Номер 5, страница 25 - гдз по химии 8 класс сборник контрольных и самостоятельных работ Сеген, Власовец

Химия, 8 класс Сборник контрольных и самостоятельных работ, авторы: Сеген Елена Адамовна, Власовец Евгения Николаевна, Гарбар Елена Евгеньевна, Синявская Тамара Степановна, издательство Аверсэв, Минск, 2019, оранжевого цвета

Авторы: Сеген Е. А., Власовец Е. Н., Гарбар Е. Е., Синявская Т. С.

Тип: Сборник контрольных и самостоятельных работ

Издательство: Аверсэв

Год издания: 2019 - 2025

Цвет обложки: оранжевый с колбой

ISBN: 978-985-19-4532-6

Рекомендовано Научно-методическим учреждением "Национальный институт образования" Министерства образования Республики Беларусь

Популярные ГДЗ в 8 классе

Самостоятельная работа 2. По теме «Количественные понятия в химии». Вариант 2. Вариант 2 - номер 5, страница 25.

№5 (с. 25)
Решение. №5 (с. 25)
Химия, 8 класс Сборник контрольных и самостоятельных работ, авторы: Сеген Елена Адамовна, Власовец Евгения Николаевна, Гарбар Елена Евгеньевна, Синявская Тамара Степановна, издательство Аверсэв, Минск, 2019, оранжевого цвета, страница 25, номер 5, Решение
Решение 2. №5 (с. 25)

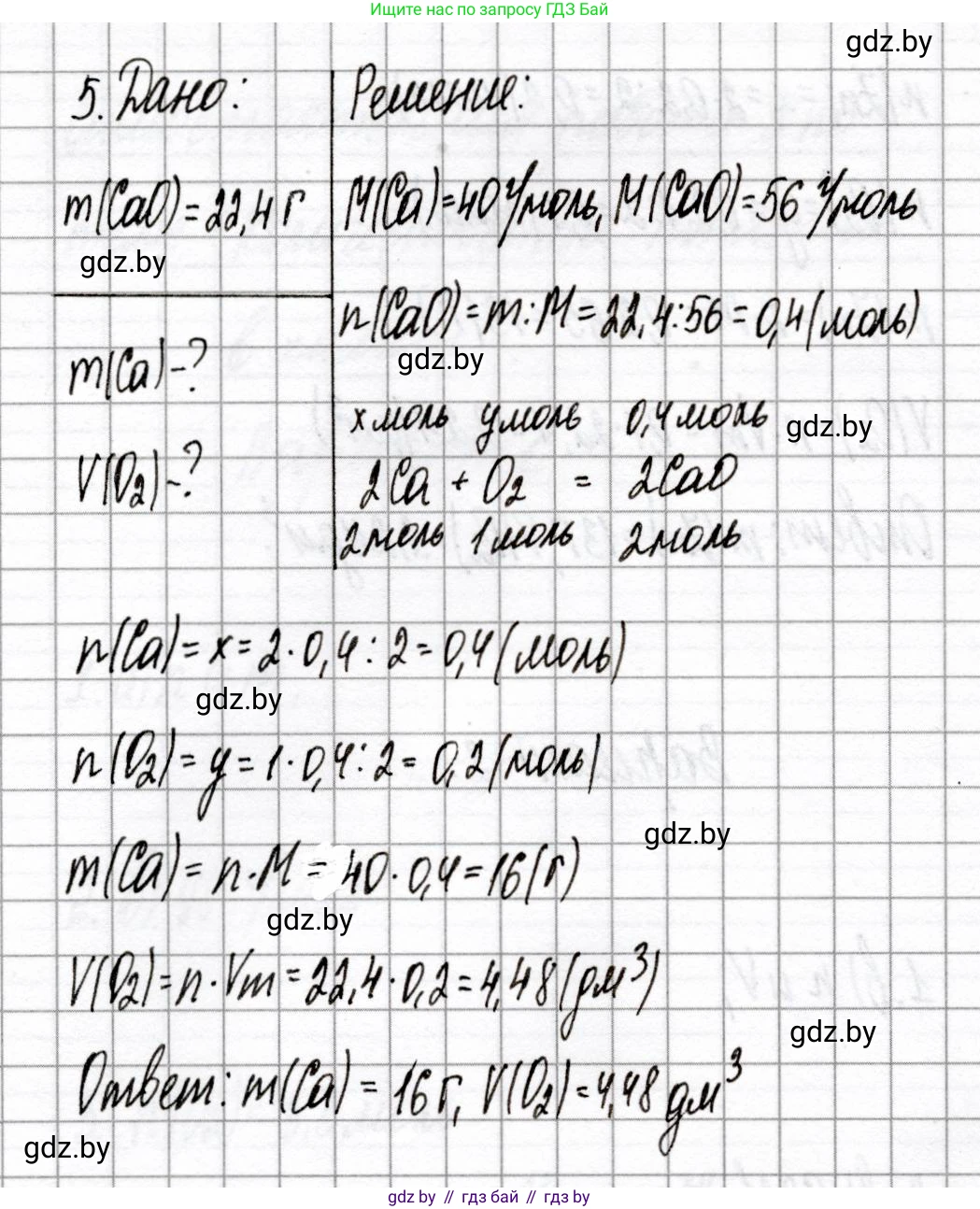
Дано:

масса оксида кальция $m(\text{CaO}) = 22,4 \text{ г}$

молярный объем газа при нормальных условиях $V_m = 22,4 \text{ дм}^3/\text{моль}$

Перевод в СИ:

Все величины уже представлены в удобных для расчетов единицах или не требуют перевода для данной задачи.

Найти:

масса кальция $m(\text{Ca}) = ? \text{ г}$

объем кислорода $V(\text{O}_2) = ? \text{ дм}^3$

Решение:

1. Напишем уравнение реакции образования оксида кальция:

$2\text{Ca} + \text{O}_2 \rightarrow 2\text{CaO}$

2. Рассчитаем молярную массу оксида кальция $\text{CaO}$. Атомные массы округлим до целых значений: $A_r(\text{Ca}) = 40 \text{ г/моль}$, $A_r(\text{O}) = 16 \text{ г/моль}$.

$M(\text{CaO}) = A_r(\text{Ca}) + A_r(\text{O}) = 40 \text{ г/моль} + 16 \text{ г/моль} = 56 \text{ г/моль}$

3. Вычислим количество вещества оксида кальция, образовавшегося в результате реакции:

$n(\text{CaO}) = \frac{m(\text{CaO})}{M(\text{CaO})} = \frac{22,4 \text{ г}}{56 \text{ г/моль}} = 0,4 \text{ моль}$

4. Согласно уравнению реакции, соотношение количеств вещества $\text{Ca}$, $\text{O}_2$ и $\text{CaO}$ составляет $2:1:2$.

5. Найдем количество вещества кальция, вступившего в реакцию. По уравнению реакции, $n(\text{Ca}) = n(\text{CaO})$.

$n(\text{Ca}) = 0,4 \text{ моль}$

6. Рассчитаем массу кальция, вступившего в реакцию:

$m(\text{Ca}) = n(\text{Ca}) \cdot M(\text{Ca}) = 0,4 \text{ моль} \cdot 40 \text{ г/моль} = 16 \text{ г}$

7. Найдем количество вещества кислорода, вступившего в реакцию. По уравнению реакции, $n(\text{O}_2) = \frac{1}{2} n(\text{CaO})$.

$n(\text{O}_2) = \frac{1}{2} \cdot 0,4 \text{ моль} = 0,2 \text{ моль}$

8. Вычислим объем кислорода при нормальных условиях:

$V(\text{O}_2) = n(\text{O}_2) \cdot V_m = 0,2 \text{ моль} \cdot 22,4 \text{ дм}^3/\text{моль} = 4,48 \text{ дм}^3$

Ответ:

Масса кальция: $16 \text{ г}$

Объем кислорода: $4,48 \text{ дм}^3$

Помогло решение? Оставьте отзыв в комментариях ниже.

Присоединяйтесь к Телеграм-группе @gdz_by_belarus

Присоединиться

Мы подготовили для вас ответ c подробным объяснением домашего задания по химии за 8 класс, для упражнения номер 5 расположенного на странице 25 к сборнику контрольных и самостоятельных работ 2019 года издания для учащихся школ и гимназий.

Теперь на нашем сайте ГДЗ.ТОП вы всегда легко и бесплатно найдёте условие с правильным ответом на вопрос «Как решить ДЗ» и «Как сделать» задание по химии к упражнению №5 (с. 25), авторов: Сеген (Елена Адамовна), Власовец (Евгения Николаевна), Гарбар (Елена Евгеньевна), Синявская (Тамара Степановна), учебного пособия издательства Аверсэв.