Номер 1.105, страница 40 - гдз по алгебре 9 класс учебник Арефьева, Пирютко

Алгебра, 9 класс Учебник, авторы: Арефьева Ирина Глебовна, Пирютко Ольга Николаевна, издательство Народная асвета, Минск, 2019, голубого цвета

Авторы: Арефьева И. Г., Пирютко О. Н.

Тип: Учебник

Издательство: Народная асвета

Год издания: 2019 - 2025

Цвет обложки: голубой, синий с графиком

ISBN: 978-985-03-3077-2

Допущено Министерством образования Республики Беларусь

Популярные ГДЗ в 9 классе

Глава 1. Рациональные выражения. Параграф 3. Сложение и вычитание рациональных дробей - номер 1.105, страница 40.

№1.105 (с. 40)
Условие. №1.105 (с. 40)
скриншот условия
Алгебра, 9 класс Учебник, авторы: Арефьева Ирина Глебовна, Пирютко Ольга Николаевна, издательство Народная асвета, Минск, 2019, голубого цвета, страница 40, номер 1.105, Условие

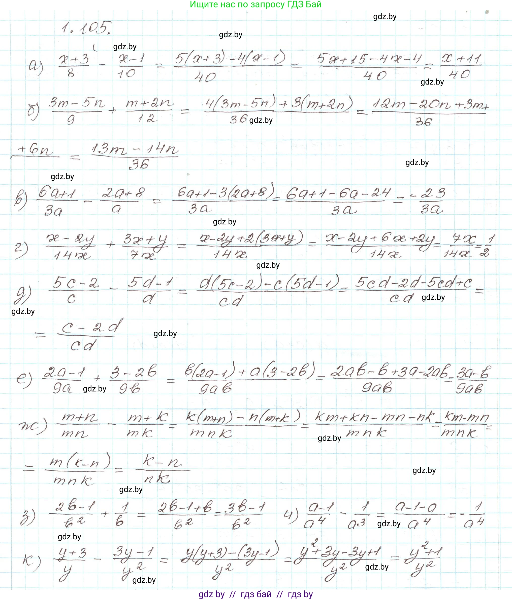
1.105. Упростите выражение:

а) $\frac{x+3}{8} - \frac{x-1}{10};$

б) $\frac{3m-5n}{9} + \frac{m+2n}{12};$

В) $\frac{6a+1}{3a} - \frac{2a+8}{a};$

Г) $\frac{x-2y}{14x} + \frac{3x+y}{7x};$

Д) $\frac{5c-2}{c} - \frac{5d-1}{d};$

е) $\frac{2a-1}{9a} + \frac{3-2b}{9b};$

Ж) $\frac{m+n}{mn} - \frac{m+k}{mk};$

З) $\frac{2b-1}{b^2} + \frac{1}{b};$

И) $\frac{a-1}{a^4} - \frac{1}{a^3};$

К) $\frac{y+3}{y} - \frac{3y-1}{y^2}.$

Решение. №1.105 (с. 40)
Алгебра, 9 класс Учебник, авторы: Арефьева Ирина Глебовна, Пирютко Ольга Николаевна, издательство Народная асвета, Минск, 2019, голубого цвета, страница 40, номер 1.105, Решение
Решение 2. №1.105 (с. 40)

а) Чтобы упростить данное выражение, необходимо привести дроби к общему знаменателю. Наименьший общий знаменатель для 8 и 10 — это 40.
$\frac{x+3}{8} - \frac{x-1}{10} = \frac{5 \cdot (x+3)}{40} - \frac{4 \cdot (x-1)}{40}$
Теперь запишем все под одним знаменателем и раскроем скобки в числителе:
$\frac{5(x+3) - 4(x-1)}{40} = \frac{5x + 15 - 4x + 4}{40}$
Приведем подобные слагаемые в числителе:
$\frac{(5x-4x) + (15+4)}{40} = \frac{x+19}{40}$
Ответ: $\frac{x+19}{40}$

б) Найдем общий знаменатель для 9 и 12. Это 36.
$\frac{3m-5n}{9} + \frac{m+2n}{12} = \frac{4 \cdot (3m-5n)}{36} + \frac{3 \cdot (m+2n)}{36}$
Запишем под общим знаменателем и раскроем скобки:
$\frac{4(3m-5n) + 3(m+2n)}{36} = \frac{12m - 20n + 3m + 6n}{36}$
Приведем подобные слагаемые:
$\frac{(12m+3m) + (-20n+6n)}{36} = \frac{15m-14n}{36}$
Ответ: $\frac{15m-14n}{36}$

в) Общий знаменатель для дробей $\frac{6a+1}{3a}$ и $\frac{2a+8}{a}$ — это $3a$. Дополнительный множитель для второй дроби равен 3.
$\frac{6a+1}{3a} - \frac{3 \cdot (2a+8)}{3a} = \frac{6a+1 - (6a+24)}{3a}$
Раскроем скобки и упростим числитель:
$\frac{6a+1 - 6a - 24}{3a} = \frac{-23}{3a}$
Ответ: $-\frac{23}{3a}$

г) Общий знаменатель для $14x$ и $7x$ — это $14x$. Дополнительный множитель для второй дроби равен 2.
$\frac{x-2y}{14x} + \frac{2 \cdot (3x+y)}{14x} = \frac{x-2y + 2(3x+y)}{14x}$
Раскроем скобки и упростим:
$\frac{x-2y + 6x + 2y}{14x} = \frac{7x}{14x}$
Сократим дробь:
$\frac{7x}{14x} = \frac{1}{2}$
Ответ: $\frac{1}{2}$

д) Общий знаменатель для $c$ и $d$ — это $cd$.
$\frac{5c-2}{c} - \frac{5d-1}{d} = \frac{d(5c-2)}{cd} - \frac{c(5d-1)}{cd}$
Запишем под общим знаменателем и раскроем скобки:
$\frac{5cd - 2d - (5cd - c)}{cd} = \frac{5cd - 2d - 5cd + c}{cd}$
Приведем подобные слагаемые:
$\frac{c-2d}{cd}$
Ответ: $\frac{c-2d}{cd}$

е) Общий знаменатель для $9a$ и $9b$ — это $9ab$.
$\frac{2a-1}{9a} + \frac{3-2b}{9b} = \frac{b(2a-1)}{9ab} + \frac{a(3-2b)}{9ab}$
Запишем под общим знаменателем и раскроем скобки:
$\frac{2ab-b + 3a-2ab}{9ab}$
Приведем подобные слагаемые:
$\frac{3a-b}{9ab}$
Ответ: $\frac{3a-b}{9ab}$

ж) Общий знаменатель для $mn$ и $mk$ — это $mnk$.
$\frac{m+n}{mn} - \frac{m+k}{mk} = \frac{k(m+n)}{mnk} - \frac{n(m+k)}{mnk}$
Запишем под общим знаменателем и раскроем скобки:
$\frac{mk+nk - (mn+nk)}{mnk} = \frac{mk+nk-mn-nk}{mnk}$
Приведем подобные слагаемые и вынесем общий множитель в числителе:
$\frac{mk-mn}{mnk} = \frac{m(k-n)}{mnk}$
Сократим дробь на $m$:
$\frac{k-n}{nk}$
Ответ: $\frac{k-n}{nk}$

з) Общий знаменатель для $b^2$ и $b$ — это $b^2$.
$\frac{2b-1}{b^2} + \frac{1}{b} = \frac{2b-1}{b^2} + \frac{b}{b^2} = \frac{2b-1+b}{b^2}$
Упростим числитель:
$\frac{3b-1}{b^2}$
Ответ: $\frac{3b-1}{b^2}$

и) Общий знаменатель для $a^4$ и $a^3$ — это $a^4$.
$\frac{a-1}{a^4} - \frac{1}{a^3} = \frac{a-1}{a^4} - \frac{a}{a^4} = \frac{a-1-a}{a^4}$
Упростим числитель:
$\frac{-1}{a^4}$
Ответ: $-\frac{1}{a^4}$

к) Общий знаменатель для $y$ и $y^2$ — это $y^2$.
$\frac{y+3}{y} - \frac{3y-1}{y^2} = \frac{y(y+3)}{y^2} - \frac{3y-1}{y^2} = \frac{y^2+3y-(3y-1)}{y^2}$
Раскроем скобки и упростим числитель:
$\frac{y^2+3y-3y+1}{y^2} = \frac{y^2+1}{y^2}$
Дробь является неправильной, так как степень числителя равна степени знаменателя. Выделим целую часть:
$\frac{y^2}{y^2} + \frac{1}{y^2} = 1 + \frac{1}{y^2}$
Ответ: 1$ + \frac{1}{y^2}$

Помогло решение? Оставьте отзыв в комментариях ниже.

Присоединяйтесь к Телеграм-группе @gdz_by_belarus

Присоединиться

Мы подготовили для вас ответ c подробным объяснением домашего задания по алгебре за 9 класс, для упражнения номер 1.105 расположенного на странице 40 к учебнику 2019 года издания для учащихся школ и гимназий.

Теперь на нашем сайте ГДЗ.ТОП вы всегда легко и бесплатно найдёте условие с правильным ответом на вопрос «Как решить ДЗ» и «Как сделать» задание по алгебре к упражнению №1.105 (с. 40), авторов: Арефьева (Ирина Глебовна), Пирютко (Ольга Николаевна), учебного пособия издательства Народная асвета.