Номер 6, страница 246 - гдз по алгебре 8 класс учебник Арефьева, Пирютко

Алгебра, 8 класс Учебник, авторы: Арефьева Ирина Глебовна, Пирютко Ольга Николаевна, издательство Адукацыя i выхаванне, Минск, 2024, бирюзового цвета

Авторы: Арефьева И. Г., Пирютко О. Н.

Тип: Учебник

Издательство: Адукацыя i выхаванне

Год издания: 2024 - 2025

Цвет обложки: бирюзовый с графиком

ISBN: ISBN 978-985-03-4081-8

Допущено Министерством образования Республики Беларусь

Популярные ГДЗ в 8 классе

Повторение курса алгебры 8-го класса. Квадратные корни - номер 6, страница 246.

№6 (с. 246)
Условие. №6 (с. 246)
скриншот условия
Алгебра, 8 класс Учебник, авторы: Арефьева Ирина Глебовна, Пирютко Ольга Николаевна, издательство Адукацыя i выхаванне, Минск, 2024, бирюзового цвета, страница 246, номер 6, Условие

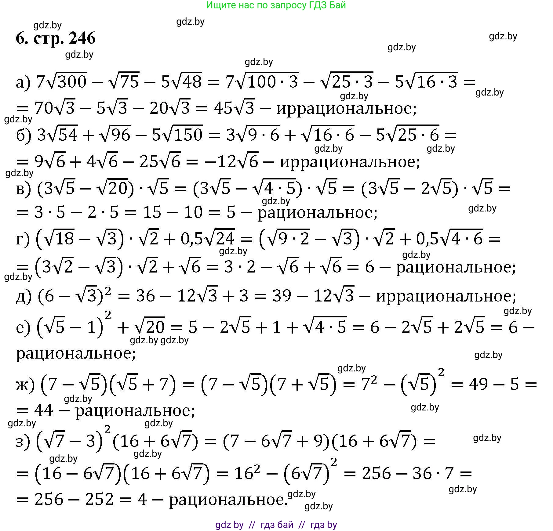
6. Выполните действия и определите, рациональным или иррациональным числом является значение выражения:

а) $7\sqrt{300} - \sqrt{75} - 5\sqrt{48};$

б) $3\sqrt{54} + \sqrt{96} - 5\sqrt{150};$

в) $(3\sqrt{5} - \sqrt{20}) \cdot \sqrt{5};$

г) $(\sqrt{18} - \sqrt{3}) \cdot \sqrt{2} + 0,5\sqrt{24};$

д) $(6 - \sqrt{3})^2;$

е) $(\sqrt{5} - 1)^2 + \sqrt{20};$

ж) $(7 - \sqrt{5})(\sqrt{5} + 7);$

з) $(\sqrt{7} - 3)^2(16 + 6\sqrt{7}).$

Решение. №6 (с. 246)
Алгебра, 8 класс Учебник, авторы: Арефьева Ирина Глебовна, Пирютко Ольга Николаевна, издательство Адукацыя i выхаванне, Минск, 2024, бирюзового цвета, страница 246, номер 6, Решение
Решение 2. №6 (с. 246)

а) $7\sqrt{300} - \sqrt{75} - 5\sqrt{48}$
Для упрощения выражения необходимо вынести множители из-под знака корня в каждом слагаемом.

  • $\sqrt{300} = \sqrt{100 \cdot 3} = \sqrt{10^2 \cdot 3} = 10\sqrt{3}$
  • $\sqrt{75} = \sqrt{25 \cdot 3} = \sqrt{5^2 \cdot 3} = 5\sqrt{3}$
  • $\sqrt{48} = \sqrt{16 \cdot 3} = \sqrt{4^2 \cdot 3} = 4\sqrt{3}$

Подставим полученные значения в исходное выражение: $7\sqrt{300} - \sqrt{75} - 5\sqrt{48} = 7 \cdot 10\sqrt{3} - 5\sqrt{3} - 5 \cdot 4\sqrt{3} = 70\sqrt{3} - 5\sqrt{3} - 20\sqrt{3}$
Теперь приведем подобные слагаемые: $(70 - 5 - 20)\sqrt{3} = 45\sqrt{3}$
Результат $45\sqrt{3}$ является иррациональным числом, так как $\sqrt{3}$ — иррациональное число.
Ответ: $45\sqrt{3}$, иррациональное число.

б) $3\sqrt{54} + \sqrt{96} - 5\sqrt{150}$
Упростим каждый корень:

  • $\sqrt{54} = \sqrt{9 \cdot 6} = 3\sqrt{6}$
  • $\sqrt{96} = \sqrt{16 \cdot 6} = 4\sqrt{6}$
  • $\sqrt{150} = \sqrt{25 \cdot 6} = 5\sqrt{6}$

Подставим в выражение: $3 \cdot 3\sqrt{6} + 4\sqrt{6} - 5 \cdot 5\sqrt{6} = 9\sqrt{6} + 4\sqrt{6} - 25\sqrt{6}$
Приведем подобные слагаемые: $(9 + 4 - 25)\sqrt{6} = (13 - 25)\sqrt{6} = -12\sqrt{6}$
Результат $-12\sqrt{6}$ является иррациональным числом.
Ответ: $-12\sqrt{6}$, иррациональное число.

в) $(3\sqrt{5} - \sqrt{20}) \cdot \sqrt{5}$
Сначала упростим выражение в скобках. $\sqrt{20} = \sqrt{4 \cdot 5} = 2\sqrt{5}$.
$(3\sqrt{5} - 2\sqrt{5}) \cdot \sqrt{5} = (\sqrt{5}) \cdot \sqrt{5} = 5$
Результат 5 является целым, а значит, рациональным числом.
Ответ: 5, рациональное число.

г) $(\sqrt{18} - \sqrt{3}) \cdot \sqrt{2} + 0,5\sqrt{24}$
Раскроем скобки и упростим корни: $\sqrt{18} \cdot \sqrt{2} - \sqrt{3} \cdot \sqrt{2} + 0,5\sqrt{24} = \sqrt{36} - \sqrt{6} + 0,5\sqrt{4 \cdot 6}$
$= 6 - \sqrt{6} + 0,5 \cdot 2\sqrt{6} = 6 - \sqrt{6} + \sqrt{6} = 6$
Результат 6 является рациональным числом.
Ответ: 6, рациональное число.

д) $(6 - \sqrt{3})^2$
Воспользуемся формулой квадрата разности $(a-b)^2 = a^2 - 2ab + b^2$:
$(6 - \sqrt{3})^2 = 6^2 - 2 \cdot 6 \cdot \sqrt{3} + (\sqrt{3})^2 = 36 - 12\sqrt{3} + 3 = 39 - 12\sqrt{3}$
Результат $39 - 12\sqrt{3}$ является иррациональным числом.
Ответ: $39 - 12\sqrt{3}$, иррациональное число.

е) $(\sqrt{5} - 1)^2 + \sqrt{20}$
Раскроем квадрат по формуле $(a-b)^2 = a^2 - 2ab + b^2$ и упростим корень $\sqrt{20}$:
$(\sqrt{5})^2 - 2\sqrt{5} \cdot 1 + 1^2 + \sqrt{4 \cdot 5} = 5 - 2\sqrt{5} + 1 + 2\sqrt{5}$
Приведем подобные слагаемые: $(5 + 1) + (-2\sqrt{5} + 2\sqrt{5}) = 6$
Результат 6 является рациональным числом.
Ответ: 6, рациональное число.

ж) $(7 - \sqrt{5})(\sqrt{5} + 7)$
Переставим слагаемые во второй скобке, чтобы использовать формулу разности квадратов $(a-b)(a+b) = a^2 - b^2$:
$(7 - \sqrt{5})(7 + \sqrt{5}) = 7^2 - (\sqrt{5})^2 = 49 - 5 = 44$
Результат 44 является рациональным числом.
Ответ: 44, рациональное число.

з) $(\sqrt{7} - 3)^2(16 + 6\sqrt{7})$
Сначала раскроем квадрат разности: $(\sqrt{7} - 3)^2 = (\sqrt{7})^2 - 2 \cdot \sqrt{7} \cdot 3 + 3^2 = 7 - 6\sqrt{7} + 9 = 16 - 6\sqrt{7}$
Теперь подставим результат в исходное выражение: $(16 - 6\sqrt{7})(16 + 6\sqrt{7})$
Применим формулу разности квадратов: $16^2 - (6\sqrt{7})^2 = 256 - (36 \cdot 7) = 256 - 252 = 4$
Результат 4 является рациональным числом.
Ответ: 4, рациональное число.

Помогло решение? Оставьте отзыв в комментариях ниже.

Присоединяйтесь к Телеграм-группе @gdz_by_belarus

Присоединиться

Мы подготовили для вас ответ c подробным объяснением домашего задания по алгебре за 8 класс, для упражнения номер 6 расположенного на странице 246 к учебнику 2024 года издания для учащихся школ и гимназий.

Теперь на нашем сайте ГДЗ.ТОП вы всегда легко и бесплатно найдёте условие с правильным ответом на вопрос «Как решить ДЗ» и «Как сделать» задание по алгебре к упражнению №6 (с. 246), авторов: Арефьева (Ирина Глебовна), Пирютко (Ольга Николаевна), учебного пособия издательства Адукацыя i выхаванне.