Геометрия 3D, страница 150 - гдз по геометрии 8 класс учебник Казаков, Казакова

Геометрия, 8 класс Учебник, авторы: Казаков Валерий Владимирович, Казакова Ольга Олеговна, издательство Адукацыя i выхаванне, Минск, 2024, оранжевого цвета

Авторы: Казаков В. В., Казакова О. О.

Тип: Учебник

Издательство: Адукацыя i выхаванне

Год издания: 2024 - 2025

Цвет обложки: оранжевый

Допущено Министерством образования Республики Беларусь

Популярные ГДЗ в 8 классе

Глава 3. Подобие треугольников. Параграф 23. Свойство площадей подобных треугольников - страница 150.

Геометрия 3D (с. 150)
Условие. Геометрия 3D (с. 150)
скриншот условия
Геометрия, 8 класс Учебник, авторы: Казаков Валерий Владимирович, Казакова Ольга Олеговна, издательство Адукацыя i выхаванне, Минск, 2024, оранжевого цвета, страница 150, Условие Геометрия, 8 класс Учебник, авторы: Казаков Валерий Владимирович, Казакова Ольга Олеговна, издательство Адукацыя i выхаванне, Минск, 2024, оранжевого цвета, страница 150, Условие (продолжение 2) Геометрия, 8 класс Учебник, авторы: Казаков Валерий Владимирович, Казакова Ольга Олеговна, издательство Адукацыя i выхаванне, Минск, 2024, оранжевого цвета, страница 150, Условие (продолжение 3)

Геометрия 3D

Как уже говорилось, любые два круга являются подобными (рис. 307, а). Подобия в первом случае может быть определен как отношение радиусов кругов, а во втором — как отношение сторон квадратов, то есть $k = \frac{R_1}{R_2}$ или $k = \frac{a_1}{a_2}$.

Рис. 307

Два многоугольника называются подобными, если у них углы соответственно равны, а соответствующие стороны пропорциональны (рис. 308, а). Фигуры $F$ и $F_1$ называются подобными, если между их точками можно установить такое соответствие, что для любых пар точек $M$ и $N$ и соответствующих им точек $M_1$ и $N_1$ (рис. 308, б) выполняется условие $\frac{MN}{M_1N_1} = k$. Число $k$ — коэффициент подобия. Можно доказать, что отношение периметров подобных фигур равно $k$, а отношение их площадей — $k^2$.

Рис. 308

Подобие также определяется и для пространственных фигур. Так, подобными являются любые два шара или любые два куба (рис. 309).

Рис. 309

Увеличив длину всех ребер любого многогранника в одно и то же число раз и сохранив величины всех углов, получим многогранник, подобный данному (рис. 310).

Рис. 310

Мы знаем, что прямая, параллельная основанию треугольника, отсекает от него треугольник, подобный данному. Аналогично в пространстве плоскость, параллельная основанию пирамиды, отсекает от нее пирамиду, подобную данной (рис. 311, а, б). То есть отсеченная пирамида будет иметь такую же форму, но отличаться размерами. Если отбросить отсеченную пирамиду, то получится усеченная пирамида (рис. 311, в).

Рис. 311

Усеченная пирамида имеет два основания: верхнее и нижнее, которые являются подобными многоугольниками. Ее боковые грани являются трапециями. В основании правильной четырехугольной пирамиды лежит квадрат, и все ее боковые ребра равны. Если от нее отсечь плоскостью, параллельной основанию, пирамиду, то получится правильная усеченная пирамида. Основания ее — квадраты, а боковые грани — равные равнобедренные трапеции.

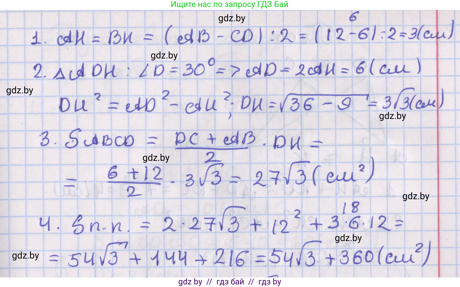
Задача. Найдите площадь полной поверхности правильной усеченной четырехугольной пирамиды (рис. 312), у которой стороны оснований равны 20 см и 10 см, а боковое ребро равно 13 см.

Рис. 312

Решение. Геометрия 3D (с. 150)
Геометрия, 8 класс Учебник, авторы: Казаков Валерий Владимирович, Казакова Ольга Олеговна, издательство Адукацыя i выхаванне, Минск, 2024, оранжевого цвета, страница 150, Решение
Решение 2. Геометрия 3D (с. 150)
Геометрия, 8 класс Учебник, авторы: Казаков Валерий Владимирович, Казакова Ольга Олеговна, издательство Адукацыя i выхаванне, Минск, 2024, оранжевого цвета, страница 150, Решение 2 Геометрия, 8 класс Учебник, авторы: Казаков Валерий Владимирович, Казакова Ольга Олеговна, издательство Адукацыя i выхаванне, Минск, 2024, оранжевого цвета, страница 150, Решение 2 (продолжение 2)
Решение 3. Геометрия 3D (с. 150)

Задача.

Для нахождения площади полной поверхности правильной усеченной четырехугольной пирамиды необходимо сложить площади двух ее оснований (верхнего и нижнего) и площадь ее боковой поверхности.

Формула площади полной поверхности ($S_{полн}$) выглядит так:

$S_{полн} = S_{нижн. осн.} + S_{верхн. осн.} + S_{бок}$

где $S_{нижн. осн.}$ — площадь нижнего основания, $S_{верхн. осн.}$ — площадь верхнего основания, а $S_{бок}$ — площадь боковой поверхности.

1. Находим площади оснований.

Так как пирамида правильная четырехугольная, ее основания — это квадраты.

Сторона нижнего основания $a_1 = 20$ см. Его площадь:

$S_{нижн. осн.} = a_1^2 = 20^2 = 400$ см².

Сторона верхнего основания $a_2 = 10$ см. Его площадь:

$S_{верхн. осн.} = a_2^2 = 10^2 = 100$ см².

2. Находим площадь боковой поверхности.

Боковая поверхность состоит из четырех одинаковых равнобедренных трапеций. Для нахождения площади одной трапеции ($S_{трап}$) нужна ее высота, которая также является апофемой усеченной пирамиды.

Рассмотрим боковую грань-трапецию. Ее основания равны 20 см и 10 см, а боковые стороны (боковые ребра пирамиды) равны 13 см. Чтобы найти высоту трапеции $h$, проведем ее из вершины меньшего основания к большему. Мы получим прямоугольный треугольник, гипотенуза которого — боковое ребро (13 см), а один из катетов — полуразность оснований трапеции.

Вычислим длину этого катета:

$\frac{a_1 - a_2}{2} = \frac{20 - 10}{2} = \frac{10}{2} = 5$ см.

Теперь по теореме Пифагора найдем высоту трапеции $h$:

$h^2 + 5^2 = 13^2$

$h^2 + 25 = 169$

$h^2 = 169 - 25 = 144$

$h = \sqrt{144} = 12$ см.

Теперь вычислим площадь одной трапеции:

$S_{трап} = \frac{a_1 + a_2}{2} \cdot h = \frac{20 + 10}{2} \cdot 12 = 15 \cdot 12 = 180$ см².

Площадь всей боковой поверхности — это сумма площадей четырех таких трапеций:

$S_{бок} = 4 \cdot S_{трап} = 4 \cdot 180 = 720$ см².

3. Находим площадь полной поверхности.

Сложим площади оснований и боковой поверхности:

$S_{полн} = S_{нижн. осн.} + S_{верхн. осн.} + S_{бок} = 400 + 100 + 720 = 1220$ см².

Ответ: $1220$ см².

Помогло решение? Оставьте отзыв в комментариях ниже.

Присоединяйтесь к Телеграм-группе @gdz_by_belarus

Присоединиться

Мы подготовили для вас ответ c подробным объяснением домашего задания по геометрии за 8 класс, для упражнения Геометрия 3D расположенного на странице 150 к учебнику 2024 года издания для учащихся школ и гимназий.

Теперь на нашем сайте ГДЗ.ТОП вы всегда легко и бесплатно найдёте условие с правильным ответом на вопрос «Как решить ДЗ» и «Как сделать» задание по геометрии к упражнению Геометрия 3D (с. 150), авторов: Казаков (Валерий Владимирович), Казакова (Ольга Олеговна), учебного пособия издательства Адукацыя i выхаванне.