Номер 1.117, страница 42 - гдз по алгебре 9 класс учебник Арефьева, Пирютко

Алгебра, 9 класс Учебник, авторы: Арефьева Ирина Глебовна, Пирютко Ольга Николаевна, издательство Народная асвета, Минск, 2019, голубого цвета

Авторы: Арефьева И. Г., Пирютко О. Н.

Тип: Учебник

Издательство: Народная асвета

Год издания: 2019 - 2025

Цвет обложки: голубой, синий с графиком

ISBN: 978-985-03-3077-2

Допущено Министерством образования Республики Беларусь

Популярные ГДЗ в 9 классе

Глава 1. Рациональные выражения. Параграф 3. Сложение и вычитание рациональных дробей - номер 1.117, страница 42.

№1.117 (с. 42)
Условие. №1.117 (с. 42)
скриншот условия
Алгебра, 9 класс Учебник, авторы: Арефьева Ирина Глебовна, Пирютко Ольга Николаевна, издательство Народная асвета, Минск, 2019, голубого цвета, страница 42, номер 1.117, Условие

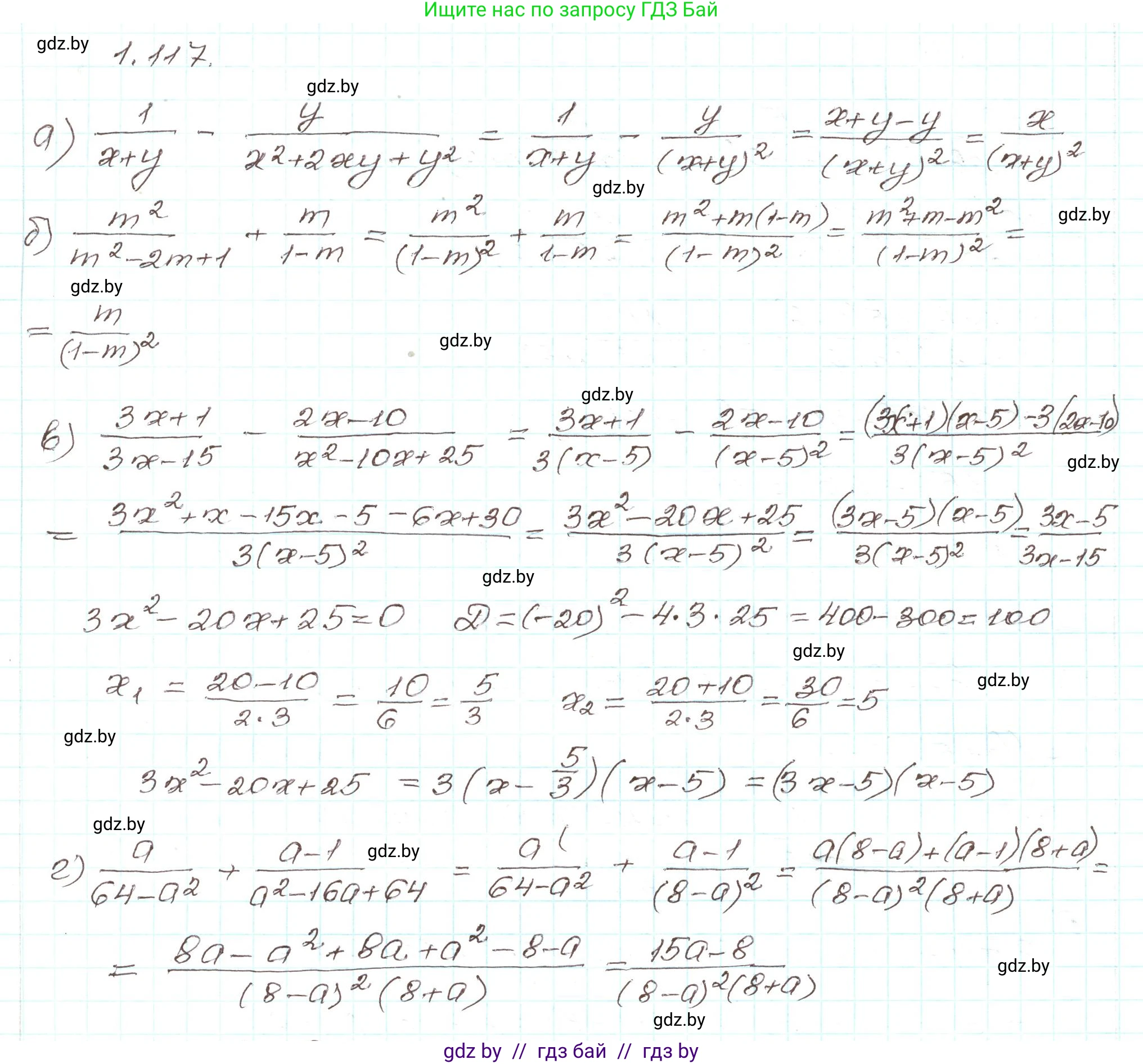
1.117. Примените формулы сокращенного умножения для разложения на множители знаменателей дробей и выполните действия:

а) $\frac{1}{x+y} - \frac{y}{x^2 + 2xy + y^2}$;

б) $\frac{m^2}{m^2 - 2m + 1} + \frac{m}{1-m}$;

в) $\frac{3x+1}{3x-15} - \frac{2x-10}{x^2 - 10x + 25}$;

г) $\frac{a}{64 - a^2} + \frac{a-1}{a^2 - 16a + 64}$.

Решение. №1.117 (с. 42)
Алгебра, 9 класс Учебник, авторы: Арефьева Ирина Глебовна, Пирютко Ольга Николаевна, издательство Народная асвета, Минск, 2019, голубого цвета, страница 42, номер 1.117, Решение
Решение 2. №1.117 (с. 42)

а) Для выполнения вычитания разложим знаменатель второй дроби на множители по формуле квадрата суммы $ (a+b)^2 = a^2+2ab+b^2 $: $$ \frac{1}{x+y} - \frac{y}{x^2+2xy+y^2} = \frac{1}{x+y} - \frac{y}{(x+y)^2} $$ Приведем дроби к общему знаменателю $ (x+y)^2 $, домножив первую дробь на $ (x+y) $: $$ \frac{1 \cdot (x+y)}{(x+y)^2} - \frac{y}{(x+y)^2} = \frac{x+y-y}{(x+y)^2} = \frac{x}{(x+y)^2} $$

Ответ: $ \frac{x}{(x+y)^2} $

б) Разложим знаменатели на множители. Знаменатель первой дроби — это квадрат разности $ m^2-2m+1 = (m-1)^2 $. Знаменатель второй дроби $ 1-m = -(m-1) $: $$ \frac{m^2}{m^2-2m+1} + \frac{m}{1-m} = \frac{m^2}{(m-1)^2} + \frac{m}{-(m-1)} = \frac{m^2}{(m-1)^2} - \frac{m}{m-1} $$ Приведем к общему знаменателю $ (m-1)^2 $, домножив вторую дробь на $ (m-1) $: $$ \frac{m^2}{(m-1)^2} - \frac{m(m-1)}{(m-1)^2} = \frac{m^2 - (m^2-m)}{(m-1)^2} = \frac{m^2 - m^2 + m}{(m-1)^2} = \frac{m}{(m-1)^2} $$

Ответ: $ \frac{m}{(m-1)^2} $

в) Разложим знаменатели на множители. В знаменателе первой дроби вынесем общий множитель за скобки. Знаменатель второй дроби является квадратом разности. Также разложим числитель второй дроби: $$ \frac{3x+1}{3(x-5)} - \frac{2(x-5)}{(x-5)^2} $$ Сократим вторую дробь на $ (x-5) $: $$ \frac{3x+1}{3(x-5)} - \frac{2}{x-5} $$ Приведем дроби к общему знаменателю $ 3(x-5) $, домножив вторую дробь на 3: $$ \frac{3x+1}{3(x-5)} - \frac{2 \cdot 3}{3(x-5)} = \frac{3x+1-6}{3(x-5)} = \frac{3x-5}{3(x-5)} $$ Так как степень числителя равна степени знаменателя, дробь является неправильной. Выделим целую часть: $$ \frac{3x-15+10}{3(x-5)} = \frac{3(x-5)}{3(x-5)} + \frac{10}{3(x-5)} = 1 + \frac{10}{3(x-5)} $$

Ответ: $ \mathbf{1} + \frac{10}{3(x-5)} $

г) Разложим знаменатели на множители. Знаменатель первой дроби — разность квадратов $ 64-a^2 = (8-a)(8+a) $. Знаменатель второй дроби — квадрат разности $ a^2-16a+64 = (a-8)^2 $. Учитывая, что $ (a-8)^2 = (8-a)^2 $, запишем выражение в виде: $$ \frac{a}{(8-a)(8+a)} + \frac{a-1}{(8-a)^2} $$ Приведем дроби к общему знаменателю $ (8-a)^2(8+a) $: $$ \frac{a \cdot (8-a)}{(8-a)^2(8+a)} + \frac{(a-1) \cdot (8+a)}{(8-a)^2(8+a)} = \frac{a(8-a) + (a-1)(8+a)}{(8-a)^2(8+a)} $$ Раскроем скобки в числителе и упростим его: $$ \frac{8a - a^2 + (a^2 + 8a - a - 8)}{(8-a)^2(8+a)} = \frac{8a - a^2 + a^2 + 7a - 8}{(8-a)^2(8+a)} = \frac{15a-8}{(8-a)^2(8+a)} $$

Ответ: $ \frac{15a-8}{(8-a)^2(8+a)} $

Помогло решение? Оставьте отзыв в комментариях ниже.

Присоединяйтесь к Телеграм-группе @gdz_by_belarus

Присоединиться

Мы подготовили для вас ответ c подробным объяснением домашего задания по алгебре за 9 класс, для упражнения номер 1.117 расположенного на странице 42 к учебнику 2019 года издания для учащихся школ и гимназий.

Теперь на нашем сайте ГДЗ.ТОП вы всегда легко и бесплатно найдёте условие с правильным ответом на вопрос «Как решить ДЗ» и «Как сделать» задание по алгебре к упражнению №1.117 (с. 42), авторов: Арефьева (Ирина Глебовна), Пирютко (Ольга Николаевна), учебного пособия издательства Народная асвета.