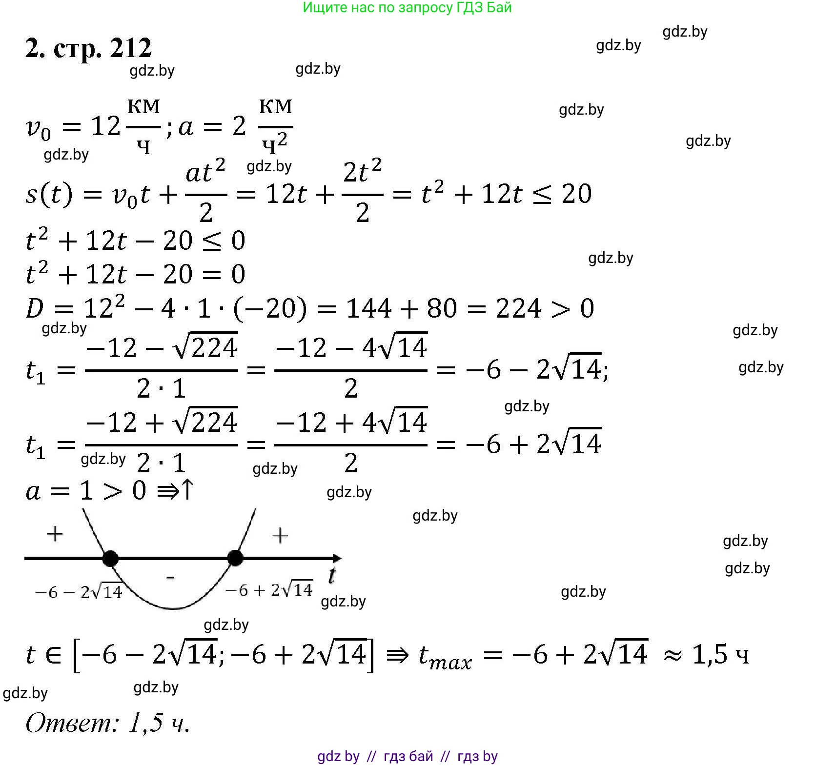
2. Велосипедист, выезжая из города со скоростью $v_0 = 12 \frac{\text{км}}{\text{ч}}$, начинает разгоняться с постоянным ускорением, модуль которого $a = 2 \frac{\text{км}}{\text{ч}^2}$, достигая скорости $20 \frac{\text{км}}{\text{ч}}$. Зависимость пути $s$ (км) велосипедиста от времени $t$ (ч) его движения за городом определяется выражением $s(t) = v_0 t + \frac{at^2}{2}$.

Определите наибольшее время, в течение которого велосипедист будет находиться в зоне покрытия сотовой связи, если оператор гарантирует наличие связи в радиусе не более 20 км от города.

Решение. №2 (с. 212)
Алгебра, 8 класс Учебник, авторы: Арефьева Ирина Глебовна, Пирютко Ольга Николаевна, издательство Адукацыя i выхаванне, Минск, 2024, бирюзового цвета, страница 212, номер 2, Решение
Решение 2. №2 (с. 212)

Чтобы определить наибольшее время, в течение которого велосипедист будет находиться в зоне покрытия сотовой связи, необходимо найти максимальное значение времени $t$, при котором пройденный им путь $s(t)$ не превышает радиус зоны покрытия, то есть 20 км.

Условие задачи можно записать в виде неравенства:

$s(t) \le 20$

Зависимость пути от времени даётся выражением:

$s(t) = v_0t + \frac{at^2}{2}$

Подставим в формулу известные значения начальной скорости $v_0 = 12 \frac{\text{км}}{\text{ч}}$ и ускорения $a = 2 \frac{\text{км}}{\text{ч}^2}$:

$s(t) = 12t + \frac{2t^2}{2} = 12t + t^2$

Теперь решим получившееся квадратное неравенство:

$t^2 + 12t \le 20$

Перенесём все члены в левую часть:

$t^2 + 12t - 20 \le 0$

Для решения неравенства найдём корни соответствующего квадратного уравнения $t^2 + 12t - 20 = 0$ с помощью формулы для корней квадратного уравнения $t = \frac{-b \pm \sqrt{b^2 - 4ac}}{2a}$:

Дискриминант $D = b^2 - 4ac = 12^2 - 4 \cdot 1 \cdot (-20) = 144 + 80 = 224$.

Корни уравнения:

$t = \frac{-12 \pm \sqrt{224}}{2} = \frac{-12 \pm \sqrt{16 \cdot 14}}{2} = \frac{-12 \pm 4\sqrt{14}}{2} = -6 \pm 2\sqrt{14}$

Получаем два корня: $t_1 = -6 - 2\sqrt{14}$ и $t_2 = -6 + 2\sqrt{14}$.

Парабола $y = t^2 + 12t - 20$ ветвями направлена вверх, поэтому неравенство $t^2 + 12t - 20 \le 0$ выполняется между корнями:

$-6 - 2\sqrt{14} \le t \le -6 + 2\sqrt{14}$

Поскольку время $t$ не может быть отрицательным ($t \ge 0$), нас интересует только положительная часть этого интервала. Корень $t_1$ отрицателен. Корень $t_2$ положителен, так как $2\sqrt{14} = \sqrt{56}$, а $\sqrt{56} > \sqrt{36} = 6$.

Таким образом, велосипедист находится в зоне покрытия в течение времени $t$ от 0 до $-6 + 2\sqrt{14}$ часов.

Наибольшее время, которое он проведёт в зоне покрытия, равно $t_{max} = -6 + 2\sqrt{14}$ ч.

Оценим это значение. Мы знаем, что $3^2=9$ и $4^2=16$, значит $3 < \sqrt{14} < 4$. Тогда $2 \cdot 3 < 2\sqrt{14} < 2 \cdot 4$, то есть $6 < 2\sqrt{14} < 8$.

Следовательно, $6 - 6 < -6 + 2\sqrt{14} < 8 - 6$, что дает $0 < t_{max} < 2$.

Более точная оценка: $3.7^2 = 13.69$, $3.8^2 = 14.44$. Значит $3.7 < \sqrt{14} < 3.8$.

$t_{max} \approx -6 + 2 \cdot 3.74 = -6 + 7.48 = 1.48$ ч.

Таким образом, велосипедист находится в зоне покрытия более 1 часа, но менее 2 часов. Наибольшее целое число часов, в течение которых велосипедист гарантированно находится в зоне покрытия, равно 1.

Определите наибольшее время, в течение которого велосипедист будет находиться в зоне покрытия сотовой связи, если оператор гарантирует наличие связи в радиусе не более 20 км от города. Ответ: 1

Помогло решение? Оставьте отзыв в комментариях ниже.

Присоединяйтесь к Телеграм-группе @gdz_by_belarus

Присоединиться

Мы подготовили для вас ответ c подробным объяснением домашего задания по алгебре за 8 класс, для упражнения номер 2 расположенного на странице 212 к учебнику 2024 года издания для учащихся школ и гимназий.

Теперь на нашем сайте ГДЗ.ТОП вы всегда легко и бесплатно найдёте условие с правильным ответом на вопрос «Как решить ДЗ» и «Как сделать» задание по алгебре к упражнению №2 (с. 212), авторов: Арефьева (Ирина Глебовна), Пирютко (Ольга Николаевна), учебного пособия издательства Адукацыя i выхаванне.