Номер 150, страница 65 - гдз по геометрии 8 класс учебник Казаков, Казакова

Геометрия, 8 класс Учебник, авторы: Казаков Валерий Владимирович, Казакова Ольга Олеговна, издательство Адукацыя i выхаванне, Минск, 2024, оранжевого цвета

Авторы: Казаков В. В., Казакова О. О.

Тип: Учебник

Издательство: Адукацыя i выхаванне

Год издания: 2024 - 2025

Цвет обложки: оранжевый

Допущено Министерством образования Республики Беларусь

Популярные ГДЗ в 8 классе

Глава 1. Четырехугольники. Параграф 11. Равнобедренная и прямоугольная трапеции - номер 150, страница 65.

№150 (с. 65)
Условие. №150 (с. 65)
скриншот условия
Геометрия, 8 класс Учебник, авторы: Казаков Валерий Владимирович, Казакова Ольга Олеговна, издательство Адукацыя i выхаванне, Минск, 2024, оранжевого цвета, страница 65, номер 150, Условие

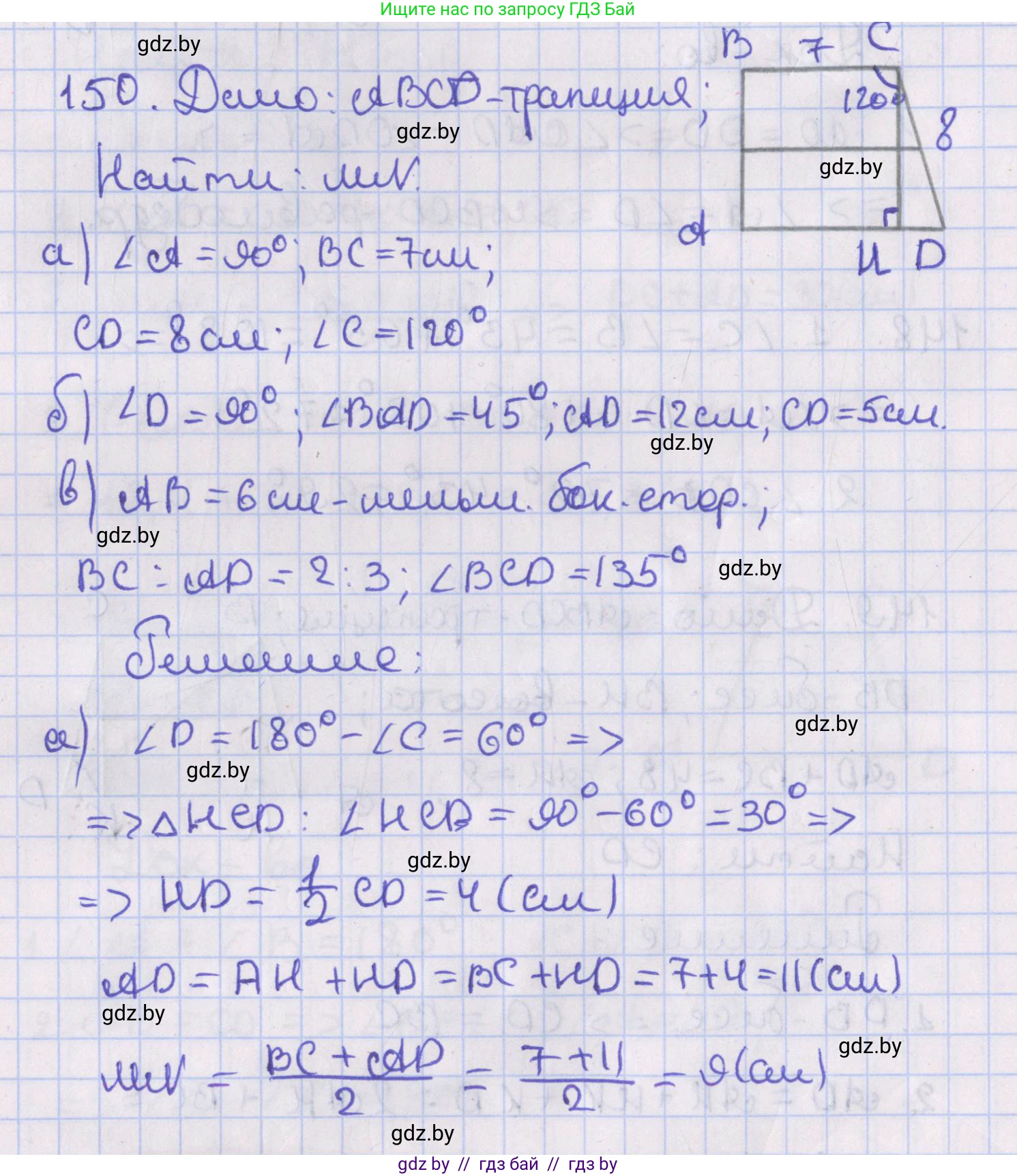
150. ABCD — прямоугольная трапеция с основаниями $AD$ и $BC$. Найдите среднюю линию трапеции, если:

a) $\angle A = 90^\circ$, $BC = 7$ см, $CD = 8$ см, $\angle C = 120^\circ$;

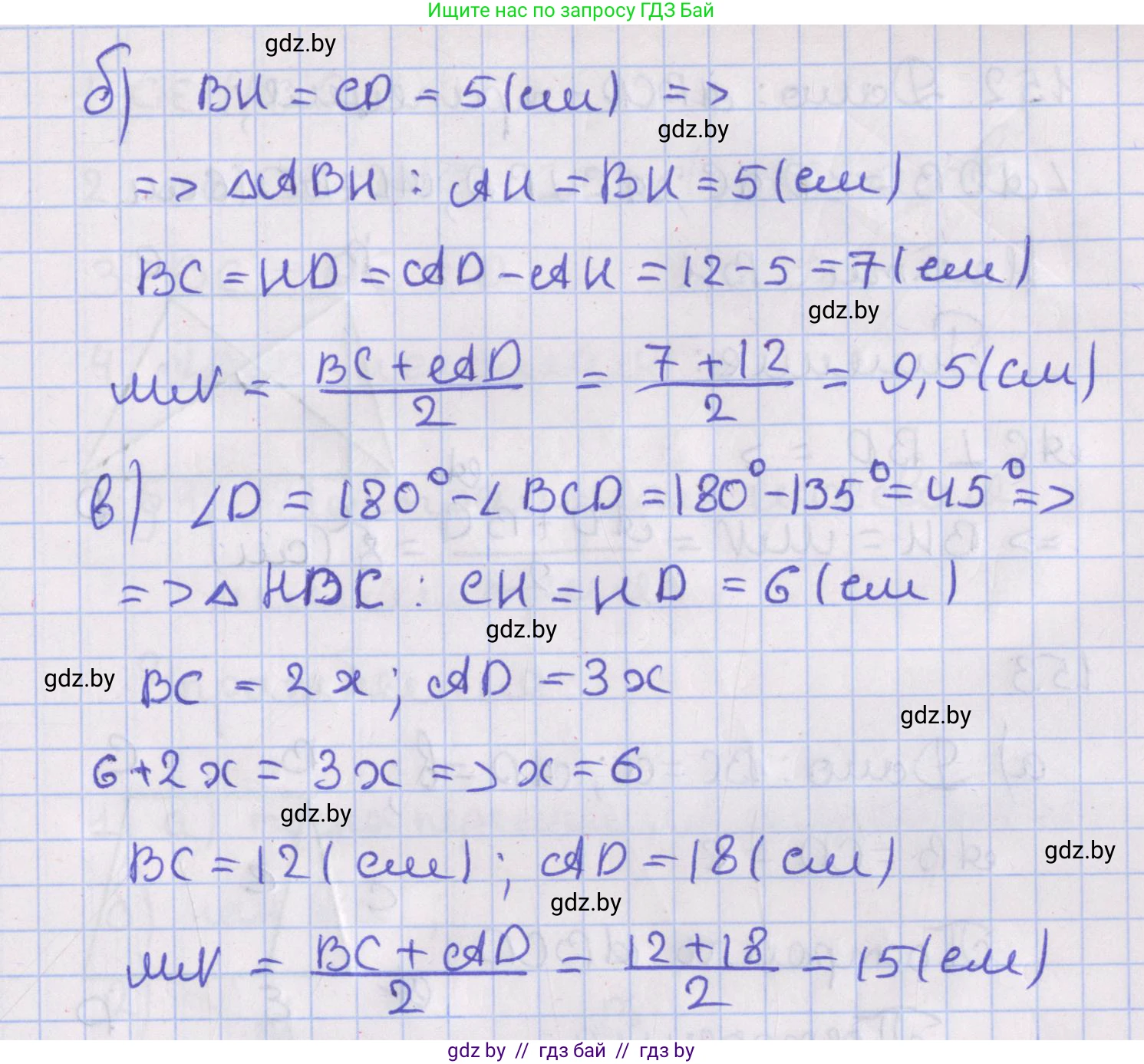
б) $\angle D = 90^\circ$, $\angle BAD = 45^\circ$, $AD = 12$ см, $CD = 5$ см;

в) $AB = 6$ см — меньшая боковая сторона, $BC : AD = 2 : 3$, $\angle BCD = 135^\circ$.

Решение. №150 (с. 65)
Геометрия, 8 класс Учебник, авторы: Казаков Валерий Владимирович, Казакова Ольга Олеговна, издательство Адукацыя i выхаванне, Минск, 2024, оранжевого цвета, страница 65, номер 150, Решение Геометрия, 8 класс Учебник, авторы: Казаков Валерий Владимирович, Казакова Ольга Олеговна, издательство Адукацыя i выхаванне, Минск, 2024, оранжевого цвета, страница 65, номер 150, Решение (продолжение 2)
Решение 2. №150 (с. 65)
Геометрия, 8 класс Учебник, авторы: Казаков Валерий Владимирович, Казакова Ольга Олеговна, издательство Адукацыя i выхаванне, Минск, 2024, оранжевого цвета, страница 65, номер 150, Решение 2 Геометрия, 8 класс Учебник, авторы: Казаков Валерий Владимирович, Казакова Ольга Олеговна, издательство Адукацыя i выхаванне, Минск, 2024, оранжевого цвета, страница 65, номер 150, Решение 2 (продолжение 2)
Решение 3. №150 (с. 65)

а) В прямоугольной трапеции $ABCD$ с основаниями $AD$ и $BC$ и прямым углом $\angle A = 90^\circ$, боковая сторона $AB$ является высотой. Для нахождения средней линии, которая вычисляется по формуле $m = \frac{AD + BC}{2}$, нам необходимо найти длину основания $AD$. Проведем из вершины $C$ высоту $CH$ на основание $AD$. Получившийся четырехугольник $ABCH$ является прямоугольником, так как $AB \perp AD$, $CH \perp AD$ и $BC \parallel AD$. Из этого следует, что $AH = BC = 7$ см. В трапеции сумма углов, прилежащих к одной боковой стороне, равна $180^\circ$. Следовательно, $\angle D = 180^\circ - \angle C = 180^\circ - 120^\circ = 60^\circ$. Рассмотрим прямоугольный треугольник $CHD$. Мы знаем гипотенузу $CD = 8$ см и угол $\angle D = 60^\circ$. Найдем катет $HD$:$HD = CD \cdot \cos(\angle D) = 8 \cdot \cos(60^\circ) = 8 \cdot \frac{1}{2} = 4$ см. Теперь мы можем найти длину всего основания $AD$:$AD = AH + HD = 7 \text{ см} + 4 \text{ см} = 11$ см. Наконец, вычислим среднюю линию трапеции:$m = \frac{AD + BC}{2} = \frac{11 + 7}{2} = \frac{18}{2} = 9$ см.
Ответ: 9 см.

б) В прямоугольной трапеции $ABCD$ с основаниями $AD$ и $BC$ и прямым углом $\angle D = 90^\circ$, боковая сторона $CD$ является высотой. Нам дана длина основания $AD = 12$ см и высота $CD = 5$ см. Чтобы найти среднюю линию $m = \frac{AD + BC}{2}$, нужно определить длину основания $BC$. Проведем высоту $BH$ из вершины $B$ на основание $AD$. Четырехугольник $BCDH$ является прямоугольником, поэтому $BH = CD = 5$ см и $BC = HD$. Рассмотрим прямоугольный треугольник $ABH$. Угол $\angle A$ равен $45^\circ$. Так как сумма острых углов в прямоугольном треугольнике равна $90^\circ$, то $\angle ABH = 90^\circ - 45^\circ = 45^\circ$. Это означает, что треугольник $ABH$ — равнобедренный, и его катеты равны: $AH = BH = 5$ см. Основание $AD$ состоит из отрезков $AH$ и $HD$: $AD = AH + HD$. Подставим известные значения:$12 = 5 + HD$$HD = 12 - 5 = 7$ см. Поскольку $BC = HD$, то $BC = 7$ см. Теперь вычислим среднюю линию:$m = \frac{AD + BC}{2} = \frac{12 + 7}{2} = \frac{19}{2} = 9,5$ см.
Ответ: 9,5 см.

в) В прямоугольной трапеции меньшая боковая сторона всегда является высотой, так как наклонная боковая сторона является гипотенузой в прямоугольном треугольнике, образованном ею, высотой и частью основания, и всегда длиннее высоты-катета. Таким образом, $AB$ — высота трапеции, и $AB = 6$ см, а углы $\angle A$ и $\angle B$ равны $90^\circ$. Проведем высоту $CH$ из вершины $C$ на основание $AD$. Четырехугольник $ABCH$ — прямоугольник, поэтому $CH = AB = 6$ см и $AH = BC$. Угол $\angle BCD = 135^\circ$ можно разложить на два угла: $\angle BCH$ и $\angle HCD$. Так как $ABCH$ — прямоугольник, $\angle BCH = 90^\circ$. Следовательно, $\angle HCD = \angle BCD - \angle BCH = 135^\circ - 90^\circ = 45^\circ$. В прямоугольном треугольнике $CHD$ угол $\angle D = 90^\circ - \angle HCD = 90^\circ - 45^\circ = 45^\circ$. Значит, треугольник $CHD$ — равнобедренный, и $HD = CH = 6$ см. Мы знаем, что $AD = AH + HD$. Заменив $AH$ на $BC$, получаем $AD = BC + 6$. По условию, $BC : AD = 2 : 3$. Обозначим $BC = 2x$ и $AD = 3x$. Подставим эти выражения в наше равенство:$3x = 2x + 6$$x = 6$. Теперь найдем длины оснований:$BC = 2x = 2 \cdot 6 = 12$ см.$AD = 3x = 3 \cdot 6 = 18$ см. Вычислим среднюю линию трапеции:$m = \frac{AD + BC}{2} = \frac{18 + 12}{2} = \frac{30}{2} = 15$ см.
Ответ: 15 см.

Помогло решение? Оставьте отзыв в комментариях ниже.

Присоединяйтесь к Телеграм-группе @gdz_by_belarus

Присоединиться

Мы подготовили для вас ответ c подробным объяснением домашего задания по геометрии за 8 класс, для упражнения номер 150 расположенного на странице 65 к учебнику 2024 года издания для учащихся школ и гимназий.

Теперь на нашем сайте ГДЗ.ТОП вы всегда легко и бесплатно найдёте условие с правильным ответом на вопрос «Как решить ДЗ» и «Как сделать» задание по геометрии к упражнению №150 (с. 65), авторов: Казаков (Валерий Владимирович), Казакова (Ольга Олеговна), учебного пособия издательства Адукацыя i выхаванне.