Номер 28, страница 8 - гдз по алгебре 9 класс учебник Арефьева, Пирютко

Алгебра, 9 класс Учебник, авторы: Арефьева Ирина Глебовна, Пирютко Ольга Николаевна, издательство Народная асвета, Минск, 2019, голубого цвета

Авторы: Арефьева И. Г., Пирютко О. Н.

Тип: Учебник

Издательство: Народная асвета

Год издания: 2019 - 2025

Цвет обложки: голубой, синий с графиком

ISBN: 978-985-03-3077-2

Допущено Министерством образования Республики Беларусь

Популярные ГДЗ в 9 классе

Повторение курса алгебры 7—8-х классов - номер 28, страница 8.

№28 (с. 8)
Условие. №28 (с. 8)
скриншот условия
Алгебра, 9 класс Учебник, авторы: Арефьева Ирина Глебовна, Пирютко Ольга Николаевна, издательство Народная асвета, Минск, 2019, голубого цвета, страница 8, номер 28, Условие Алгебра, 9 класс Учебник, авторы: Арефьева Ирина Глебовна, Пирютко Ольга Николаевна, издательство Народная асвета, Минск, 2019, голубого цвета, страница 8, номер 28, Условие (продолжение 2)

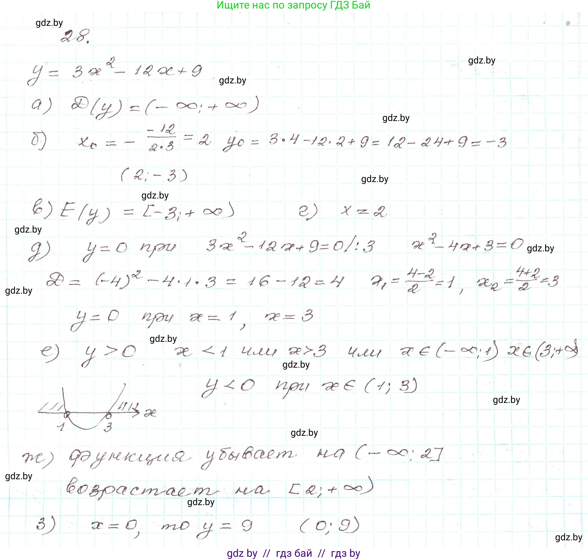
28. Не выполняя построения графика, для функции $y=3x^2-12x+9$ найдите:

а) область определения;

б) координаты вершины параболы;

в) множество значений;

г) ось симметрии параболы;

д) нули;

е) промежутки знакопостоянства;

ж) промежутки монотонности;

з) координаты точки пересечения графика функции с осью ординат.

Решение. №28 (с. 8)
Алгебра, 9 класс Учебник, авторы: Арефьева Ирина Глебовна, Пирютко Ольга Николаевна, издательство Народная асвета, Минск, 2019, голубого цвета, страница 8, номер 28, Решение
Решение 2. №28 (с. 8)

Для анализа квадратичной функции $y = 3x^2 - 12x + 9$ определим ее коэффициенты: $a = 3$, $b = -12$, $c = 9$.

а) область определения;
Данная функция является многочленом (квадратичной функцией), который определен для любых действительных значений аргумента $x$.
Ответ: $D(y) = (-\infty; +\infty)$.

б) координаты вершины параболы;
Координаты вершины параболы $(x_в, y_в)$ находим по формулам:
$x_в = -\frac{b}{2a} = -\frac{-12}{2 \cdot 3} = \frac{12}{6} = 2$.
Для нахождения $y_в$ подставим значение $x_в$ в уравнение функции:
$y_в = 3(2)^2 - 12(2) + 9 = 3 \cdot 4 - 24 + 9 = 12 - 24 + 9 = -3$.
Ответ: $(2; -3)$.

в) множество значений;
Так как коэффициент $a = 3 > 0$, ветви параболы направлены вверх. Следовательно, функция имеет наименьшее значение в вершине. Наименьшее значение функции равно ординате вершины $y_в = -3$.
Ответ: $E(y) = [-3; +\infty)$.

г) ось симметрии параболы;
Ось симметрии параболы — это вертикальная прямая, проходящая через ее вершину. Уравнение оси симметрии: $x = x_в$.
Ответ: $x = 2$.

д) нули;
Нули функции — это значения $x$, при которых $y = 0$. Для их нахождения решим квадратное уравнение:
$3x^2 - 12x + 9 = 0$
Разделим все уравнение на 3 для упрощения:
$x^2 - 4x + 3 = 0$
По теореме Виета (или через дискриминант) находим корни:
$x_1 + x_2 = 4$
$x_1 \cdot x_2 = 3$
Отсюда $x_1 = 1$, $x_2 = 3$.
Ответ: $x_1 = 1$, $x_2 = 3$.

е) промежутки знакопостоянства;
Это промежутки, на которых функция принимает положительные ($y > 0$) или отрицательные ($y < 0$) значения. Ветви параболы направлены вверх ($a>0$), а нули функции $x=1$ и $x=3$.
Функция положительна ($y>0$) вне интервала между корнями.
Функция отрицательна ($y<0$) внутри интервала между корнями.
Ответ: $y > 0$ при $x \in (-\infty; 1) \cup (3; +\infty)$; $y < 0$ при $x \in (1; 3)$.

ж) промежутки монотонности;
Монотонность функции меняется в вершине параболы, абсцисса которой $x_в = 2$. Так как ветви параболы направлены вверх ($a>0$), функция убывает до вершины и возрастает после нее.
Ответ: функция убывает на промежутке $(-\infty; 2]$ и возрастает на промежутке $[2; +\infty)$.

з) координаты точки пересечения графика функции с осью ординат.
Точка пересечения с осью ординат (осью $y$) имеет абсциссу $x=0$. Найдем значение функции при $x=0$:
$y(0) = 3(0)^2 - 12(0) + 9 = 9$.
Ответ: $(0; 9)$.

Помогло решение? Оставьте отзыв в комментариях ниже.

Присоединяйтесь к Телеграм-группе @gdz_by_belarus

Присоединиться

Мы подготовили для вас ответ c подробным объяснением домашего задания по алгебре за 9 класс, для упражнения номер 28 расположенного на странице 8 к учебнику 2019 года издания для учащихся школ и гимназий.

Теперь на нашем сайте ГДЗ.ТОП вы всегда легко и бесплатно найдёте условие с правильным ответом на вопрос «Как решить ДЗ» и «Как сделать» задание по алгебре к упражнению №28 (с. 8), авторов: Арефьева (Ирина Глебовна), Пирютко (Ольга Николаевна), учебного пособия издательства Народная асвета.