Номер 1.8, страница 15 - гдз по алгебре 9 класс учебник Арефьева, Пирютко

Алгебра, 9 класс Учебник, авторы: Арефьева Ирина Глебовна, Пирютко Ольга Николаевна, издательство Народная асвета, Минск, 2019, голубого цвета

Авторы: Арефьева И. Г., Пирютко О. Н.

Тип: Учебник

Издательство: Народная асвета

Год издания: 2019 - 2025

Цвет обложки: голубой, синий с графиком

ISBN: 978-985-03-3077-2

Допущено Министерством образования Республики Беларусь

Популярные ГДЗ в 9 классе

Глава 1. Рациональные выражения. Параграф 1. Рациональная дробь - номер 1.8, страница 15.

№1.8 (с. 15)
Условие. №1.8 (с. 15)
скриншот условия
Алгебра, 9 класс Учебник, авторы: Арефьева Ирина Глебовна, Пирютко Ольга Николаевна, издательство Народная асвета, Минск, 2019, голубого цвета, страница 15, номер 1.8, Условие

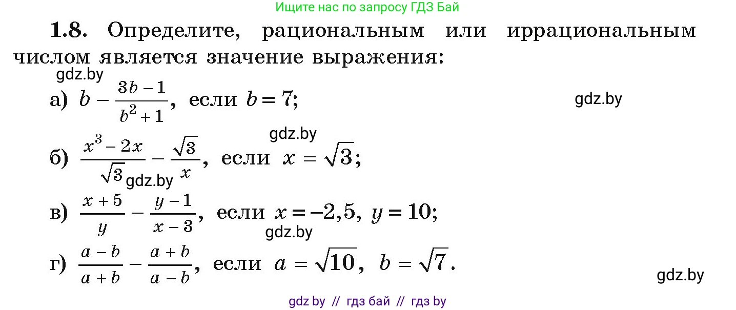
1.8. Определите, рациональным или иррациональным числом является значение выражения:

a) $b - \frac{3b - 1}{b^2 + 1}$, если $b=7$;

б) $\frac{x^3 - 2x}{\sqrt{3}} - \frac{\sqrt{3}}{x}$, если $x=\sqrt{3}$;

в) $\frac{x+5}{y} - \frac{y-1}{x-3}$, если $x=-2,5$, $y=10$;

г) $\frac{a-b}{a+b} - \frac{a+b}{a-b}$, если $a=\sqrt{10}$, $b=\sqrt{7}$.

Решение. №1.8 (с. 15)
Алгебра, 9 класс Учебник, авторы: Арефьева Ирина Глебовна, Пирютко Ольга Николаевна, издательство Народная асвета, Минск, 2019, голубого цвета, страница 15, номер 1.8, Решение
Решение 2. №1.8 (с. 15)

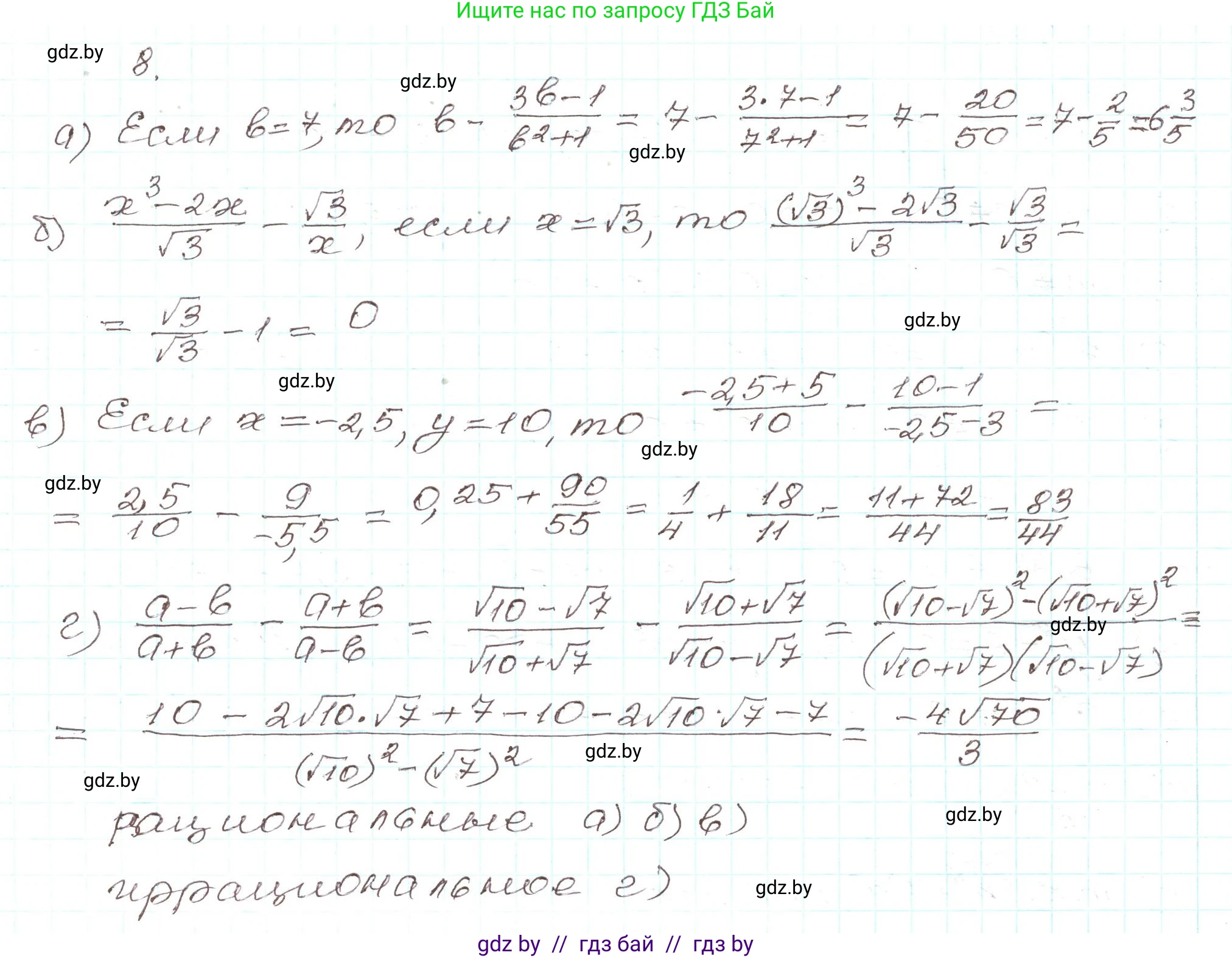
а) Подставим значение $b=7$ в выражение $b - \frac{3b - 1}{b^2 + 1}$:

$7 - \frac{3 \cdot 7 - 1}{7^2 + 1} = 7 - \frac{21 - 1}{49 + 1} = 7 - \frac{20}{50} = 7 - \frac{2}{5}$

Приведем к общему знаменателю:

$\frac{7 \cdot 5}{5} - \frac{2}{5} = \frac{35 - 2}{5} = \frac{33}{5}$

Полученное число $\frac{33}{5}$ является рациональным, так как его можно представить в виде отношения двух целых чисел. Ответ: 6$\frac{3}{5}$.

б) Подставим значение $x = \sqrt{3}$ в выражение $\frac{x^3 - 2x}{\sqrt{3}} - \frac{\sqrt{3}}{x}$:

$\frac{(\sqrt{3})^3 - 2\sqrt{3}}{\sqrt{3}} - \frac{\sqrt{3}}{\sqrt{3}} = \frac{3\sqrt{3} - 2\sqrt{3}}{\sqrt{3}} - 1 = \frac{\sqrt{3}}{\sqrt{3}} - 1 = 1 - 1 = 0$

Полученное число $0$ является рациональным, так как его можно представить в виде дроби (например, $\frac{0}{1}$). Ответ: 0.

в) Подставим значения $x = -2,5$ и $y = 10$ в выражение $\frac{x + 5}{y} - \frac{y - 1}{x - 3}$:

$\frac{-2,5 + 5}{10} - \frac{10 - 1}{-2,5 - 3} = \frac{2,5}{10} - \frac{9}{-5,5} = 0,25 + \frac{9}{5,5} = \frac{1}{4} + \frac{90}{55} = \frac{1}{4} + \frac{18}{11}$

Приведем к общему знаменателю 44:

$\frac{1 \cdot 11}{4 \cdot 11} + \frac{18 \cdot 4}{11 \cdot 4} = \frac{11}{44} + \frac{72}{44} = \frac{11 + 72}{44} = \frac{83}{44}$

Полученное число $\frac{83}{44}$ является рациональным, так как является отношением двух целых чисел. Ответ: 1$\frac{39}{44}$.

г) Упростим выражение $\frac{a - b}{a + b} - \frac{a + b}{a - b}$, приведя дроби к общему знаменателю $(a+b)(a-b) = a^2 - b^2$:

$\frac{(a - b)^2 - (a + b)^2}{a^2 - b^2} = \frac{(a^2 - 2ab + b^2) - (a^2 + 2ab + b^2)}{a^2 - b^2} = \frac{a^2 - 2ab + b^2 - a^2 - 2ab - b^2}{a^2 - b^2} = \frac{-4ab}{a^2 - b^2}$

Подставим значения $a = \sqrt{10}$ и $b = \sqrt{7}$:

$\frac{-4 \cdot \sqrt{10} \cdot \sqrt{7}}{(\sqrt{10})^2 - (\sqrt{7})^2} = \frac{-4\sqrt{70}}{10 - 7} = \frac{-4\sqrt{70}}{3}$

Так как 70 не является полным квадратом, то $\sqrt{70}$ — иррациональное число. Произведение иррационального числа на рациональное (не равное нулю) является иррациональным числом. Ответ: $-\frac{4\sqrt{70}}{3}$.

Помогло решение? Оставьте отзыв в комментариях ниже.

Присоединяйтесь к Телеграм-группе @gdz_by_belarus

Присоединиться

Мы подготовили для вас ответ c подробным объяснением домашего задания по алгебре за 9 класс, для упражнения номер 1.8 расположенного на странице 15 к учебнику 2019 года издания для учащихся школ и гимназий.

Теперь на нашем сайте ГДЗ.ТОП вы всегда легко и бесплатно найдёте условие с правильным ответом на вопрос «Как решить ДЗ» и «Как сделать» задание по алгебре к упражнению №1.8 (с. 15), авторов: Арефьева (Ирина Глебовна), Пирютко (Ольга Николаевна), учебного пособия издательства Народная асвета.