Номер 235, страница 107 - гдз по геометрии 8 класс учебник Казаков, Казакова

Геометрия, 8 класс Учебник, авторы: Казаков Валерий Владимирович, Казакова Ольга Олеговна, издательство Адукацыя i выхаванне, Минск, 2024, оранжевого цвета

Авторы: Казаков В. В., Казакова О. О.

Тип: Учебник

Издательство: Адукацыя i выхаванне

Год издания: 2024 - 2025

Цвет обложки: оранжевый

Допущено Министерством образования Республики Беларусь

Популярные ГДЗ в 8 классе

Глава 2. Площади многоугольников. Параграф 17. Площадь трапеции - номер 235, страница 107.

№235 (с. 107)
Условие. №235 (с. 107)
скриншот условия
Геометрия, 8 класс Учебник, авторы: Казаков Валерий Владимирович, Казакова Ольга Олеговна, издательство Адукацыя i выхаванне, Минск, 2024, оранжевого цвета, страница 107, номер 235, Условие

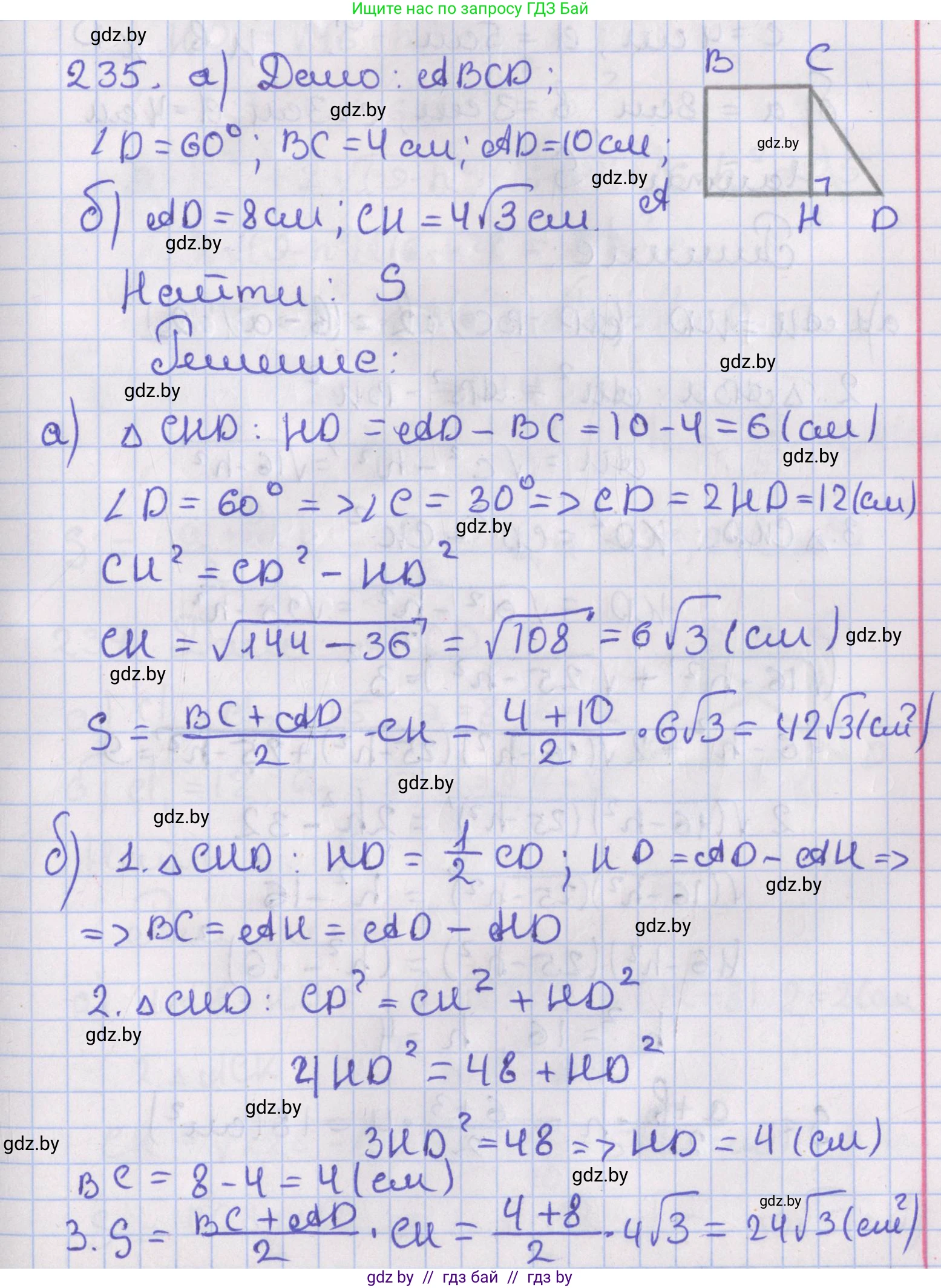
235. Найдите площадь прямоугольной трапеции с углом 60°, если:

a) основания трапеции равны 4 см и 10 см;

б) большее основание равно 8 см, высота трапеции равна $4\sqrt{3}$ см.

Решение. №235 (с. 107)
Геометрия, 8 класс Учебник, авторы: Казаков Валерий Владимирович, Казакова Ольга Олеговна, издательство Адукацыя i выхаванне, Минск, 2024, оранжевого цвета, страница 107, номер 235, Решение Геометрия, 8 класс Учебник, авторы: Казаков Валерий Владимирович, Казакова Ольга Олеговна, издательство Адукацыя i выхаванне, Минск, 2024, оранжевого цвета, страница 107, номер 235, Решение (продолжение 2)
Решение 2. №235 (с. 107)
Геометрия, 8 класс Учебник, авторы: Казаков Валерий Владимирович, Казакова Ольга Олеговна, издательство Адукацыя i выхаванне, Минск, 2024, оранжевого цвета, страница 107, номер 235, Решение 2
Решение 3. №235 (с. 107)

Для нахождения площади трапеции используется формула: $S = \frac{a+b}{2} \cdot h$, где $a$ и $b$ — основания трапеции, а $h$ — ее высота.

Рассмотрим прямоугольную трапецию $ABCD$, где $AD$ и $BC$ — основания ($AD > BC$), $\angle A = 90^\circ$ — прямой угол, а $\angle D = 60^\circ$ — заданный угол. Высота трапеции равна боковой стороне $AB$.

Проведем высоту $CH$ из вершины $C$ к основанию $AD$. Получим прямоугольник $ABCH$ и прямоугольный треугольник $CHD$. В прямоугольнике $ABCH$: $AB = CH = h$ и $AH = BC$. В прямоугольном треугольнике $CHD$: $\angle CHD = 90^\circ$, $\angle D = 60^\circ$. Катет $CH$ является высотой трапеции $h$.

а)

Дано: большее основание $a = AD = 10$ см, меньшее основание $b = BC = 4$ см.

1. Найдем длину отрезка $HD$. Так как $AD = AH + HD$ и $AH = BC$, то $HD = AD - BC = 10 - 4 = 6$ см.

2. В прямоугольном треугольнике $CHD$ найдем высоту $h = CH$. Отношение противолежащего катета $CH$ к прилежащему катету $HD$ равно тангенсу угла $D$: $\tan(\angle D) = \frac{CH}{HD}$ $h = CH = HD \cdot \tan(60^\circ)$ Так как $\tan(60^\circ) = \sqrt{3}$, получаем: $h = 6 \cdot \sqrt{3} = 6\sqrt{3}$ см.

3. Теперь вычислим площадь трапеции: $S = \frac{AD+BC}{2} \cdot h = \frac{10+4}{2} \cdot 6\sqrt{3} = \frac{14}{2} \cdot 6\sqrt{3} = 7 \cdot 6\sqrt{3} = 42\sqrt{3}$ см2.

Ответ: $42\sqrt{3}$ см2.

б)

Дано: большее основание $a = AD = 8$ см, высота $h = 4\sqrt{3}$ см.

1. Нам нужно найти длину меньшего основания $b = BC$. Высота трапеции $h = AB = CH = 4\sqrt{3}$ см.

2. В прямоугольном треугольнике $CHD$ найдем длину катета $HD$. $\tan(\angle D) = \frac{CH}{HD}$ $HD = \frac{CH}{\tan(60^\circ)} = \frac{4\sqrt{3}}{\sqrt{3}} = 4$ см.

3. Меньшее основание $BC$ равно отрезку $AH$. Так как $AD = AH + HD$, то: $b = BC = AH = AD - HD = 8 - 4 = 4$ см.

4. Теперь, зная оба основания и высоту, вычислим площадь трапеции: $S = \frac{AD+BC}{2} \cdot h = \frac{8+4}{2} \cdot 4\sqrt{3} = \frac{12}{2} \cdot 4\sqrt{3} = 6 \cdot 4\sqrt{3} = 24\sqrt{3}$ см2.

Ответ: $24\sqrt{3}$ см2.

Помогло решение? Оставьте отзыв в комментариях ниже.

Присоединяйтесь к Телеграм-группе @gdz_by_belarus

Присоединиться

Мы подготовили для вас ответ c подробным объяснением домашего задания по геометрии за 8 класс, для упражнения номер 235 расположенного на странице 107 к учебнику 2024 года издания для учащихся школ и гимназий.

Теперь на нашем сайте ГДЗ.ТОП вы всегда легко и бесплатно найдёте условие с правильным ответом на вопрос «Как решить ДЗ» и «Как сделать» задание по геометрии к упражнению №235 (с. 107), авторов: Казаков (Валерий Владимирович), Казакова (Ольга Олеговна), учебного пособия издательства Адукацыя i выхаванне.