Номер 1.94, страница 38 - гдз по алгебре 9 класс учебник Арефьева, Пирютко

Алгебра, 9 класс Учебник, авторы: Арефьева Ирина Глебовна, Пирютко Ольга Николаевна, издательство Народная асвета, Минск, 2019, голубого цвета

Авторы: Арефьева И. Г., Пирютко О. Н.

Тип: Учебник

Издательство: Народная асвета

Год издания: 2019 - 2025

Цвет обложки: голубой, синий с графиком

ISBN: 978-985-03-3077-2

Допущено Министерством образования Республики Беларусь

Популярные ГДЗ в 9 классе

Глава 1. Рациональные выражения. Параграф 3. Сложение и вычитание рациональных дробей - номер 1.94, страница 38.

№1.94 (с. 38)
Условие. №1.94 (с. 38)
скриншот условия
Алгебра, 9 класс Учебник, авторы: Арефьева Ирина Глебовна, Пирютко Ольга Николаевна, издательство Народная асвета, Минск, 2019, голубого цвета, страница 38, номер 1.94, Условие

1.94. Выполните сложение или вычитание рациональных дробей:

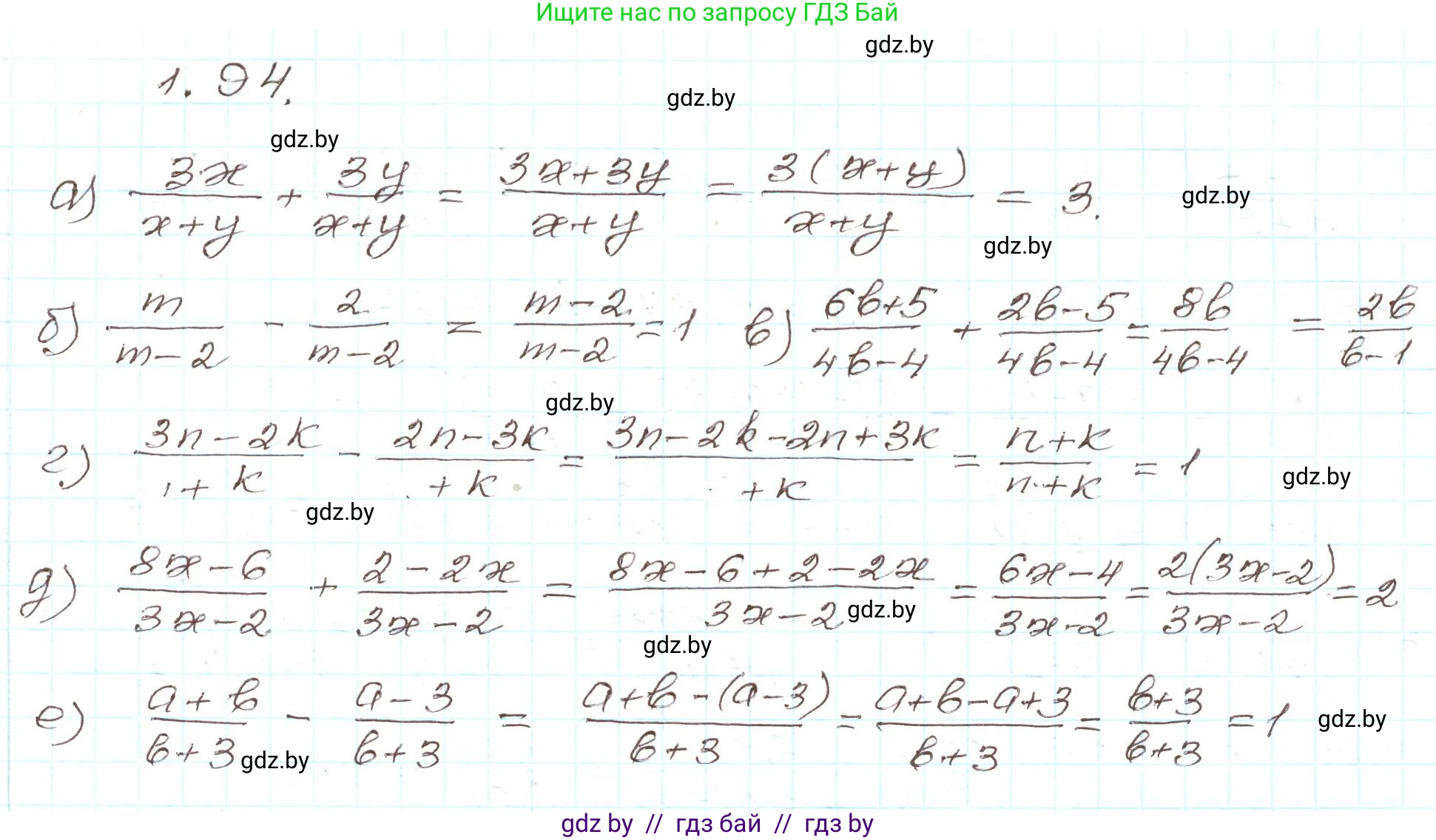
а) $\frac{3x}{x+y} + \frac{3y}{x+y};$

б) $\frac{m}{m-2} - \frac{2}{m-2};$

в) $\frac{6b+5}{4b-4} + \frac{2b-5}{4b-4};$

г) $\frac{3n-2k}{n+k} - \frac{2n-3k}{n+k};$

д) $\frac{8x-6}{3x-2} + \frac{2-2x}{3x-2};$

е) $\frac{a+b}{b+3} - \frac{a-3}{b+3};$

Решение. №1.94 (с. 38)
Алгебра, 9 класс Учебник, авторы: Арефьева Ирина Глебовна, Пирютко Ольга Николаевна, издательство Народная асвета, Минск, 2019, голубого цвета, страница 38, номер 1.94, Решение
Решение 2. №1.94 (с. 38)

а) Чтобы сложить дроби с одинаковыми знаменателями, необходимо сложить их числители, а знаменатель оставить без изменений. Затем, если возможно, упростить полученное выражение.

$\frac{3x}{x+y} + \frac{3y}{x+y} = \frac{3x+3y}{x+y}$

В числителе можно вынести за скобки общий множитель 3:

$\frac{3(x+y)}{x+y}$

Теперь сократим дробь на общий множитель $(x+y)$, при условии, что он не равен нулю ($x+y \neq 0$):

$\frac{3\cancel{(x+y)}}{\cancel{x+y}} = 3$

Ответ: 3

б) Чтобы выполнить вычитание дробей с одинаковыми знаменателями, нужно из числителя уменьшаемого вычесть числитель вычитаемого, а знаменатель оставить тем же.

$\frac{m}{m-2} - \frac{2}{m-2} = \frac{m-2}{m-2}$

Сократим полученную дробь, при условии, что знаменатель не равен нулю ($m-2 \neq 0$):

$\frac{\cancel{m-2}}{\cancel{m-2}} = 1$

Ответ: 1

в) Выполняем сложение дробей с одинаковым знаменателем:

$\frac{6b+5}{4b-4} + \frac{2b-5}{4b-4} = \frac{(6b+5)+(2b-5)}{4b-4}$

Раскрываем скобки в числителе и приводим подобные слагаемые:

$\frac{6b+5+2b-5}{4b-4} = \frac{8b}{4b-4}$

В знаменателе выносим общий множитель 4 за скобки:

$\frac{8b}{4(b-1)}$

Сокращаем дробь на 4:

$\frac{2b}{b-1}$

Данная дробь является неправильной, так как степень многочлена в числителе (1) равна степени многочлена в знаменателе (1). Выделим целую часть. Для этого представим числитель в виде $2(b-1)+2$:

$\frac{2b}{b-1} = \frac{2b - 2 + 2}{b-1} = \frac{2(b-1) + 2}{b-1} = \frac{2(b-1)}{b-1} + \frac{2}{b-1} = 2 + \frac{2}{b-1}$

Ответ: 2$\frac{2}{b-1}$

г) Выполняем вычитание дробей с одинаковым знаменателем. Важно правильно раскрыть скобки в числителе, учитывая знак "минус" перед второй дробью.

$\frac{3n-2k}{n+k} - \frac{2n-3k}{n+k} = \frac{(3n-2k)-(2n-3k)}{n+k}$

$\frac{3n-2k-2n+3k}{n+k} = \frac{(3n-2n) + (-2k+3k)}{n+k} = \frac{n+k}{n+k}$

Сократим дробь, при условии, что $n+k \neq 0$:

$\frac{\cancel{n+k}}{\cancel{n+k}} = 1$

Ответ: 1

д) Выполняем сложение дробей с одинаковым знаменателем:

$\frac{8x-6}{3x-2} + \frac{2-2x}{3x-2} = \frac{(8x-6)+(2-2x)}{3x-2}$

Раскрываем скобки и приводим подобные слагаемые в числителе:

$\frac{8x-6+2-2x}{3x-2} = \frac{6x-4}{3x-2}$

В числителе выносим общий множитель 2 за скобки:

$\frac{2(3x-2)}{3x-2}$

Сократим дробь на общий множитель $(3x-2)$, при условии, что $3x-2 \neq 0$:

$\frac{2\cancel{(3x-2)}}{\cancel{3x-2}} = 2$

Ответ: 2

е) Выполняем вычитание дробей с одинаковым знаменателем:

$\frac{a+b}{b+3} - \frac{a-3}{b+3} = \frac{(a+b)-(a-3)}{b+3}$

Раскрываем скобки в числителе, меняя знаки у вычитаемого выражения:

$\frac{a+b-a+3}{b+3} = \frac{b+3}{b+3}$

Сократим дробь, при условии, что $b+3 \neq 0$:

$\frac{\cancel{b+3}}{\cancel{b+3}} = 1$

Ответ: 1

Помогло решение? Оставьте отзыв в комментариях ниже.

Присоединяйтесь к Телеграм-группе @gdz_by_belarus

Присоединиться

Мы подготовили для вас ответ c подробным объяснением домашего задания по алгебре за 9 класс, для упражнения номер 1.94 расположенного на странице 38 к учебнику 2019 года издания для учащихся школ и гимназий.

Теперь на нашем сайте ГДЗ.ТОП вы всегда легко и бесплатно найдёте условие с правильным ответом на вопрос «Как решить ДЗ» и «Как сделать» задание по алгебре к упражнению №1.94 (с. 38), авторов: Арефьева (Ирина Глебовна), Пирютко (Ольга Николаевна), учебного пособия издательства Народная асвета.