Номер 1.204, страница 58 - гдз по алгебре 9 класс учебник Арефьева, Пирютко

Алгебра, 9 класс Учебник, авторы: Арефьева Ирина Глебовна, Пирютко Ольга Николаевна, издательство Народная асвета, Минск, 2019, голубого цвета

Авторы: Арефьева И. Г., Пирютко О. Н.

Тип: Учебник

Издательство: Народная асвета

Год издания: 2019 - 2025

Цвет обложки: голубой, синий с графиком

ISBN: 978-985-03-3077-2

Допущено Министерством образования Республики Беларусь

Популярные ГДЗ в 9 классе

Глава 1. Рациональные выражения. Параграф 4. Умножение и деление рациональных дробей - номер 1.204, страница 58.

№1.204 (с. 58)
Условие. №1.204 (с. 58)
скриншот условия
Алгебра, 9 класс Учебник, авторы: Арефьева Ирина Глебовна, Пирютко Ольга Николаевна, издательство Народная асвета, Минск, 2019, голубого цвета, страница 58, номер 1.204, Условие

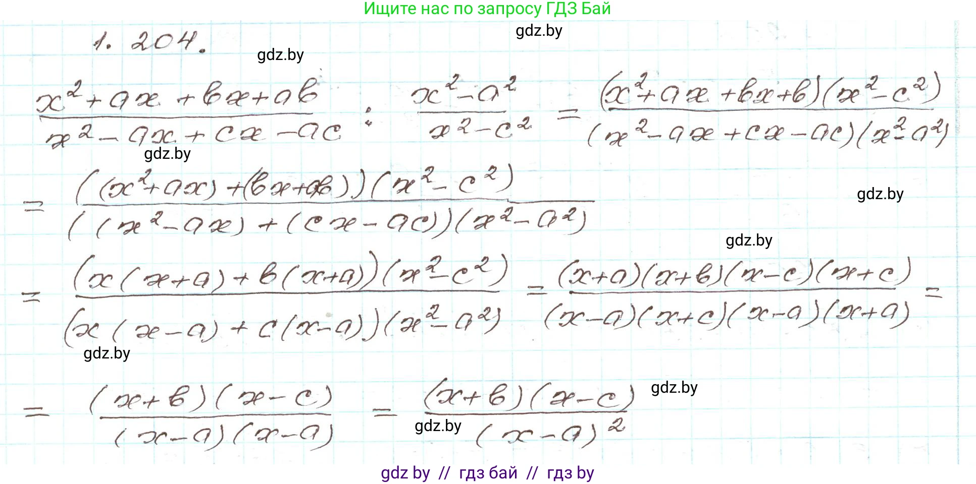
1.204* Представьте частное $ \frac{x^2 + ax + bx + ab}{x^2 - ax + cx - ac} : \frac{x^2 - a^2}{x^2 - c^2} $ в виде

несократимой рациональной дроби.

Решение. №1.204 (с. 58)
Алгебра, 9 класс Учебник, авторы: Арефьева Ирина Глебовна, Пирютко Ольга Николаевна, издательство Народная асвета, Минск, 2019, голубого цвета, страница 58, номер 1.204, Решение
Решение 2. №1.204 (с. 58)

Чтобы представить частное двух рациональных дробей в виде несократимой дроби, необходимо выполнить следующие шаги:
1. Заменить операцию деления на умножение, перевернув вторую дробь (делитель).
2. Разложить числители и знаменатели обеих дробей на множители.
3. Сократить одинаковые множители в числителе и знаменателе.

Исходное выражение:

$\frac{x^2+ax+bx+ab}{x^2-ax+cx-ac} : \frac{x^2-a^2}{x^2-c^2}$

Шаг 1: Замена деления умножением

$\frac{x^2+ax+bx+ab}{x^2-ax+cx-ac} \cdot \frac{x^2-c^2}{x^2-a^2}$

Шаг 2: Разложение на множители

Разложим на множители каждый многочлен:

  • Числитель первой дроби: $x^2+ax+bx+ab$. Применим метод группировки:
    $(x^2+ax) + (bx+ab) = x(x+a) + b(x+a) = (x+a)(x+b)$
  • Знаменатель первой дроби: $x^2-ax+cx-ac$. Применим метод группировки:
    $(x^2-ax) + (cx-ac) = x(x-a) + c(x-a) = (x-a)(x+c)$
  • Числитель второй дроби: $x^2-c^2$. Это разность квадратов:
    $x^2-c^2 = (x-c)(x+c)$
  • Знаменатель второй дроби: $x^2-a^2$. Это также разность квадратов:
    $x^2-a^2 = (x-a)(x+a)$

Шаг 3: Подстановка и сокращение

Подставим разложенные выражения обратно в произведение дробей:

$\frac{(x+a)(x+b)}{(x-a)(x+c)} \cdot \frac{(x-c)(x+c)}{(x-a)(x+a)}$

Теперь сократим общие множители. Множитель $(x+a)$ в числителе первой дроби и знаменателе второй дроби сокращаются. Множитель $(x+c)$ в знаменателе первой дроби и числителе второй дроби также сокращаются.

$\frac{\cancel{(x+a)}(x+b)}{(x-a)\cancel{(x+c)}} \cdot \frac{(x-c)\cancel{(x+c)}}{(x-a)\cancel{(x+a)}} = \frac{(x+b)(x-c)}{(x-a)(x-a)}$

Результат можно записать в более компактном виде:

$\frac{(x+b)(x-c)}{(x-a)^2}$

Эта дробь является несократимой, так как в числителе и знаменателе нет общих множителей.

Ответ: $\frac{(x+b)(x-c)}{(x-a)^2}$

Помогло решение? Оставьте отзыв в комментариях ниже.

Присоединяйтесь к Телеграм-группе @gdz_by_belarus

Присоединиться

Мы подготовили для вас ответ c подробным объяснением домашего задания по алгебре за 9 класс, для упражнения номер 1.204 расположенного на странице 58 к учебнику 2019 года издания для учащихся школ и гимназий.

Теперь на нашем сайте ГДЗ.ТОП вы всегда легко и бесплатно найдёте условие с правильным ответом на вопрос «Как решить ДЗ» и «Как сделать» задание по алгебре к упражнению №1.204 (с. 58), авторов: Арефьева (Ирина Глебовна), Пирютко (Ольга Николаевна), учебного пособия издательства Народная асвета.