Номер 1.82, страница 31 - гдз по алгебре 9 класс учебник Арефьева, Пирютко

Алгебра, 9 класс Учебник, авторы: Арефьева Ирина Глебовна, Пирютко Ольга Николаевна, издательство Народная асвета, Минск, 2019, голубого цвета

Авторы: Арефьева И. Г., Пирютко О. Н.

Тип: Учебник

Издательство: Народная асвета

Год издания: 2019 - 2025

Цвет обложки: голубой, синий с графиком

ISBN: 978-985-03-3077-2

Допущено Министерством образования Республики Беларусь

Популярные ГДЗ в 9 классе

Глава 1. Рациональные выражения. Параграф 2. Основное свойство рациональной дроби. Сокращение рациональных дробей - номер 1.82, страница 31.

№1.82 (с. 31)
Условие. №1.82 (с. 31)
скриншот условия
Алгебра, 9 класс Учебник, авторы: Арефьева Ирина Глебовна, Пирютко Ольга Николаевна, издательство Народная асвета, Минск, 2019, голубого цвета, страница 31, номер 1.82, Условие

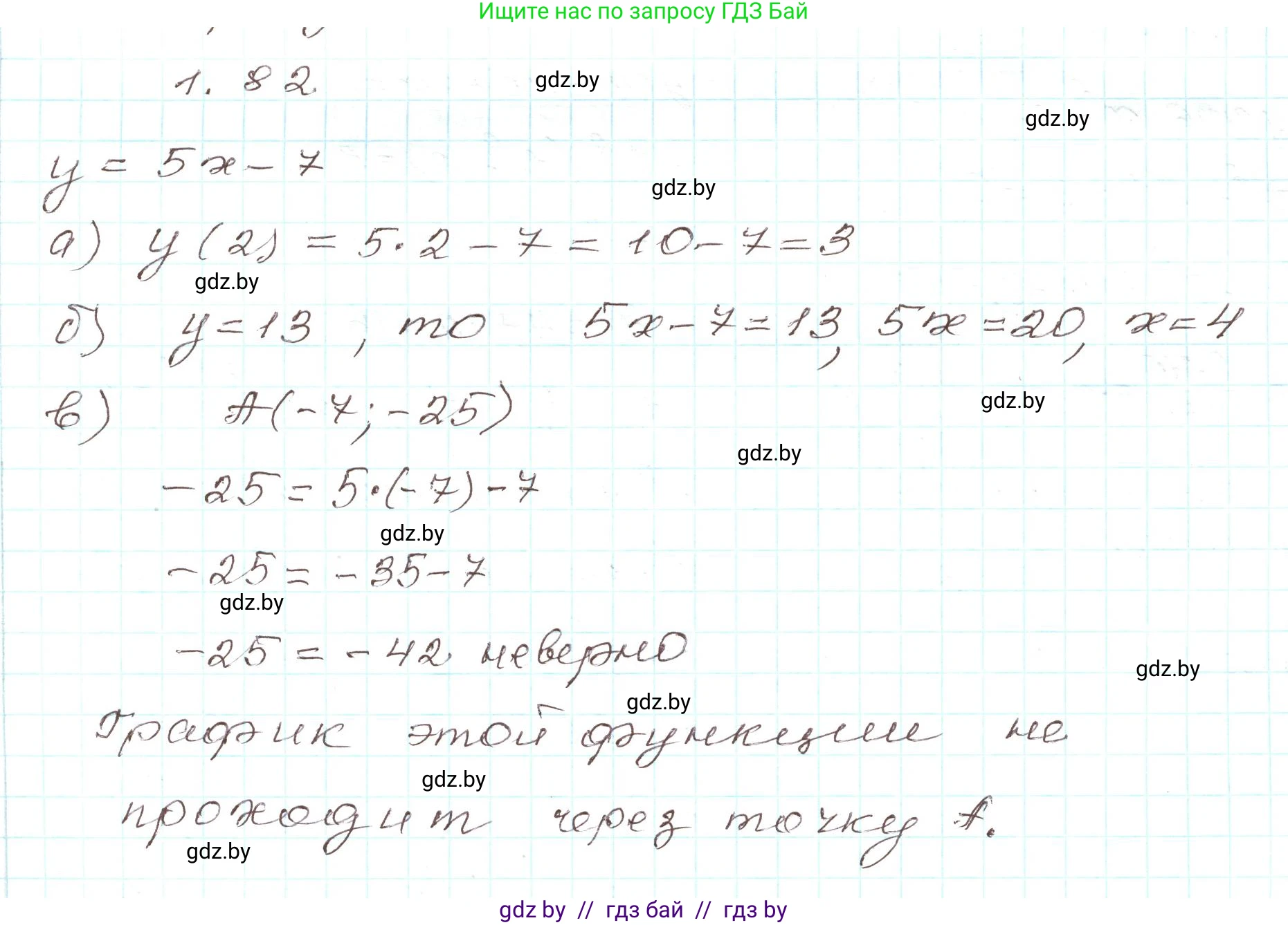
1.82. Функция задана формулой $y = 5x - 7$. Определите:

а) значение функции при значении аргумента, равном 2;

б) значение аргумента при значении функции, равном 13;

в) проходит ли график этой функции через точку $A(-7; -25)$.

Решение. №1.82 (с. 31)
Алгебра, 9 класс Учебник, авторы: Арефьева Ирина Глебовна, Пирютко Ольга Николаевна, издательство Народная асвета, Минск, 2019, голубого цвета, страница 31, номер 1.82, Решение
Решение 2. №1.82 (с. 31)

Дана функция, заданная формулой $y = 5x - 7$.

а) значение функции при значении аргумента, равном 2;

Чтобы найти значение функции $y$ при заданном значении аргумента $x$, необходимо подставить это значение в формулу функции.

Подставим $x = 2$ в уравнение $y = 5x - 7$:

$y = 5 \cdot 2 - 7 = 10 - 7 = 3$

Ответ: 3.

б) значение аргумента при значении функции, равном 13;

Чтобы найти значение аргумента $x$, при котором значение функции $y$ равно 13, нужно подставить $y = 13$ в формулу и решить полученное уравнение относительно $x$.

$13 = 5x - 7$

Перенесем слагаемое -7 в левую часть уравнения, изменив его знак на противоположный:

$13 + 7 = 5x$

$20 = 5x$

Найдем $x$, разделив обе части уравнения на 5:

$x = \frac{20}{5}$

$x = 4$

Ответ: 4.

в) проходит ли график этой функции через точку A(-7; -25).

Чтобы определить, проходит ли график функции через точку A с координатами $(-7; -25)$, нужно подставить координаты этой точки ($x = -7$ и $y = -25$) в формулу функции. Если получится верное числовое равенство, то точка принадлежит графику.

Подставляем $x = -7$ и $y = -25$ в $y = 5x - 7$:

$-25 = 5 \cdot (-7) - 7$

Вычислим значение выражения в правой части равенства:

$5 \cdot (-7) - 7 = -35 - 7 = -42$

Сравним левую и правую части:

$-25 = -42$

Полученное равенство является неверным, так как $-25 \neq -42$.

Следовательно, график функции не проходит через точку A(-7; -25).

Ответ: нет.

Помогло решение? Оставьте отзыв в комментариях ниже.

Присоединяйтесь к Телеграм-группе @gdz_by_belarus

Присоединиться

Мы подготовили для вас ответ c подробным объяснением домашего задания по алгебре за 9 класс, для упражнения номер 1.82 расположенного на странице 31 к учебнику 2019 года издания для учащихся школ и гимназий.

Теперь на нашем сайте ГДЗ.ТОП вы всегда легко и бесплатно найдёте условие с правильным ответом на вопрос «Как решить ДЗ» и «Как сделать» задание по алгебре к упражнению №1.82 (с. 31), авторов: Арефьева (Ирина Глебовна), Пирютко (Ольга Николаевна), учебного пособия издательства Народная асвета.