Номер 353, страница 166 - гдз по геометрии 8 класс учебник Казаков, Казакова

Геометрия, 8 класс Учебник, авторы: Казаков Валерий Владимирович, Казакова Ольга Олеговна, издательство Адукацыя i выхаванне, Минск, 2024, оранжевого цвета

Авторы: Казаков В. В., Казакова О. О.

Тип: Учебник

Издательство: Адукацыя i выхаванне

Год издания: 2024 - 2025

Цвет обложки: оранжевый

Допущено Министерством образования Республики Беларусь

Популярные ГДЗ в 8 классе

Глава 4. Окружность. Параграф 25. Касательная к окружности - номер 353, страница 166.

№353 (с. 166)
Условие. №353 (с. 166)
скриншот условия
Геометрия, 8 класс Учебник, авторы: Казаков Валерий Владимирович, Казакова Ольга Олеговна, издательство Адукацыя i выхаванне, Минск, 2024, оранжевого цвета, страница 166, номер 353, Условие

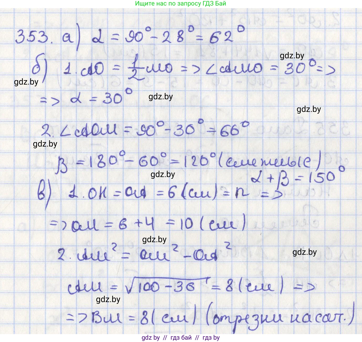
353. На рисунках 331, а)—в) точка $O$ — центр окружности, прямые $MA$ и $MB$ — касательные, $А$ и $В$ — точки касания. Найдите:

а) величину угла $\alpha$ (рис. 331, а);

б) сумму углов $\alpha + \beta$, если $MK = OA = 5$ см (рис. 331, б);

в) длину отрезка $BM$, если $OA = 6$ см, $KM = 4$ см (рис. 331, в).

Рис. 331

Решение. №353 (с. 166)
Геометрия, 8 класс Учебник, авторы: Казаков Валерий Владимирович, Казакова Ольга Олеговна, издательство Адукацыя i выхаванне, Минск, 2024, оранжевого цвета, страница 166, номер 353, Решение Геометрия, 8 класс Учебник, авторы: Казаков Валерий Владимирович, Казакова Ольга Олеговна, издательство Адукацыя i выхаванне, Минск, 2024, оранжевого цвета, страница 166, номер 353, Решение (продолжение 2)
Решение 2. №353 (с. 166)
Геометрия, 8 класс Учебник, авторы: Казаков Валерий Владимирович, Казакова Ольга Олеговна, издательство Адукацыя i выхаванне, Минск, 2024, оранжевого цвета, страница 166, номер 353, Решение 2
Решение 3. №353 (с. 166)

а)

По свойству касательной, радиус, проведенный в точку касания, перпендикулярен касательной. Следовательно, $OB \perp MB$, и треугольник $\triangle OBM$ является прямоугольным с прямым углом $\angle OBM = 90^\circ$. Сумма углов в треугольнике равна $180^\circ$, поэтому в $\triangle OBM$ мы можем найти угол $\angle BOM$: $\angle BOM = 180^\circ - \angle OBM - \angle OMB = 180^\circ - 90^\circ - 28^\circ = 62^\circ$. Рассмотрим треугольники $\triangle OAM$ и $\triangle OBM$. Они равны по катету и гипотенузе ($OA = OB$ как радиусы, $OM$ — общая гипотенуза). Также можно сослаться на свойство, что отрезки касательных, проведенных из одной точки, равны ($MA = MB$), и линия $OM$, соединяющая эту точку с центром окружности, является биссектрисой угла $\angle AOB$. Следовательно, $\angle AOM = \angle BOM = 62^\circ$. Тогда искомый угол $\alpha = \angle AOB = \angle AOM + \angle BOM = 62^\circ + 62^\circ = 124^\circ$. Ответ: $124^\circ$.

б)

Рассмотрим прямоугольный треугольник $\triangle OAM$ (угол $\angle OAM = 90^\circ$, так как радиус $OA$ перпендикулярен касательной $MA$). По условию, радиус $OA = 5$ см. Отрезок $OM$ состоит из радиуса $OK$ и отрезка $KM$. Так как $OK$ - это радиус, то $OK = OA = 5$ см. Длина гипотенузы $OM = OK + KM = 5 + 5 = 10$ см. В прямоугольном треугольнике $\triangle OAM$ катет $OA$ равен половине гипотенузы $OM$ ($5 = 10/2$). Угол, лежащий напротив катета, равного половине гипотенузы, равен $30^\circ$. Этот угол в треугольнике $\triangle OAM$ - это $\angle AMO$, который на рисунке обозначен как $\alpha$. Следовательно, $\alpha = 30^\circ$. Сумма острых углов в прямоугольном треугольнике равна $90^\circ$. Угол $\beta$, который равен $\angle AOM$, можно найти как: $\beta = \angle AOM = 90^\circ - \angle AMO = 90^\circ - 30^\circ = 60^\circ$. Теперь найдем сумму углов $\alpha + \beta$: $\alpha + \beta = 30^\circ + 60^\circ = 90^\circ$. Ответ: $90^\circ$.

в)

Рассмотрим прямоугольный треугольник $\triangle OBM$ (угол $\angle OBM = 90^\circ$, так как радиус $OB$ перпендикулярен касательной $MB$). Катет $OB$ является радиусом окружности. По условию, радиус $OA = 6$ см, следовательно, $OB = 6$ см. Гипотенуза $OM$ состоит из радиуса $OK$ и отрезка $KM$. $OK$ также является радиусом, поэтому $OK = 6$ см. $OM = OK + KM = 6 + 4 = 10$ см. По теореме Пифагора для треугольника $\triangle OBM$: $OM^2 = OB^2 + BM^2$. Выразим $BM$: $BM^2 = OM^2 - OB^2$ $BM^2 = 10^2 - 6^2 = 100 - 36 = 64$ $BM = \sqrt{64} = 8$ см. Ответ: 8 см.

Помогло решение? Оставьте отзыв в комментариях ниже.

Присоединяйтесь к Телеграм-группе @gdz_by_belarus

Присоединиться

Мы подготовили для вас ответ c подробным объяснением домашего задания по геометрии за 8 класс, для упражнения номер 353 расположенного на странице 166 к учебнику 2024 года издания для учащихся школ и гимназий.

Теперь на нашем сайте ГДЗ.ТОП вы всегда легко и бесплатно найдёте условие с правильным ответом на вопрос «Как решить ДЗ» и «Как сделать» задание по геометрии к упражнению №353 (с. 166), авторов: Казаков (Валерий Владимирович), Казакова (Ольга Олеговна), учебного пособия издательства Адукацыя i выхаванне.