Номер 1.74, страница 31 - гдз по алгебре 9 класс учебник Арефьева, Пирютко

Алгебра, 9 класс Учебник, авторы: Арефьева Ирина Глебовна, Пирютко Ольга Николаевна, издательство Народная асвета, Минск, 2019, голубого цвета

Авторы: Арефьева И. Г., Пирютко О. Н.

Тип: Учебник

Издательство: Народная асвета

Год издания: 2019 - 2025

Цвет обложки: голубой, синий с графиком

ISBN: 978-985-03-3077-2

Допущено Министерством образования Республики Беларусь

Популярные ГДЗ в 9 классе

Глава 1. Рациональные выражения. Параграф 2. Основное свойство рациональной дроби. Сокращение рациональных дробей - номер 1.74, страница 31.

№1.74 (с. 31)
Условие. №1.74 (с. 31)
скриншот условия
Алгебра, 9 класс Учебник, авторы: Арефьева Ирина Глебовна, Пирютко Ольга Николаевна, издательство Народная асвета, Минск, 2019, голубого цвета, страница 31, номер 1.74, Условие

1.74. Воспользуйтесь формулой разложения квадратного трехчлена на множители и сократите дробь:

а) $\frac{x^2 + 4x + 3}{x^2 - 1};$

б) $\frac{x^2 + 6x + 9}{x^2 - 2x - 15};$

в) $\frac{6x^2 + 11x - 2}{6x - 1};$

г) $\frac{5x^2 - 3x - 2}{4 - 25x^2};$

д) $\frac{3x^2 + 16x - 12}{10 - 13x - 3x^2};$

е) $\frac{a^4 + 2a^3 - 9a^2 - 18a}{a^2 - a - 6}.$

Решение. №1.74 (с. 31)
Алгебра, 9 класс Учебник, авторы: Арефьева Ирина Глебовна, Пирютко Ольга Николаевна, издательство Народная асвета, Минск, 2019, голубого цвета, страница 31, номер 1.74, Решение Алгебра, 9 класс Учебник, авторы: Арефьева Ирина Глебовна, Пирютко Ольга Николаевна, издательство Народная асвета, Минск, 2019, голубого цвета, страница 31, номер 1.74, Решение (продолжение 2)
Решение 2. №1.74 (с. 31)

Для решения задачи воспользуемся формулой разложения квадратного трехчлена на множители: $ax^2 + bx + c = a(x - x_1)(x - x_2)$, где $x_1$ и $x_2$ — корни квадратного уравнения $ax^2 + bx + c = 0$.

а) Рассмотрим дробь $\frac{x^2 + 4x + 3}{x^2 - 1}$.

Сначала разложим на множители числитель $x^2 + 4x + 3$. Для этого решим квадратное уравнение $x^2 + 4x + 3 = 0$.
Найдем дискриминант: $D = b^2 - 4ac = 4^2 - 4 \cdot 1 \cdot 3 = 16 - 12 = 4$.
Корни уравнения: $x_1 = \frac{-4 + \sqrt{4}}{2 \cdot 1} = \frac{-2}{2} = -1$; $x_2 = \frac{-4 - \sqrt{4}}{2 \cdot 1} = \frac{-6}{2} = -3$.
Таким образом, числитель раскладывается на множители: $x^2 + 4x + 3 = (x - (-1))(x - (-3)) = (x+1)(x+3)$.

Знаменатель $x^2 - 1$ разложим по формуле разности квадратов: $x^2 - 1^2 = (x-1)(x+1)$.

Теперь сократим дробь:

$\frac{x^2 + 4x + 3}{x^2 - 1} = \frac{(x+1)(x+3)}{(x-1)(x+1)} = \frac{x+3}{x-1}$

Полученная дробь является неправильной (степень числителя равна степени знаменателя). Выделим целую часть:

$\frac{x+3}{x-1} = \frac{(x-1) + 4}{x-1} = \frac{x-1}{x-1} + \frac{4}{x-1} = 1 + \frac{4}{x-1}$

Ответ: $1 + \frac{4}{x-1}$

б) Рассмотрим дробь $\frac{x^2 + 6x + 9}{x^2 - 2x - 15}$.

Числитель $x^2 + 6x + 9$ является полным квадратом: $x^2 + 2 \cdot x \cdot 3 + 3^2 = (x+3)^2$.

Разложим на множители знаменатель $x^2 - 2x - 15$. Решим уравнение $x^2 - 2x - 15 = 0$.
Найдем дискриминант: $D = (-2)^2 - 4 \cdot 1 \cdot (-15) = 4 + 60 = 64$.
Корни уравнения: $x_1 = \frac{2 + \sqrt{64}}{2} = \frac{10}{2} = 5$; $x_2 = \frac{2 - \sqrt{64}}{2} = \frac{-6}{2} = -3$.
Знаменатель раскладывается на множители: $x^2 - 2x - 15 = (x-5)(x-(-3)) = (x-5)(x+3)$.

Теперь сократим дробь:

$\frac{x^2 + 6x + 9}{x^2 - 2x - 15} = \frac{(x+3)^2}{(x-5)(x+3)} = \frac{x+3}{x-5}$

Выделим целую часть из неправильной дроби:

$\frac{x+3}{x-5} = \frac{(x-5) + 8}{x-5} = \frac{x-5}{x-5} + \frac{8}{x-5} = 1 + \frac{8}{x-5}$

Ответ: $1 + \frac{8}{x-5}$

в) Рассмотрим дробь $\frac{6x^2 + 11x - 2}{6x - 1}$.

Разложим на множители числитель $6x^2 + 11x - 2$. Решим уравнение $6x^2 + 11x - 2 = 0$.
Найдем дискриминант: $D = 11^2 - 4 \cdot 6 \cdot (-2) = 121 + 48 = 169$.
Корни уравнения: $x_1 = \frac{-11 + \sqrt{169}}{2 \cdot 6} = \frac{2}{12} = \frac{1}{6}$; $x_2 = \frac{-11 - \sqrt{169}}{12} = \frac{-24}{12} = -2$.
Числитель раскладывается на множители: $6x^2 + 11x - 2 = 6(x-\frac{1}{6})(x-(-2)) = (6x-1)(x+2)$.

Теперь сократим дробь:

$\frac{6x^2 + 11x - 2}{6x - 1} = \frac{(6x-1)(x+2)}{6x - 1} = x+2$

Выражение является многочленом, что и является его целой частью.

Ответ: $x+2$

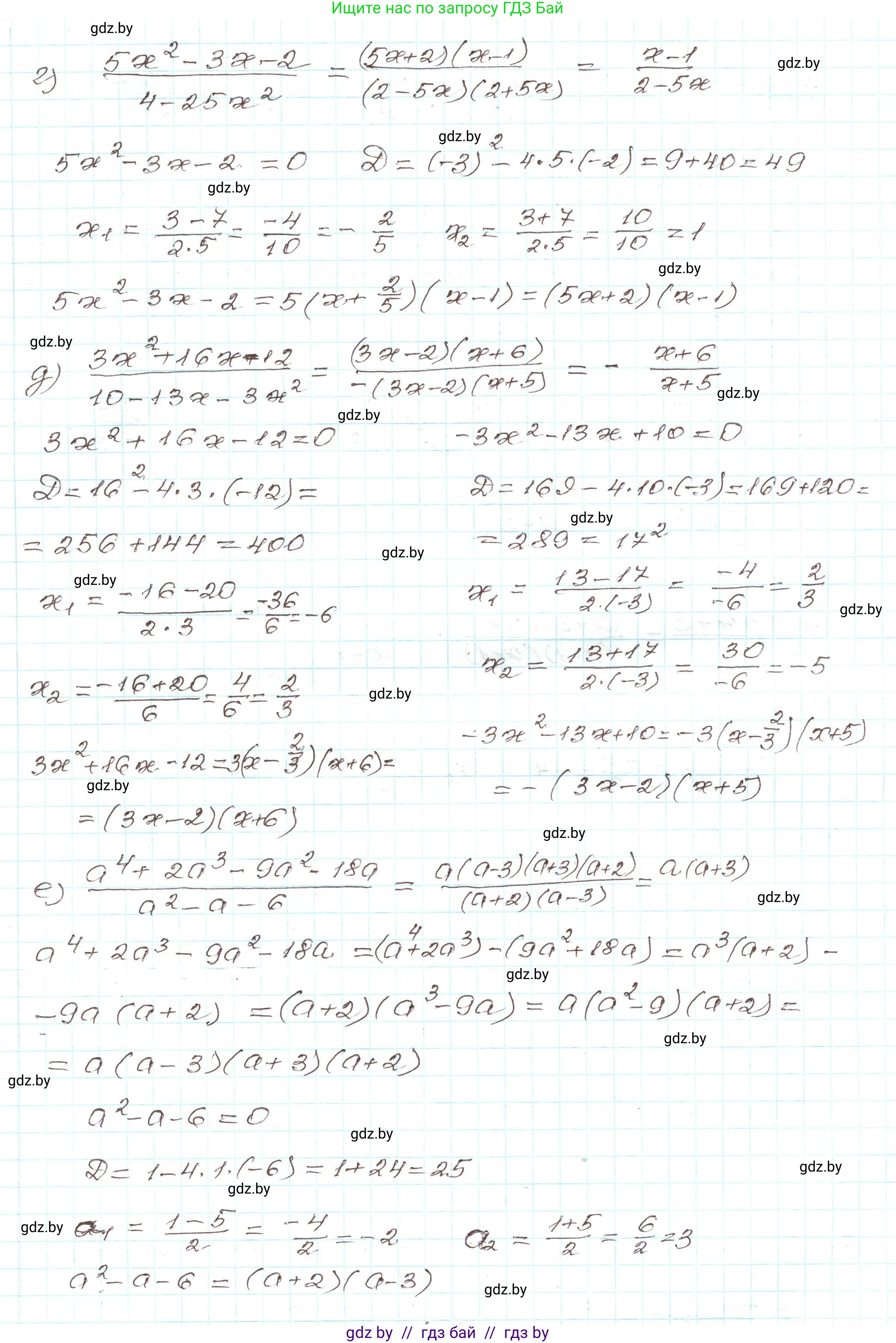
г) Рассмотрим дробь $\frac{5x^2 - 3x - 2}{4 - 25x^2}$.

Разложим на множители числитель $5x^2 - 3x - 2$. Решим уравнение $5x^2 - 3x - 2 = 0$.
Найдем дискриминант: $D = (-3)^2 - 4 \cdot 5 \cdot (-2) = 9 + 40 = 49$.
Корни уравнения: $x_1 = \frac{3 + \sqrt{49}}{2 \cdot 5} = \frac{10}{10} = 1$; $x_2 = \frac{3 - \sqrt{49}}{10} = \frac{-4}{10} = -\frac{2}{5}$.
Числитель раскладывается на множители: $5x^2 - 3x - 2 = 5(x-1)(x-(-\frac{2}{5})) = (x-1)(5x+2)$.

Знаменатель $4 - 25x^2$ разложим по формуле разности квадратов: $2^2 - (5x)^2 = (2-5x)(2+5x)$.

Теперь сократим дробь:

$\frac{5x^2 - 3x - 2}{4 - 25x^2} = \frac{(x-1)(5x+2)}{(2-5x)(2+5x)} = \frac{x-1}{2-5x}$

Выделим целую часть из неправильной дроби $\frac{x-1}{-5x+2}$:

$\frac{x-1}{-5x+2} = \frac{-\frac{1}{5}(-5x+2) - 1 + \frac{2}{5}}{-5x+2} = -\frac{1}{5} + \frac{-3/5}{-5x+2} = -\frac{1}{5} + \frac{3}{5(5x-2)}$

Ответ: $-\frac{1}{5} + \frac{3}{5(5x-2)}$

д) Рассмотрим дробь $\frac{3x^2 + 16x - 12}{10 - 13x - 3x^2}$.

Разложим на множители числитель $3x^2 + 16x - 12$. Решим уравнение $3x^2 + 16x - 12 = 0$.
Найдем дискриминант: $D = 16^2 - 4 \cdot 3 \cdot (-12) = 256 + 144 = 400$.
Корни уравнения: $x_1 = \frac{-16 + \sqrt{400}}{2 \cdot 3} = \frac{4}{6} = \frac{2}{3}$; $x_2 = \frac{-16 - \sqrt{400}}{6} = \frac{-36}{6} = -6$.
Числитель раскладывается на множители: $3x^2 + 16x - 12 = 3(x-\frac{2}{3})(x-(-6)) = (3x-2)(x+6)$.

Разложим на множители знаменатель $10 - 13x - 3x^2 = -(3x^2+13x-10)$. Решим уравнение $3x^2+13x-10 = 0$.
Найдем дискриминант: $D = 13^2 - 4 \cdot 3 \cdot (-10) = 169 + 120 = 289$.
Корни уравнения: $x_1 = \frac{-13 + \sqrt{289}}{2 \cdot 3} = \frac{4}{6} = \frac{2}{3}$; $x_2 = \frac{-13 - \sqrt{289}}{6} = \frac{-30}{6} = -5$.
Знаменатель раскладывается на множители: $-(3(x-\frac{2}{3})(x-(-5))) = -(3x-2)(x+5) = (2-3x)(x+5)$.

Теперь сократим дробь:

$\frac{3x^2 + 16x - 12}{10 - 13x - 3x^2} = \frac{(3x-2)(x+6)}{(2-3x)(x+5)} = \frac{-(2-3x)(x+6)}{(2-3x)(x+5)} = -\frac{x+6}{x+5}$

Выделим целую часть из неправильной дроби:

$-\frac{x+6}{x+5} = -\frac{(x+5)+1}{x+5} = -(\frac{x+5}{x+5} + \frac{1}{x+5}) = -(1 + \frac{1}{x+5}) = -1 - \frac{1}{x+5}$

Ответ: $-1 - \frac{1}{x+5}$

е) Рассмотрим дробь $\frac{a^4 + 2a^3 - 9a^2 - 18a}{a^2 - a - 6}$.

Разложим на множители числитель, вынеся общий множитель $a$ и используя метод группировки:

$a^4 + 2a^3 - 9a^2 - 18a = a(a^3 + 2a^2 - 9a - 18) = a(a^2(a+2) - 9(a+2)) = a(a^2-9)(a+2)$

Используя формулу разности квадратов, получаем: $a(a-3)(a+3)(a+2)$.

Разложим на множители знаменатель $a^2 - a - 6$. Решим уравнение $a^2 - a - 6 = 0$.
По теореме Виета, корни $a_1=3, a_2=-2$.
Знаменатель раскладывается на множители: $a^2 - a - 6 = (a-3)(a-(-2)) = (a-3)(a+2)$.

Теперь сократим дробь:

$\frac{a(a-3)(a+3)(a+2)}{(a-3)(a+2)} = a(a+3) = a^2+3a$

Выражение является многочленом, что и является его целой частью.

Ответ: $a^2+3a$

Помогло решение? Оставьте отзыв в комментариях ниже.

Присоединяйтесь к Телеграм-группе @gdz_by_belarus

Присоединиться

Мы подготовили для вас ответ c подробным объяснением домашего задания по алгебре за 9 класс, для упражнения номер 1.74 расположенного на странице 31 к учебнику 2019 года издания для учащихся школ и гимназий.

Теперь на нашем сайте ГДЗ.ТОП вы всегда легко и бесплатно найдёте условие с правильным ответом на вопрос «Как решить ДЗ» и «Как сделать» задание по алгебре к упражнению №1.74 (с. 31), авторов: Арефьева (Ирина Глебовна), Пирютко (Ольга Николаевна), учебного пособия издательства Народная асвета.