Номер 1.236, страница 68 - гдз по алгебре 9 класс учебник Арефьева, Пирютко

Алгебра, 9 класс Учебник, авторы: Арефьева Ирина Глебовна, Пирютко Ольга Николаевна, издательство Народная асвета, Минск, 2019, голубого цвета

Авторы: Арефьева И. Г., Пирютко О. Н.

Тип: Учебник

Издательство: Народная асвета

Год издания: 2019 - 2025

Цвет обложки: голубой, синий с графиком

ISBN: 978-985-03-3077-2

Допущено Министерством образования Республики Беларусь

Популярные ГДЗ в 9 классе

Глава 1. Рациональные выражения. Параграф 5. Преобразования рациональных выражений - номер 1.236, страница 68.

№1.236 (с. 68)
Условие. №1.236 (с. 68)
скриншот условия
Алгебра, 9 класс Учебник, авторы: Арефьева Ирина Глебовна, Пирютко Ольга Николаевна, издательство Народная асвета, Минск, 2019, голубого цвета, страница 68, номер 1.236, Условие

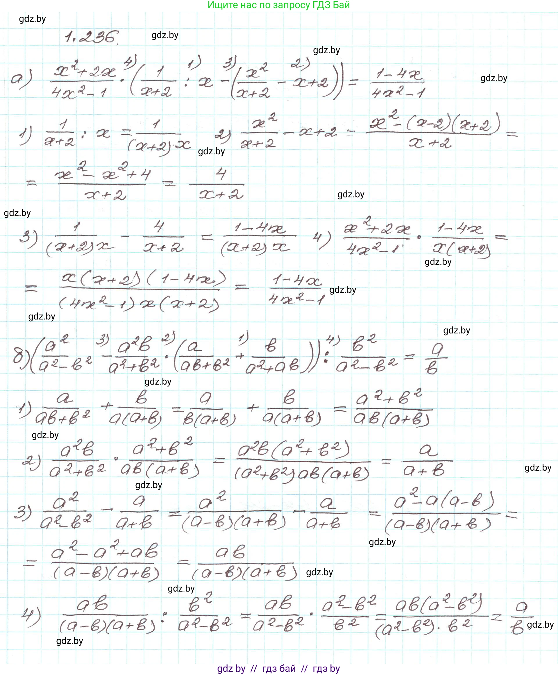
1.236*. Преобразуйте рациональное выражение к несократимой дроби:

a) $\frac{x^2 + 2x}{4x^2 - 1} \cdot \left(\frac{1}{x + 2} : x - \left(\frac{x^2}{x + 2} - x + 2\right)\right);$

б) $\left(\frac{a^2}{a^2 - b^2} - \frac{a^2b}{a^2 + b^2}\right) \cdot \left(\frac{a}{ab + b^2} + \frac{b}{a^2 + ab}\right) : \frac{b^2}{a^2 - b^2}.$

Решение. №1.236 (с. 68)
Алгебра, 9 класс Учебник, авторы: Арефьева Ирина Глебовна, Пирютко Ольга Николаевна, издательство Народная асвета, Минск, 2019, голубого цвета, страница 68, номер 1.236, Решение
Решение 2. №1.236 (с. 68)

a) Исходное выражение:

$$ \frac{x^2+2x}{4x^2-1} \cdot \left( \frac{1}{x+2} : x - \left( \frac{x^2}{x+2} - x + 2 \right) \right); $$

Решаем по действиям, соблюдая порядок операций. Сначала упростим выражение во внутренних скобках:

$$ \frac{x^2}{x+2} - x + 2 = \frac{x^2}{x+2} - \frac{x(x+2)}{x+2} + \frac{2(x+2)}{x+2} = \frac{x^2 - (x^2+2x) + (2x+4)}{x+2} = \frac{x^2 - x^2 - 2x + 2x + 4}{x+2} = \frac{4}{x+2} $$

Теперь выражение в больших скобках принимает вид (сначала выполняем деление, затем вычитание):

$$ \frac{1}{x+2} : x - \frac{4}{x+2} = \left(\frac{1}{x+2} \cdot \frac{1}{x}\right) - \frac{4}{x+2} = \frac{1}{x(x+2)} - \frac{4}{x+2} $$

Приводим к общему знаменателю $x(x+2)$:

$$ \frac{1}{x(x+2)} - \frac{4x}{x(x+2)} = \frac{1-4x}{x(x+2)} $$

Теперь умножим результат на первый множитель. Предварительно разложим числитель и знаменатель первого множителя:

$$ \frac{x^2+2x}{4x^2-1} = \frac{x(x+2)}{(2x-1)(2x+1)} $$

Выполняем умножение и сокращаем общие множители:

$$ \frac{x(x+2)}{(2x-1)(2x+1)} \cdot \frac{1-4x}{x(x+2)} = \frac{1-4x}{(2x-1)(2x+1)} = \frac{1-4x}{4x^2-1} $$

Ответ: $\frac{1-4x}{4x^2-1}$

б) Исходное выражение:

$$ \left( \frac{a^2}{a^2-b^2} - \frac{a^2b}{a^2+b^2} \cdot \left( \frac{a}{ab+b^2} + \frac{b}{a^2+ab} \right) \right) : \frac{b^2}{a^2-b^2} $$

Начнем с выражения во внутренних скобках. Разложим знаменатели на множители и приведем к общему знаменателю:

$$ \frac{a}{ab+b^2} + \frac{b}{a^2+ab} = \frac{a}{b(a+b)} + \frac{b}{a(a+b)} = \frac{a \cdot a}{ab(a+b)} + \frac{b \cdot b}{ab(a+b)} = \frac{a^2+b^2}{ab(a+b)} $$

Теперь выполним умножение в больших скобках:

$$ \frac{a^2b}{a^2+b^2} \cdot \frac{a^2+b^2}{ab(a+b)} $$

Сокращаем $(a^2+b^2)$ и $ab$:

$$ \frac{a^2b}{a^2+b^2} \cdot \frac{a^2+b^2}{ab(a+b)} = \frac{a^2b}{ab(a+b)} = \frac{a}{a+b} $$

Теперь выполним вычитание в больших скобках:

$$ \frac{a^2}{a^2-b^2} - \frac{a}{a+b} = \frac{a^2}{(a-b)(a+b)} - \frac{a(a-b)}{(a-b)(a+b)} = \frac{a^2 - a(a-b)}{(a-b)(a+b)} = \frac{a^2 - a^2 + ab}{(a-b)(a+b)} = \frac{ab}{a^2-b^2} $$

Наконец, выполним деление:

$$ \frac{ab}{a^2-b^2} : \frac{b^2}{a^2-b^2} = \frac{ab}{a^2-b^2} \cdot \frac{a^2-b^2}{b^2} $$

Сокращаем $(a^2-b^2)$ и $b$:

$$ \frac{ab}{b^2} = \frac{a}{b} $$

Ответ: $\frac{a}{b}$

Помогло решение? Оставьте отзыв в комментариях ниже.

Присоединяйтесь к Телеграм-группе @gdz_by_belarus

Присоединиться

Мы подготовили для вас ответ c подробным объяснением домашего задания по алгебре за 9 класс, для упражнения номер 1.236 расположенного на странице 68 к учебнику 2019 года издания для учащихся школ и гимназий.

Теперь на нашем сайте ГДЗ.ТОП вы всегда легко и бесплатно найдёте условие с правильным ответом на вопрос «Как решить ДЗ» и «Как сделать» задание по алгебре к упражнению №1.236 (с. 68), авторов: Арефьева (Ирина Глебовна), Пирютко (Ольга Николаевна), учебного пособия издательства Народная асвета.