Номер 1.41, страница 26 - гдз по алгебре 9 класс учебник Арефьева, Пирютко

Алгебра, 9 класс Учебник, авторы: Арефьева Ирина Глебовна, Пирютко Ольга Николаевна, издательство Народная асвета, Минск, 2019, голубого цвета

Авторы: Арефьева И. Г., Пирютко О. Н.

Тип: Учебник

Издательство: Народная асвета

Год издания: 2019 - 2025

Цвет обложки: голубой, синий с графиком

ISBN: 978-985-03-3077-2

Допущено Министерством образования Республики Беларусь

Популярные ГДЗ в 9 классе

Глава 1. Рациональные выражения. Параграф 2. Основное свойство рациональной дроби. Сокращение рациональных дробей - номер 1.41, страница 26.

№1.41 (с. 26)
Условие. №1.41 (с. 26)
скриншот условия
Алгебра, 9 класс Учебник, авторы: Арефьева Ирина Глебовна, Пирютко Ольга Николаевна, издательство Народная асвета, Минск, 2019, голубого цвета, страница 26, номер 1.41, Условие

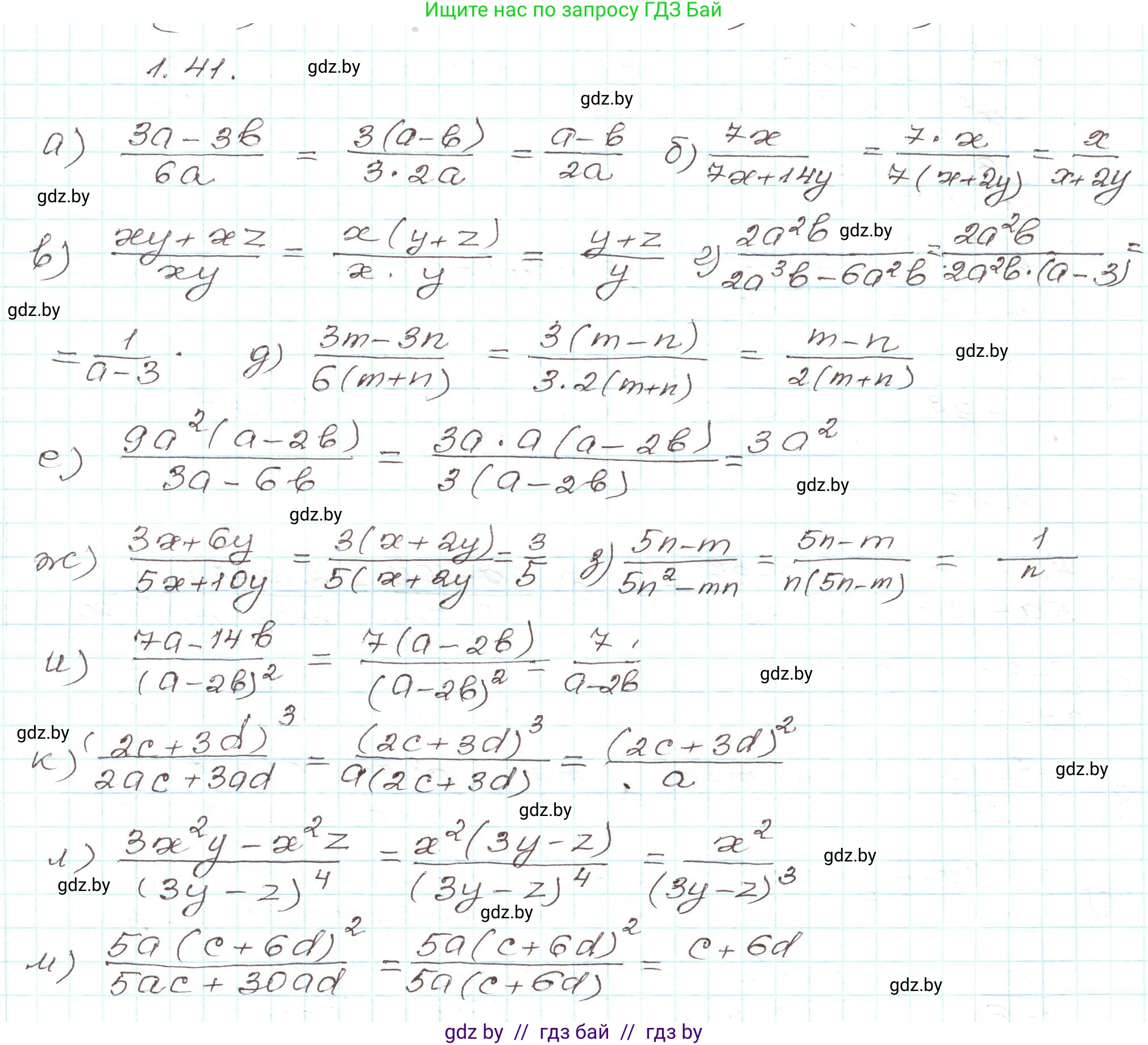
1.41. Разложите на множители числитель и знаменатель дроби и сократите дробь:

а) $\frac{3a - 3b}{6a}$;

б) $\frac{7x}{7x + 14y}$;

в) $\frac{xy + xz}{xy}$;

г) $\frac{2a^2b}{2a^3b - 6a^2b}$;

д) $\frac{3m - 3n}{6(m + n)}$;

е) $\frac{9a^2(a - 2b)}{3a - 6b}$;

ж) $\frac{3x + 6y}{5x + 10y}$;

з) $\frac{5n - m}{5n^2 - mn}$;

и) $\frac{7a - 14b}{(a - 2b)^2}$;

к) $\frac{(2c + 3d)^3}{2ac + 3ad}$;

л) $\frac{3x^2y - x^2z}{(3y - z)^4}$;

м) $\frac{5a(c + 6d)^2}{5ac + 30ad}$.

Решение. №1.41 (с. 26)
Алгебра, 9 класс Учебник, авторы: Арефьева Ирина Глебовна, Пирютко Ольга Николаевна, издательство Народная асвета, Минск, 2019, голубого цвета, страница 26, номер 1.41, Решение
Решение 2. №1.41 (с. 26)

а) $\frac{3a - 3b}{6a}$

Для сокращения дроби разложим числитель на множители, вынеся за скобки общий множитель 3:

$3a - 3b = 3(a - b)$

Подставим полученное выражение в дробь и сократим на общий множитель 3:

$\frac{3(a - b)}{6a} = \frac{a - b}{2a}$

Ответ: $\frac{a - b}{2a}$


б) $\frac{7x}{7x + 14y}$

Разложим знаменатель на множители, вынеся за скобки общий множитель 7:

$7x + 14y = 7(x + 2y)$

Подставим полученное выражение в дробь и сократим на общий множитель 7:

$\frac{7x}{7(x + 2y)} = \frac{x}{x + 2y}$

Ответ: $\frac{x}{x + 2y}$


в) $\frac{xy + xz}{xy}$

Разложим числитель на множители, вынеся за скобки общий множитель $x$:

$xy + xz = x(y + z)$

Подставим полученное выражение в дробь и сократим на общий множитель $x$:

$\frac{x(y + z)}{xy} = \frac{y + z}{y}$

Это неправильная дробь, из которой можно выделить целую часть, разделив числитель почленно на знаменатель:

$\frac{y + z}{y} = \frac{y}{y} + \frac{z}{y} = 1 + \frac{z}{y}$

Ответ: $1 + \frac{z}{y}$


г) $\frac{2a^2b}{2a^3b - 6a^2b}$

Разложим знаменатель на множители, вынеся за скобки общий множитель $2a^2b$:

$2a^3b - 6a^2b = 2a^2b(a - 3)$

Подставим полученное выражение в дробь и сократим на общий множитель $2a^2b$:

$\frac{2a^2b}{2a^2b(a - 3)} = \frac{1}{a - 3}$

Ответ: $\frac{1}{a - 3}$


д) $\frac{3m - 3n}{6(m + n)}$

Разложим числитель на множители, вынеся за скобки общий множитель 3:

$3m - 3n = 3(m - n)$

Подставим полученное выражение в дробь и сократим на общий множитель 3:

$\frac{3(m - n)}{6(m + n)} = \frac{m - n}{2(m + n)}$

Ответ: $\frac{m - n}{2(m + n)}$


е) $\frac{9a^2(a - 2b)}{3a - 6b}$

Разложим знаменатель на множители, вынеся за скобки общий множитель 3:

$3a - 6b = 3(a - 2b)$

Подставим полученное выражение в дробь и сократим на общие множители 3 и $(a - 2b)$:

$\frac{9a^2(a - 2b)}{3(a - 2b)} = \frac{9a^2}{3} = 3a^2$

Ответ: $3a^2$


ж) $\frac{3x + 6y}{5x + 10y}$

Вынесем общие множители в числителе (3) и в знаменателе (5):

$\frac{3(x + 2y)}{5(x + 2y)}$

Сократим дробь на общий множитель $(x + 2y)$:

$\frac{3}{5}$

Ответ: $\frac{3}{5}$


з) $\frac{5n - m}{5n^2 - mn}$

Разложим знаменатель на множители, вынеся за скобки общий множитель $n$:

$5n^2 - mn = n(5n - m)$

Подставим полученное выражение в дробь и сократим на общий множитель $(5n - m)$:

$\frac{5n - m}{n(5n - m)} = \frac{1}{n}$

Ответ: $\frac{1}{n}$


и) $\frac{7a - 14b}{(a - 2b)^2}$

Разложим числитель на множители, вынеся за скобки общий множитель 7:

$7a - 14b = 7(a - 2b)$

Подставим полученное выражение в дробь и сократим на общий множитель $(a - 2b)$:

$\frac{7(a - 2b)}{(a - 2b)^2} = \frac{7}{a - 2b}$

Ответ: $\frac{7}{a - 2b}$


к) $\frac{(2c + 3d)^3}{2ac + 3ad}$

Разложим знаменатель на множители, вынеся за скобки общий множитель $a$:

$2ac + 3ad = a(2c + 3d)$

Подставим полученное выражение в дробь и сократим на общий множитель $(2c + 3d)$:

$\frac{(2c + 3d)^3}{a(2c + 3d)} = \frac{(2c + 3d)^2}{a}$

Ответ: $\frac{(2c + 3d)^2}{a}$


л) $\frac{3x^2y - x^2z}{(3y - z)^4}$

Разложим числитель на множители, вынеся за скобки общий множитель $x^2$:

$3x^2y - x^2z = x^2(3y - z)$

Подставим полученное выражение в дробь и сократим на общий множитель $(3y - z)$:

$\frac{x^2(3y - z)}{(3y - z)^4} = \frac{x^2}{(3y - z)^3}$

Ответ: $\frac{x^2}{(3y - z)^3}$


м) $\frac{5a(c + 6d)^2}{5ac + 30ad}$

Разложим знаменатель на множители, вынеся за скобки общий множитель $5a$:

$5ac + 30ad = 5a(c + 6d)$

Подставим полученное выражение в дробь и сократим на общие множители $5a$ и $(c + 6d)$:

$\frac{5a(c + 6d)^2}{5a(c + 6d)} = c + 6d$

Ответ: $c + 6d$

Помогло решение? Оставьте отзыв в комментариях ниже.

Присоединяйтесь к Телеграм-группе @gdz_by_belarus

Присоединиться

Мы подготовили для вас ответ c подробным объяснением домашего задания по алгебре за 9 класс, для упражнения номер 1.41 расположенного на странице 26 к учебнику 2019 года издания для учащихся школ и гимназий.

Теперь на нашем сайте ГДЗ.ТОП вы всегда легко и бесплатно найдёте условие с правильным ответом на вопрос «Как решить ДЗ» и «Как сделать» задание по алгебре к упражнению №1.41 (с. 26), авторов: Арефьева (Ирина Глебовна), Пирютко (Ольга Николаевна), учебного пособия издательства Народная асвета.